
Хотелось бы сделать ряд замечаний по поводу применения понятия нормы в нашем случае.
Как известно, под нормой понимается интервал тестовых показателей от М – σ до. М + σ, который имеют приблизительно 70 % людей в центре распределения. Обычно показатель человека сравнивают с показателями других людей, полученных на большой репрезентативной выборке.
Когда измеряется какая-то относительно устойчивая во времени характеристика, например интеллект (в большой степени являющаяся врожденной), сравнение с нормой оправданно и полезно. В данной работе мы изучаем отношение человека к другому человеку и связанную с этим удовлетворенность супружескими отношениями. Эта характеристика относительна, ситуативна, зависит от многих параметров и не является достаточно устойчивой во времени. Мало того, удовлетворенность супружескими отношениями у разных людей зависит от разных параметров, одному человеку важно одно, а другому – совсем иное. Отсюда следует, что сравнение изучаемых нами характеристик становится еще более относительным. Поэтому, хотя мы и привели таблицу нормативных данных, надо учитывать приблизительность и относительность полученных показателей. Возможно, имеет смысл сравнивать показатели удовлетворенности супружескими отношениями у человека в разные периоды его жизни (возможно, также с разными партнерами).
Оценка факторов удовлетворенности супружескими отношениями
В ходе оценки факторов, влияющих на удовлетворенность семейной жизнью, было выявлено, что возраст, стаж семейной жизни и количество детей положительно коррелируют между собой, то есть чем выше показатели возраста супругов, тем выше показатели стажа и больше количество детей, что вполне естественно.
Однако между такими параметрами, как пол, возраст, стаж семейной жизни испытуемых, и показателем удовлетворенности семейной жизнью значимой связи обнаружено не было. То есть можно констатировать, что удовлетворенность семейной жизнью в принципе слабо зависит от пола, возраста и стажа семейной жизни. Для нас этот результат был откровенно неожиданным.
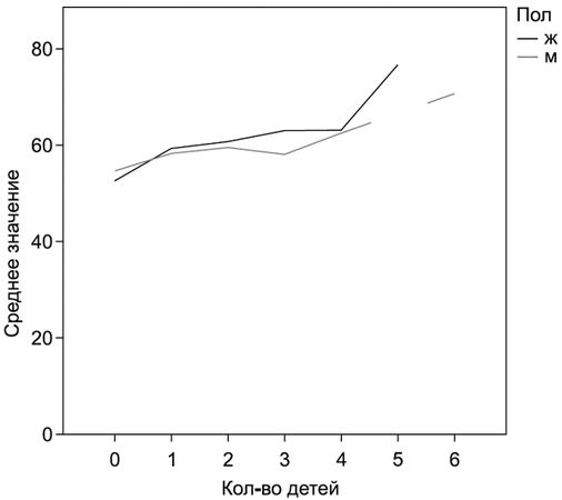
В то же время результаты анализа такого фактора, как количество детей, продемонстрировали, что чем выше число детей в семье, тем большую удовлетворенность супругов браком мы можем предположить. В данном случае рост степени удовлетворенности браком с увеличением количества детей в семье проявлялся хотя и слабо, но весьма четко, а значит, существование такой зависимости вполне наблюдаемо. Примечательно, что для женщин эта зависимость более характерна, чем для мужчин, что хорошо просматривается на рис. 1.

Рис. 1. Зависимость среднего значения теста удовлетворенности супружескими отношениями от количества детей в семье
Поскольку распределения признаков "Пол", "Количество детей", "Стаж семейной жизни" не являются нормальными, для оценки достоверности различий по этим параметрам применялись непараметрические критерии:
– U-критерий Манна-Уитни;
– H-критерий Краскела-Уоллиса;
– T-критерий знаковых рангов Уилкоксона для связанных выборок.
Для иллюстрации и более наглядного представления взаимосвязей параметров теста (основного, полного и отдельно части III) и формальных анкетных данных респондентов был использован метод кластерного анализа, позволяющий визуализировать связи между параметрами, увидеть меру их близости, определить, какие объединения параметров мы можем выделить для дальнейшего изучения.
На рис. 2 мы можем видеть несколько групп параметров (в зависимости от выбора уровня отсечения, то есть масштабируемого расстояния между группами). В данном случае мы наблюдаем следующее.
1. Первый кластер – сильно связанная группа параметров "Возраст" и "Стаж семейной жизни", а также связанный с ними параметр "Количество детей".
2. Второй кластер – достаточно связанная двухуровневая группа "Тест Туник_Полный", "Туник ч3_проективная", "Тест Туник_Основной".
3. Третий кластер – состоящий из одного параметра "Пол".

Рис. 2. Кластерный анализ параметров теста удовлетворенности супружескими отношениями с помощью метода межгрупповых связей
Очевидно, что первый и второй кластеры связаны между собой. Интересно, что пол является самым последним параметром, включаемым в общую группу, – это еще раз иллюстрирует тот факт, что значения теста от него зависят слабо.
Подводя итог, можно заключить следующее.
Выбранные и используемые методы (тестовая методика "Образ супруга(и)", разработанная Е. Е. Туник, а также математический аппарат) позволили достоверно определить уровень удовлетворенности супружескими отношениями в конкретных семьях, оценить зависимость удовлетворенности от различных факторов.
В дальнейшей практической работе можно использовать полный тест, тогда как в реальной работе с клиентами допустимо исключить третью (проективную рисуночную) часть из теста и рассматривать результат, полученный только на основе первых двух частей.
В ходе анализа результатов теста гипотеза о связи степени удовлетворенности семейной жизнью с полом, возрастом и стажем семейной жизни не подтвердилась и была отвергнута. Хотя небольшое падение удовлетворенности при большом стаже семейной жизни (45–50 лет) и было отмечено, оно является незначительным.
В ходе анализа результатов теста была подтверждена гипотеза о связи степени удовлетворенности семейной жизнью с количеством детей в семье. Слабая положительная статистически достоверная связь между этими параметрами с определенной долей вероятности позволяет утверждать, что чем больше детей в семье, тем выше степень удовлетворенности супружескими отношениями.
Сравнительный анализ степени удовлетворенности супружескими отношениями в венчанных и невенчанных супружеских парах
Приведем описание одного из наших самостоятельных исследований, целью которого было определение зависимости удовлетворенности супружескими отношениями от того, в каком браке состоят партнеры – венчанном или невенчанном.
В тестировании принимали участие 76 человек (38 супружеских пар), все – жители Санкт-Петербурга в возрасте от 18 до 62 лет, со стажем брака от одного года до 39 лет. Из 38 пар 20 состояли в венчанном и официально зарегистрированном браке, 14 – в невенчанном гражданском, 4 пары – в невенчанном незарегистрированном (фактическом).
В ходе тестирования была исследована зависимость удовлетворенности браком от возраста супругов, длительности супружеского стажа, наличия детей в браке, сексуальной удовлетворенности, профессии, статуса родительской семьи. Дополнительно к тесту "Образ супруга(и)" тестируемым предлагалось указать следующие параметры:
1) вероисповедание;
2) в каком браке состоят: официально зарегистрированный, венчанный, незарегистрированный;
3) профессия;
4) сексуальная удовлетворенность;
5) статус родительской семьи: полная/неполная. Полученные экспериментальные данные указывают на то, что у женщин и мужчин, находящихся в венчанном браке (ВБ), показатели удовлетворенности браком выше, чем у женщин и мужчин в невенчанном браке (НВБ). Различия по суммарным показателям небольшие, только качественные, но различия по первой части теста (информационной вербальной) являются статистически значимыми и позволяют делать соответствующие выводы. Кроме того, по результатам исследования было определено следующее.
Среди представителей группы ВБ удовлетворенность супружескими отношениями у женщин выше, чем у мужчин. В группе НВБ показатели женщин также выше, чем у мужчин. То есть в целом показатели удовлетворенности супружескими отношениями у женщин значимо выше, чем у мужчин.
Удовлетворенность браком практически не зависит от длительности супружеского стажа и незначительно снижается только на последнем отрезке, после 25 лет совместной жизни.
Значимая связь между удовлетворенностью супружескими отношениями и характеристикой полноты родительской семьи отсутствует.
Опрошенные, как ВБ, так и НВБ, не имеющие детей (равно как имеющие детей только от предыдущих браков), менее удовлетворены супружескими отношениями, чем те, у которых есть дети. Максимальные показатели удовлетворенности супружескими отношениями наблюдаются в венчанных парах, имеющих пятерых детей (90 баллов), и невенчанных, имеющих четырех детей (87,5 баллов). Эта связь наглядно представлена на рис. 3.
