Технический уровень и качество продукции на мировом рынке растет, и необходимо спланировать подготовку новой модели так, чтобы в момент выхода на рынок и в течение нескольких следующих лет она оказалась выше среднемирового уровня по потребительским свойствам, техническому уровню и качеству. Можно также предсказать, когда придется ее снимать с производства – когда она существенно отстанет от продукции конкурентов. Поскольку период подготовки изделия к выпуску может быть заметно длиннее периода массового выпуска, то на предприятии могут и во многих случаях должны параллельно идти работы по целой гамме изделий, которые будут затем сменять друг друга на конвейере.
Представляет интерес и стратегия воспитания новых потребностей. Так, из-за ухудшающейся экологической обстановки все более перспективными представляются электромобили взамен обычных автомобилей с двигателями, работающими на бензине. Однако предприятию, взявшемуся за осуществление этой перспективной идеи, придется приложить много усилий, вместе с властями и экологическими организациями, чтобы воспитать у потребителей потребность в электромобилях. Нужны и административные меры, вплоть до запрета на использование обычных автомобилей на тех или иных территориях. И постоянная рекламная компания, нацеленная на доказательство преимуществ электромобилей. И продвинутые инженерные разработки по повышению технического уровня электромобилей и особенно аккумуляторов, и создание развернутой системы "заправки" электромобилей (видимо, путем смены аккумуляторных блоков), и массовые акции экологических организаций, направленные против обычных автомобилей.
Двум видам маркетинга – оперативному и стратегическому – обычно соответствуют различные организационные структуры предприятия. Оперативный маркетинг сравнительно слабо связан с производством и с деятельностью научно-исследовательских подразделений. Его цель – продать то, что производится сейчас. Напротив, стратегический маркетинг опирается на мощные прогнозные разработки, на инновационные научно-технические решения. Он работает на будущее. Правильно ли идет работа – выяснится через 5–10 лет.
Оперативному маркетингу нет нужды вникать в техническую политику конкурентов. Их изделия – в продаже, можно непосредственно сравнить со своими товарами и услугами. Стратегическому маркетингу весьма полезны сведения о конкурентах, промышленная разведка и контрразведка – его важная составляющая часть.
Модель оптимизации моментов выпуска продукции на рынок. Рассмотрим эскизную математическую модель, позволяющую рассчитать оптимальные моменты выпуска на рынок новых моделей продукции. Мировой уровень качества непрерывно растет, в то время как уровень качества продукции конкретного предприятия меняется скачкообразно. Он заметно увеличивается при выпуске на рынок новой марки продукции, а затем остается постоянным вплоть до выпуска следующей марки. В течение жизненного цикла очередной марки продукции ее уровень качества сначала заметно выше мирового, затем преимущество уменьшается, наконец, уровень качества оказывается ниже мирового, и через некоторое время марка снимается с производства.
В какие оптимальные моменты t 1, t 2, t 3, … выпускать на рынок новые марки продукции? Чтобы ответить на этот вопрос, необходимо сформировать функционал, который будем оптимизировать, выбирая моменты t 1, t 2, t 3, …
Предположим, что изменение во времени мирового уровня качества рассматриваемой продукции P 0 ( t ) можно описать линейной функцией:
P 0 ( t ) = a 0 + at .
В качестве модели рынка примем модель чистой (совершенной) конкуренции. В соответствии с ней вклад конкретного предприятия в объем мирового рынка бесконечно мал, а цены определяются мировым уровнем качества. Можно сказать, что мировой уровень качества является оптимальным. Самым лучшим для предприятия был бы выпуск продукции на этом уровне. К сожалению, это невозможно по технологическим причинам. Пусть d – стоимость осуществления скачка, т. е. разработки и подготовки к производству очередной марки (модификации) продукции. Примем для простоты, что стоимости скачков любой величины одинаковы.
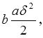
Следовательно, превышение мирового уровня не приносит предприятию дополнительного дохода. Поэтому предположим, что дополнительные затраты на превышение уровня качества P ( t ) выпускаемой продукции сверх мирового уровня пропорциональны этому превышению, т. е. за время ( t; t + dt ) равны
b ( P ( t ) – P 0( t )) dt .
где b – коэффициент пропорциональности и P ( t ) > P 0( t ).
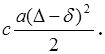
При отставании уровня качества продукции от мирового предприятие несет заметные убытки, в частности, ему приходится снижать цены. Пусть потери от морального старения продукции пропорциональны отставанию от мирового уровня качества, т. е. за время ( t; t + dt ) равны
c ( P ( t ) – P 0( t )) dt .
где c – коэффициент пропорциональности и P ( t ) < P 0( t ).
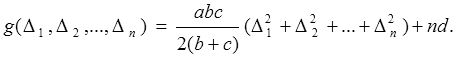
Функционал, который будем оптимизировать, выбирая моменты t 1, t 2, t 3, … и соответствующие величины скачков, равен сумме расходов на запуск новых марок, затрат на превышение уровня качества P ( t ) выпускаемой продукции сверх мирового и потерь от морального старения продукции ввиду отставания от мирового уровня качества. Пусть за время (0; T ) выпущено на рынок n = n (T) новых марок. Тогда функционал имеет вид
nd + bS 1 + cS 2,
где S 1 – суммарная площадь треугольников, образованных графиками P ( t ) и P 0( t ) и расположенных выше прямой a 0 + at , а S 2 – суммарная площадь треугольников, образованных графиками P ( t ) и P 0( t ) и расположенных ниже прямой a 0 + at .
Минимизацию затрат проведем в три этапа. На первом этапе зафиксируем моменты t 1, t 2, t 3, … Рассмотрим два соседних момента t k и t k+ 1. Положим Δ = t k+ 1 – t k . Тогда ситуация полностью описана, если задан промежуток времени δ такой, что в момент t k + δ уровень качества выпускаемой предприятием продукции совпадает с мировым уровнем качества.
Меняя величину δ, мы изменяем высоту рассматриваемой "ступеньки" графика P ( t ), не влияя на остальные "ступеньки". В результате можно провести локальную оптимизацию высоты "ступенек" при заданных моментах t 1, t 2, t 3, … выпуска на рынок очередных марок. Задача локальной оптимизации допускает декомпозицию, т. е. разбивается на задачи оптимизации для каждой ступеньки по отдельности.
За промежуток времени Δ затраты, связанные с превышением уровня качества сверх мирового, как видно, равны

а потери из-за морального старения (при отставании от мирового уровня) равны

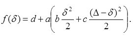
Следовательно, суммарные потери за рассматриваемый интервал времени момента ( t k ; t k+ 1) равны

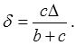
Выбирая δ оптимальным образом, минимизируем суммарные затраты и потери за рассматриваемый интервал времени. Продифференцировав функцию f (δ) по δ и приравняв производную 0, получим оптимальное значение δ, а именно:

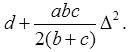
При оптимальном δ затраты за период с t k до t k+ 1, как нетрудно подсчитать, равны

На втором этапе оптимизации зафиксируем число скачков и найдем при этом условии оптимальные моменты скачков t 1, t 2, t 3, … Положим Δ j = t j+ 1 – t j , где j = 1, 2, …, n, причем примем t n+ 1 = T , где T – горизонт планирования. Тогда суммарные затраты за весь рассматриваемый интервал планирования равны

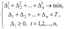
Эту функцию необходимо минимизировать по всем n неотрицательным переменным Δ j , j = 1, 2, …, n, при условии
Δ 1 + Δ 2 + … + Δ n = T .
Достаточно решить чисто математическую задачу оптимизации

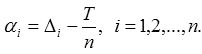
где n = n(T). Для ее решения целесообразно ввести новые переменные

Тогда

Поскольку