
Приравнивая эти два выражения, найдем l(b − c) cos /2 = bc sin A,
или
l(b − c) cos /2 = 2bc sin /2 cos /2.
Так как cos /2 в треугольнике не может быть равен нулю, то на него можно сократить. Теперь найдем l.
Ответ. 
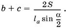
1.8. Воспользуемся сравнением площадей. С одной стороны, S = pr = /2r, где через а обозначена искомая сторона. Находим отсюда, что 2S = ar + (b + c)r. С другой стороны, если биссектрису угла А обозначить через la, то
S = ½ lab sin /2 + ½ lac sin /2 = ½ la(b + c) sin /2
(рисунок сделайте самостоятельно). Из последнего равенства находим, что
Подставляем в выражение для 2S полученное раньше:

B последнем преобразовании мы учли условие задачи, согласно которому lа = rq. Осталось ввести в рассмотрение радиус R описанной окружности. По условию R = prq. По теореме синусов
a = 2R sin α = 2prq sin α,
откуда r =/2pq sin α. Полученное соотношение позволяет определить a из последнего выражения для 2S. B самом деле, после подстановки получим

откуда после несложных преобразований найдем a.
Ответ.![]()
1.9. B треугольнике ABC (рис. P.1.9) введем обозначения: ВМ = a1, СМ = a2, АN = b1, СN = b2. Так как ВО - биссектриса треугольника АВМ, то AB : ВМ = АО : ОМ = √3 : 1. Аналогично AB : АN = ВО : ОN = 1 : (√3 − 1). Итак,
![]()
Величины a1 и b1 можно выразить через стороны треугольника
a1 = /b + с, b1 = /а + с.

После подстановки в предыдущие два равенства мы получим два однородных выражения относительно a, b и с:
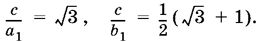
/a = √3, /b = ½(√3 + 1),
из которых легко найти отношения a : b и с : b. Достаточно переписать эти равенства в виде
1 + /b = √3/b, /b + /b = ½(√3 + 1).
Получим /b = /c, /b = ½.
Таким образом, треугольник ABC подобен прямоугольному треугольнику с углами в /6 и /3·
Ответ. Углы А, B и С равны /3, /2, /6 соответственно.
1.10. Из треугольника MPA (рис. Р.1.10) находим MP = PA ctg α. Но PA = OA − OP = /cos α − p. Таким образом,
![]()
Находим MQ:

Полезно заметить, что MQ можно было не вычислять, поскольку выражение для MQ должно получиться из выражения для MP с помощью замены p на q, а q на p.

Ответ.![]()
1.11. Пусть AP = 3, CR = 2√2 (рис. Р.1.11) Используя метод "сравнения площадей" для треугольника ABC, получим
3a = 2√2 c.

Так как а = /sin C, с = /sin A, то после сокращения на BQ получим
/sin С = /sin А (1)
По условию BQ = 6OQ. Найдем отрезок AQ из треугольников ABQ и AOQ соответственно:
AQ = BQ ctg А = 6OQ ctg А, AQ = OQ ctg ∠OAQ,
где ∠OAQ = /2 − С. Приравнивая эти два выражения, получим второе уравнение, связывающее углы треугольника:
6 ctg А ctg С = 1. (2)
Остается решить систему из уравнений (1) и (2). Для этого возведем уравнение (1) в квадрат и воспользуемся формулой
Получим
9(1 + ctg² С) = 8(1 + ctg² А). (1′)
Из уравнения (2) следует, что
![]()
(2′)
подставляя значение ctg² С в уравнение (1'), после несложных преобразований придем к биквадратному уравнению относительно ctg А:
32 ctgА − 4 ctg² А − 1 = 0. (3)
Так как треугольник ABC по условию остроугольный, то нас интересуют лишь положительные корни уравнения (3). Легко убедиться, что оно имеет единственный положительный корень ctg А = ½. Подставляя в (2), найдем ctg С = ⅓. Теперь можно найти площадь данного треугольника:
SABC = ½AP · a,
где АР = 3. Величину а найдем из треугольника BRC:
![]()
![]()
Ответ. 6 см².