![]()
7.12. Докажите, что
![]()
для любых действительных x и у, имеющих одинаковые знаки.
7.13. Докажите, что из условия
![]()
следует
(а + b + с)³ = 27аbс.
7.14. Квадратный трехчлен 24х² + 48x + 26 есть разность кубов двух линейных функций с положительными коэффициентами. Найдите эти функции.
Глава 8
Делимость многочленов.
Теорема Безу. Целые уравнения
Многочлен S(x) называется частным, а многочлен R(x) - остатком от деления многочлена P(x) на многочлен Q(x), если равенство
P(x) = Q(x) · S(x) + R(x)
является тождеством и степень многочлена R(x) меньше степени многочлена Q(x).
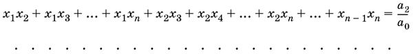
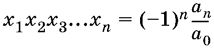
Обобщенная теорема Виета. Для корней х1, х2, ..., хn уравнения
а0х + a1x + ... + аn − 1x + аn = 0
имеют место формулы:


.
Для уравнения a0x + a1x + ... + аn = 0 с целыми коэффициентами а0, а1, ... , аn верна теорема: если уравнение имеет рациональный корень /q , то p числитель является делителем свободного члена аn, а знаменатель q - делителем коэффициента а0.
В частности, если а0 = 1, то уравнение может иметь только такие целые корни, которые являются делителями свободного члена аn.
8.1. Решите уравнение
(x − 4,5) + (x − 5,5) = 1.
8.2. Решите уравнение
(4x + 1)(12x − 1)(3x + 2)(x + 1) = 4.
8.3. Докажите, что уравнение
x² − 3у² = 17
не имеет решений в целых числах.
8.4. Найдите все целые решения уравнения
x² − 6xу + 13у² = 100.
8.5. Найдите остаток от деления многочлена x + x³ + 10x + 5 на многочлен x² + 1.
8.6. Найдите все целочисленные решения уравнения
2x²у² + у² − 6x² − 12 = 0.
8.7. В уравнении
x + аx³ + bx² + 6x + 2 = 0
один из корней равен √3 + 1. Найдите остальные корни уравнения, если а и b - рациональные числа.
8.8. При каких значениях а оба корня уравнения
x² − (а + 1)x + а + 4 = 0
отрицательны?
8.9. Найдите соотношение между а, b и с, если корни уравнения
x³ + аx² + bx + с = 0
образуют геометрическую прогрессию.
8.10. Известно, что уравнение x³ + px + q = 0 имеет корни α1, α2, α3. Выразите сумму α1² + α2² + α3² через p и q.
8.11. При каких а и α трехчлен х³ + ax + 1 делится на двучлен x − α без остатка и частное от деления при всех x больше нуля?
8.12. Остатки от деления многочлена относительно x на x − 2 и x − 3 равны соответственно 5 и 7. Найдите остаток от деления этого многочлена на (x − 2)(x − 3).
8.13. Найдите все действительные значения p и q, при которых х + 1 делится на x² + рх + q.
8.14. Докажите, что многочлен
x² − (2n + 1)х + (2n + 1)х − 1,
где n - натуральное число, делится на (x − 1)³.
8.15. Определите p и q так, чтобы многочлен
6х − 7х³ + рх² + 3х + 2
делился без остатка на x² − x + q.
Глава 9
Алгебраические уравнения и системы
Равенства. Тождества. Два математических выражения, соединенных знаком =, образуют равенство.
Примеры равенств:
а² + b² = с², 3 = 3, 3 = 5,
sin² x + cos² x = 1,
, sin x = 3.
Числовое равенство может быть истинным (верным) или ложным (неверным). Равенство 3 = 3 истинное, равенство 3 = 5 ложное.
Буквенное равенство при различных значениях входящих в него букв также принимает одно из двух значений: "истина" или "ложь". Например, равенство а² + b² = с² при а = 3, b = 4, с = 5 истинно, а при а = 3, b = 4, с = 6 ложно. Равенство sin² x + cos² x = 1 истинно при всех действительных значениях x, а равенство sin x = 3 всегда ложно.
Если какая-либо часть равенства (или обе части одновременно) перестает существовать, то равенство становится ложным. Равенство
ложно при
, где k - любое целое число, так как для четных k не существует ctg x, а для нечетных k не существует tg x. Равенство
ложно при x = −1, так как его левая часть теряет смысл при этом значении x (обратите внимание, что правая часть существует всегда). Обе части равенства sin x = 3 всегда имеют смысл, однако это равенство всегда ложно.
Для любого математического выражения можно указать множество систем (наборов) значений входящих в него букв, при которых это выражение существует, т. е. принимает некоторое числовое значение. Такое множество мы будем называть областью определения (областью существования) рассматриваемого математического выражения.
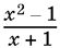
Для выражения
областью определения является числовая ось с "выколотой" точкой x = −1.
Для выражения logу√x найти область определения уже несколько сложнее. Во-первых, из числа x извлекается квадратный корень. Эта операция возможна, если x ≥ 0. Чтобы затем можно было найти логарифм от √x, необходимо √x > 0. Оба условия выполняются при x > 0. В основании логарифма может стоять лишь положительное число, отличное от единицы. Таким образом, получаем область определения: x > 0, у > 0, у ≠ 1.
Два математических выражения называются тождественными, если
1) их области определения совпадают;
2) они принимают одинаковые числовые значения при подстановке в каждое выражение одного и того же набора значений входящих в него букв, произвольно выбранного из области определения.