Всего за 59.9 руб. Купить полную версию
15. Технологии рейтингов [Электронный ресурс]. – Режим доступа: http://www.md-consulting.ru.
16. Ускова, Т.В. Управление устойчивым развитием региона / Т.В. Ускова. – Вологда: ИСЭРТ РАН, 2009. – 310 с.
17. Федеральная целевая программа развития образования на 2011–2015 гг. (утверждена Постановлением Правительства РФ от 7 февраля 2011 г. № 61).
18. Шеремет, А. Д. Комплексный анализ хозяйственной деятельности / А. Д. Шеремет. – М.: Инфра-М, 2006.
Приложения
Приложение 1
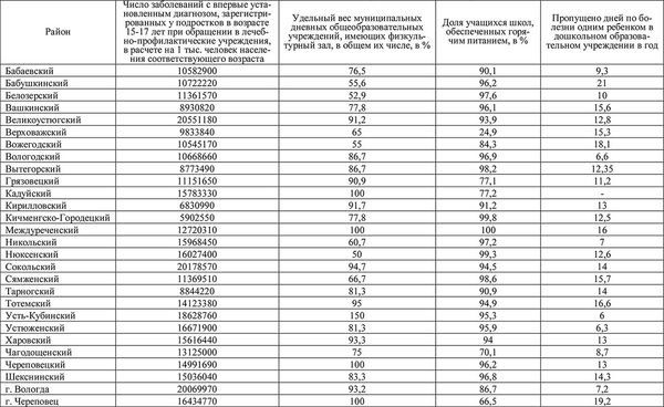
Показатели блока 1. "Доступность образования"

Приложение 2
Показатели блока 2. "Финансово-материальная база образования"


Приложение 3
Показатели блока 3. "Открытость и информационная доступность образования"



Приложение 4
Показатели блока 4. "Кадровые ресурсы образования"




Приложение 5
Показатели блока 5. "Качество образования"



Приложение 6
Показатели блока 6. "Здоровье детей и подростков и его поддержание"


Приложение 7
Показатели блока 7. "Качество воспитательной работы"


Примечания
1
Составлено авторами.
2
Федеральная целевая программа развития образования на 2011–2015 годы; // Концепция долгосрочного социально-экономического развития Российской Федерации на период до 2020 года; // Национальная образовательная инициатива "Наша новая школа"; // Национальный проект "Образование"; // Долгосрочная целевая программа "Развитие образования в Вологодской области на 2011–2015 годы"; // Стратегия развития образования в Вологодской области на период до 2020 года.
3
Показатель, отражающий положительные явления в развитии системы образования.
4
Показатель, отражающий отрицательные явления в развитии системы образования.
5
Использованы материалы статьи Гутниковой Е. А. "Актуальные проблемы социально-экономического развития муниципалитетов" // Проблемы развития территории. – № 2. – 2011.
6
Рассчитано по формуле: R=√S/n, где R – средний радиус доступности объекта; n – число объектов; S – площадь региона.
7
* Данные приведены на 1.09.2010 г. // ** Данные приведены на 1.01.2011 г.