Всего за 114.9 руб. Купить полную версию

К оперативному менеджменту относится, например, и распределение прибыли между дивидендами и фондом развития предприятия. Здесь налицо конфликт между сиюминутными интересами акционеров и стратегическим развитием фирмы. Ясно, что любые инвестиции и расходы на разработку и внедрение новшеств уменьшают прибыль текущего года. Но без таких расходов предприятие обречено на потерю конкурентоспособности в будущем.
Менеджеры довольно часто являются совладельцами предприятия. Почему акционеру выгодно получать зарплату? Потому что на величину зарплаты уменьшается прибыль, а потому и налог на прибыль. Поскольку с дивидендов и с зарплаты берется один и тот же подоходный налог (в процентном отношении), а ставка подоходного налога меньше ставки налога на прибыль, то "перекачка" денег в зарплату увеличивает доход менеджера (и соответственно уменьшает отчисления в бюджет).
Обучение по книгам – эффективно, экономно.
Чтение книг – престижно, современно, выгодно.
Знания – тоже капитал, который всегда с тобой.
Шевчук Денис
Умные живут дольше. Смертность людей с высоким уровнем образования в четыре раза ниже, чем у малообразованных.
Экспертные методы в стратегическом менеджменте. Что будет через десять лет? Достаточно вдуматься в эту постановку вопроса, проанализировать, как десять лет назад мы представляли себе сегодняшний день, чтобы понять, что стопроцентно надежных прогнозов просто не может быть. Вместо утверждений с конкретными числами можно ожидать лишь качественных оценок. Тем не менее мы должны принимать решения, последствия которых скажутся через десять, двадцать и т. д. лет. Как быть? Остается обратиться к методам экспертных оценок (глава 3.4).
Образование – это инвестиции в человеческий капитал. По данным статистики, каждый год, затраченный на учебу, повышает зарплату работника в среднем на 10 %. Образование не только повышает производительность реципиента (т. е. человека, который его получил), оно имеет положительный внешний эффект (экстерналию). Внешний эффект происходит тогда, когда действие одного человека сказывается на благосостоянии другого человека или других людей. Образованный человек может выдвигать идеи, которые становятся полезными для других, всеобщим достоянием, ими имеет возможность пользоваться каждый, попавший в сферу действия положительного внешнего эффекта образования. В этой связи особенно негативными последствиями обладает явление, получившее название "утечки умов", то есть эмиграции наиболее образованных и квалифицированных специалистов из бедных стран и стран с переходной экономикой в богатые страны, имеющие высокий уровень жизни.
Существенной проблемой развития (в т. ч. карьерного) является вредные привычки. Алкоголь необратимо разрушает клетки мозга (в любом количестве), ведет к импотенции у мужчин и соответствующим проблемам у женщин. Для здорового человека не существует полезного алкоголя – он вреден в любых количествах и видах. Это давно известно, но замалчивается из корыстных целей. Наоборот, проплаченные журналисты и "эксперты", фильмы и сериалы (с огромными рекламными бюджетами) пиарят нездоровый образ жизни – реклама окупается в разы, правда ценой здоровья миллионов. Курение также ведет к печальным последствиям, часто необратимым. Курящие менее трудоспособны, поэтому в развитых странах их стараются не брать на работу, особенно на значимые должности, подобная тенденция заметна в крупных успешных Российских компаниях. Законодательное ограничение курения в общественных местах говорит о повышенной эгоистичности курящих, которые не думают об окружающих – согласитесь, это не самое лучшее качество для работы с людьми, что прекрасно понимают специалисты по подбору персонала.
1.4.2. Проблема горизонта планирования в стратегическом менеджменте
Продолжим начатое выше обсуждение влияние выбора горизонта планирования на принимаемые решения. Отметим, что во многих реальных ситуациях продолжительность, например, инвестиционного проекта не полностью определена либо горизонт планирования инвестора не охватывает всю продолжительность реализации проекта до этапа утилизации. В таких случаях важно изучить влияние горизонта планирования на принимаемые решения.
Рассмотрим условный пример. Предположим, я являюсь владельцем завода. Если горизонт моего планирования – 1 месяц, то наибольший денежный доход я получу, продав предприятие (включая здания, сырье, технологическое оборудование, землю, на котором стоит предприятие – если, конечно, я имею право ее продать). Если же планирую на год, то я сначала понесу затраты, закупив сырье и оплатив труд рабочих, и только затем, продав продукцию, получу прибыль. Если я планирую на 10 лет, то пойду на крупные затраты, закупив лицензии и новое оборудование, с целью увеличения дохода в дальнейшие годы. При планировании на 30 лет имеет смысл вложить средства в создание и развитие собственного научно-исследовательского центра, и т. д.
Подчеркнем – реальные инвестиции (в основные фонды – в здания, оборудование, в конструкторские разработки и т. д.), которые окупятся в следующие годы, в текущем году ухудшат многие финансово-хозяйственные показатели работы предприятия, сократят его прибыль, уменьшат показатели рентабельности, в итоги акционеры получат – в данном году – меньше.
Таким образом, популярное утверждение "фирма работает ради максимизации прибыли" или "цель фирмы – максимизация прибыли" не имеет точного смысла. За какой период максимизировать прибыль – за месяц, год, 10 или 30 лет? От горизонта планирования зависят принимаемые решения. Понимая это, ряд западных экономистов отказываются рассматривать фирмы как инструменты для извлечения прибыли, предпочитают смотреть на них как на квазиживые существа, старающиеся обеспечить продолжение своего существования и дальнейшее развитие. Соответственно с этим стратегический менеджмент исходит из понятий "миссия фирмы", "стратегические цели" (например, стратегическая цель может иметь вид: "повысить долю рынка, контролируемую фирмой"), которые невозможно непосредственно выразить в денежных единицах (подробнее см. Шевчук Д.А., Шевчук В.А. Деньги. Кредит. Банки. Курс лекций в конспективном изложении: Учеб-метод. пособ. – М: Финансы и статистика, 2006).
Прежде чем обсуждать непосредственно влияние горизонта планирования на принимаемые менеджером решения, рассмотрим некоторые используемые при принятии решений оптимизационные модели (методам оптимизации посвящена глава 3.2).
Характеризация моделей с дисконтированием. Пусть для простоты изложения время принимает дискретные значения. Тогда развитие экономической ситуации описывается последовательностью
![]()
где переменные x j лежат в некотором пространстве Х , возможно, достаточно сложной природы. Надо отметить также, что положение в следующий момент не может быть произвольным, оно связано с положением в предыдущий момент. Проще всего принять, что существует некоторое множество К такое, что
![]()
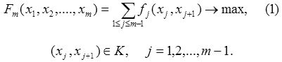
Результат экономической деятельности за j – й период описывается величиной
![]()
Зависимость не только от начального и конечного положения, но и от номера периода объясняется тем, что через номер периода осуществляется связь с общей экономической ситуацией. Желая максимизировать суммарные результаты экономической деятельности, приходим к постановке стандартной задаче динамического программирования:

Таким образом, необходимо выбрать план
![]()
удовлетворяющий приведенным ограничениям, на котором достигает максимума функционал F m . Естественно, предполагается, что множество возможных переходов К таково, что область определения функционала F m не пуста. При обычных математических предположениях максимум достигается.
Как известно, задача (1) часто возникает во многих прикладных экономических и эконометрических областях, в макроэкономике (подробнее см. Шевчук Д.А., Шевчук В.А. Макроэкономика: Конспект лекций. – М.: Высшее образование, 2006), в логистике (управлении запасами).
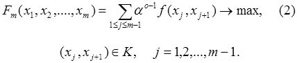
Широко предлагаются, исследуются и применяются модели, приводящие к следующему частному случаю задачи (1):

Это – модели с дисконтированием (как известно, α – дисконт-фактор). Естественно попытаться выяснить, какими "внутренними" свойствами выделяются задачи типа (2) из всех задач типа (1). В частности, почему такой большой популярностью пользуется характеристика инвестиционного проекта NPV (Net Present Value – чистая текущая стоимость), относящаяся к характеристикам дисконтированного типа и подробно рассматриваемая ниже (глава 2.3).
Представляет интерес изучение и сравнение между собой планов возможного экономического поведения на k шагов
![]()
и