![]()
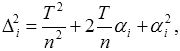
то

следовательно, с учетом предыдущего равенства имеем

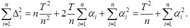
Сумма квадратов всегда неотрицательна. Она достигает минимума, равного 0, когда все переменные равны 0, т. е. при
![]()
Тогда
![]()
При этих значениях
![]()
выполнены все ограничения оптимизационной задачи.
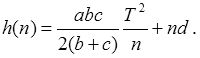
Итак, интервалы между скачками должны иметь одинаковую длину. При фиксированном числе скачков n минимальное значение суммарных затрат равно

На третьем этапе оптимизации надо найти оптимальное число скачков n, или, что эквивалентно, интервал между скачками Δ.
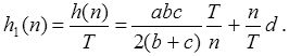
Как следует из последней формулы, суммарные удельные затраты, приходящиеся на одну единицу времени, имеют вид

Эту функцию легче минимизировать, если перейти к переменной Δ, где Δ = T/n . Удельные затраты равны

Минимизируем эту функцию по Δ. Дифференцируя по Δ и приравнивая производную 0, получаем, что оптимальный интервал между скачками имеет длину

Полученная формула позволяет делать как количественные, так и качественные выводы. Например, если мировой уровень качества практически не меняется (т. е. a → 0), то интервал между выпуском новых марок очень большой (т. е. Δ → +∞). Полученная формула напоминает формулу Вильсона (в других источниках – формула квадратного корня) в теории управления запасами – части логистики.
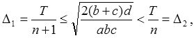
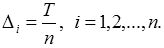
Отметим, что проведенные на третьем этапе рассуждения не вполне корректны. Минимизация проводилась по всем положительным Δ, а на самом деле Δ должно лежать в дискретном множестве { T / n, n = 1, 2, …}. Поэтому оптимальное Δ – одно из значений Δ1 и Δ2, где

а именно, то из них, для которого значение функции H (Δ) меньше. В частности, установлено, что при увеличении интервала планирования T влияние этих эффектов уменьшается.
2.1.5. Методы воздействия на рынок
Изучение рынка необходимо не само по себе. Анализ рыночной ситуации позволяет эффективно воздействовать на рыночные процессы, завоевывать его. Разработано весьма большое число методов воздействия на рынок. Рассмотрим некоторые из них.
Реклама. Чтобы потребитель захотел купить товар, он должен узнать о его существовании и об его потребительских свойствах. Канал связи "производитель – потребитель" обеспечивает реклама (подробнее см. Шевчук Д.А. Рекламное дело: Конспект лекций. – Ростов-на-Дону: Феникс, 2007).
Реклама бывает разная. Всем нам известны (и зачастую ненавистны) рекламные вставки в телевизионных передачах, мешающие наслаждаться любимыми фильмами. Рекламные страницы в газетах и журналах и чисто рекламные издания также успели примелькаться. Щиты на улицах и витрины магазинов – тоже реклама. Из почтового ящика не успеваешь выгребать рекламные листки.
Рекламируют конкретные товары и торговые марки в целом. Вспомним рекламные ролики с историческими сюжетами, рекламирующие банк "Империал" в целом – в результатах при проведенном Институтом высоких статистических технологий и эконометрики опросе об отношении молодежи к банкам именно "Империал" назывался существенно чаще других аналогичных финансовых учреждений.
Стараются связать товар с популярными личностями. Организуют презентации. Устраивают состязания, например, ралли, победы в которых, конечно, прибавляют товару популярности у потребителей. Проходят добровольную сертификацию товара, при которой независимый испытательный центр оценивает различные характеристики качества продукции.
В рекламном деле есть свои писаные и неписаные правила, свои нормативные акты. Например, можно расхваливать свой товар, но нельзя ругать товар конкретного конкурента.
Какой вид рекламы наиболее выгоден, дает наибольшую прибавку прибыли? Эту прибавку можно непосредственно увидеть в течение нескольких дней после рекламного мероприятия. Очевидно, не может быть универсальных рекомендаций, ответ зависит от конкретного товара и той аудитории, к которой обращена реклама.
Реклама на телевидении, в изданиях общего профиля не дала ничего, ни одного заказа. Публикации в специализированных изданиях приносили по одному заказу на публикацию, что не оправдывало расходов на рекламу. Больший эффект приносили специально организованные демонстрации программных продуктов и консультации по их использованию. Но наиболее эффективным оказался метод "от человека – к человеку", когда в организации-покупателе находился сотрудник, знакомый с разработчиками пакета программ и знающий его достоинства. Эффективной оказалась также почтовая рассылка по списку, при которой к адресату обращались по имени-отчеству. Заказы на приобретение книги прислали около 30 % лиц, включенных в список.
Именно на методе "от человека – к человеку" построены быстро развивающиеся в настоящее время системы сетевого (другое название – многоуровневого) маркетинга. При этом методе потребитель получает информацию о товаре от другого человека, причем зачастую хорошо знакомого. Распространение товара может быть дополнительным занятием. Например, домохозяйка время от времени собирает своих подруг и демонстрирует им достоинства косметики определенной фирмы или кухонной утвари.
Подобный вид рекламы имеет давнюю историю. Купите за 10 марок велосипед стоимостью 50 марок! Как возможно такое нарушение законов экономики? Сначала покупатель высылал фирме 10 марок. Но получал не велосипед, а 4 билета. Их он должен был продать своим четырем знакомым, каждый за 10 марок, и собранные 40 марок отправить фирме. Только после этого он получал свой велосипед, который действительно обходился ему только в 10 марок. Остальные 40 марок платили его знакомые, которым он продал билеты. И начинался следующий тур. Каждый из его четырех знакомых отправлял свой билет фирме, а в ответ получал 5 билетов, которые было необходимо распространить уже среди своих знакомых. И все повторялось – с небольшим нюансом. Пять владельцев билетов следующего тура оплачивали покупку велосипеда тем потребителем, который осчастливил их билетами. Конечно, заканчивалось все тем, что основная часть потенциальных владельцев велосипедов бродила с пачками билетов и пыталась найти покупателей на них. Именно они оплатили дешевые покупки счастливчиков.
Потом стало ясно, что продавать что-либо совсем не обязательно. В начале 1980–х годов по СССР бродили "прелестные письма", состоящие из списка пяти лиц (с адресами) и сопроводительного текста. Предлагалось выслать первому в списке 10 руб., затем переписать письмо в 5 экземплярах, вычеркнув из списка первого, номера со второго по пятый уменьшив на единицу, а себя вписав пятым. После чего новый вариант предлагалось послать 5 своим знакомым. В сопроводительном тексте расписывался "эффект пирамиды", каждому участнику была обещана крупная сумма. Реально цепочки обрывались довольно быстро. Однако лица, попавшие близко к началу "игры", кое-что получали. Дешевые велосипеды и "прелестные письма" показывают возможности систем самоорганизации потребителей, основанные на предоставлении выгод тем, кто привлечет новых покупателей. Фирма, создающая подобные системы, оформленные, например, как "клубы покупателей", приобретает массу добровольных пропагандистов своих товаров и при этом несет сравнительно малые затраты (только на скидки наиболее активным потребителям, привлекшим максимальное число новых покупателей).
Специфический вид рекламы – реклама рабочей силы, или поиск работы. Метод "от человека – к человеку", т. е. "по знакомству", здесь также наиболее эффективен. Особенно в российских условиях, поскольку соответствует отечественным традициям подбора сотрудников.
Необходимо отметить, что в рекламном деле весьма часто приходится сравнивать между собой различные варианты рекламных действий, оценивать значимость их результатов. Для этого используют методы прикладной математической статистики и эконометрики. Для отечественного читателя такая большая доля математики в рекламном деле явно покажется странной, сочинения о рекламе на русском языке состоят в основном из наборов слов. Видимо, дело в том, что американские рекламисты прошли гораздо более долгий путь и успели убедиться в необходимости использования в своей работе богатого арсенала современной эконометрики.