![]()
Этот вывод естественно обобщается на любое число несовместных событий, т.е.
P(A1 + A2 + ... + An) = P(A1) + P(A2) + ... + P(An).
Если объединение попарно несовместных событий составляет основное множество, то появление одного из них является достоверным событием, т.е. P(A1 ∪ A2 ∪ ... ∪ An) = P(A1 + A2 + ... + An) = 1. Говорят, что такие события образуют полную систему событий, а их вероятности удовлетворяют нормирующему условию
P(A1) + P(A2) + ... + P(An) = 1.
В частности, P(A ∪ A̅) = P(A) + P(A̅) = 1, откуда следует выражение для вероятности противоположного события
P(A̅) = 1 - P(A) .
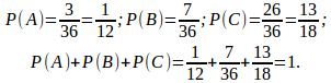
Например, при бросании двух игральных костей полную систему образуют несовместные события: выпадение меньше четырех
- 77 -
очков (А), выпадение четырех или пяти очков (В) и выпадение больше пяти очков (С). Число благоприятствующих им элементарных событий mA = 3, mB = 7, и mC = 26, следовательно, имеем:

7. Независимые события. События А и В называются независимыми, если вероятность одного из них не зависит от исхода другого. Так, число выпавших очков при каждом бросании игральной кости не зависит от результатов предыдущих испытаний. Вероятность вынуть белый шар из урны, в которой находится белых и черных шаров, не зависит от цвета шара, вынутого в предыдущем испытании, если каждый раз он возвращается в урну. Однако если ранее вынутый шар не возвращается, то эта вероятность изменяется после каждого испытания и, следовательно, вероятность его исхода будет зависеть от предыдущего исхода. Пусть например, в урне находится 2 белых и 3 черных шара. Вероятность вынуть белый шар до испытания равна 2/5, а после него она становится 1/4, если был вынут белый шар, и 1/2, если был вынут черный шар.
Событие, заключающееся в реализации как события А, так и события В, соответствует пересечению множеств, и его вероятность при независимости событий А и В равна произведению их вероятностей, т.е.
P(A ∩ B) = P(A)P(B).
Это соотношение можно доказать на основе классического определения вероятности (3). Пусть P(A) = m1/n1 и P(B) = m2/n2. Если события А и В независимы, то при каждом из m1 исходов, благоприятствующих событию А, будет также m2 исходов, благоприятствующих событию В. Значит, число исходов, благоприятствующих свершению как события А, так и события В, будет m1 m2. Аналогично выводим, что общее число возможных исходов равно n1n2. Поэтому
![]()
Для нескольких независимых событий формула принимает вид:
P(A1 ∩ A2 ∩ ... ∩ An ) = P(A1)P(A2)...P(An).
Пусть, например, устройство состоит из трех блоков, вероятности безотказной работы которых в течение времени t равны
- 78 -
соответственно P(A1) = 0,7; P(A2) = 0,8; P(A3) = 0,9. Отказ в работе хотя бы одного из блоков приводит к отказу всего устройства, причем отказы блоков происходят независимо. Тогда вероятность безотказной работы устройства P(A) = P(A1)P(A2)P(A3) = 0,7 · 0,8 · 0,9 = 0,504.
8. Условная вероятность. Если события А и В зависимы, то как указывалось в (7), после наступления одного из них, например А, вероятность другого будет отличаться от его вероятности P(B), вычисленной без учета наступления события А. Вероятность события В при условии, что уже произошло событие А, называют условной вероятностью и обозначают через PA(B) или P(B/A). Поэтому формула для вероятности одновременного наступления двух зависимых событий должна быть записана в виде:
P(A ∩ B) = P(A)PA(B).
Например, вероятность вынуть два белых шара из урны, в которой находятся 2 белых и 3 черных шара (предполагается, что вынутый шар не возвращается в урну) равна произведению вероятности вынуть белый шар первый раз (событие А) на вероятность вынуть белый шар второй раз (событие В) при условии, что первым был белый шар (произошло событие А)б т.е. P(A ∩ B) = 2/5 · 1/4 = 1/10. Если вынутый шар возвращается в урну, то А и В независимы и P(A ∩ B) = 2/5 · 2/5 = 4/25. Из приведенной выше формулы следует выражение
![]()
которое часто рассматривается как определение условной вероятности, если каким-либо способом определены P(A ∩ B) и P(A). Ясно, что для независимых событий PA(B) совпадает с P(B).
Вероятность одновременного наступления нескольких зависимых событий выражается формулой
P(A1, A2, ... , An) = P(A1)PA1 (A2)
![]()
которая получается по индукции из формулы для двух событий.
Здесь
- условная вероятность события Ai, вычисленная при условии, что произошли события A1, A2,..., Ai-1.
9. Объединение событий. Простая формула для вероятности появления одного из несовместных событий (6) нуждается в обобщении, если события совместны. Пусть из n равновозможных исходов событию А благоприятствуют mA исходов, а событию B - mB исходов. Так как множества совместных событий пересекаются, то сумма mA + mB, кроме исходов, благоприятствующих появлению
- 79 -
одного из событий А или В, дважды учитывает mAB исходов, благоприятствующих одновременному появлению А и В. Поэтому из общего числа исходов n появлению событий А или В (или обоих вместе) будут благоприятствовать mA + mB - mAB исходов, на основании чего имеем