Для многих целей нам интересен приближенный спектр, в котором интегрирование по т производится только по интервалу (0, В), где В в описанном выше частном случае равно 20 сек. Напомним, что f(t) - действительная функция, а автокорреляция - симметрическая [c.283] функция. Поэтому интеграл от 0 до В можно заменить интегралом от -В до В:
(10.25)
Эта величина будет иметь среднее значение
(10.26)
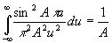
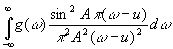
Квадрат приближенного спектра в интервале (-В, В) будет равен

а эта величина будет иметь среднее значение

![]()
![]()
[c.284]


![]()
. (10.27)
Как известно, если m обозначает среднее, то
(10.28)
Таким образом, среднеквадратическая ошибка приближенного выборочного спектра будет равна
(10.29)
Но
(10.30)
Следовательно, интеграл
(10.31)
равен величине 1/А, умноженной на текущее взвешенное среднее от g(ω). Если усредняемая величина приблизительно постоянна в малом интервале 1/А, как [c.285] можно здесь разумно предположить, мы получим как приближенную главную часть среднеквадратической ошибки в любой точке спектра выражение
(10.32)
Заметим, что если приближенный выборочный спектр имеет максимум при u=10, то величина этого максимума
(10.33)
Эта величина при гладкой функции q(ω) мало будет отличаться от │q(10)│. Среднеквадратическая ошибка спектра, отнесенная к этой величине как единице измерения, будет равна
(10.34)
и, следовательно, не превосходит
(10.35)
В рассматриваемом случае она равна
(10.36)
Если допускать реальность явления провала, или, по крайней мере, реальность крутого падения нашей кривой на частоте около 9,05 гц, то будет уместно поставить по этому поводу несколько физиологических вопросов. Три главных касаются физиологической функции наблюденных нами явлений, физиологического механизма, производящего их, и применения, которое они могли бы найти в медицине.
Заметим, что резкая линия частоты эквивалентна точным часам. Так как мозг есть в некотором смысле управляющее и вычислительное устройство, естественно спросить, находят ли часы применение в других формах управляющих и вычислительных устройств. И действительно, многие из них содержат часы. Часы применяются [c.286] в таких устройствах в целях стробирования. Все такие устройства должны комбинировать большое число импульсов в один импульс. Если импульсы передаются простым включением или выключением цепи, их синхронность не имеет большого значения и стробирование не нужно. Однако при подобном способе передачи импульсов вся цепь оказывается занятой вплоть до смены сообщения и значительная часть аппаратуры выводится из действия на неопределенное время. Поэтому желательно, чтобы в вычислительном или управляющем устройстве сообщения передавались комбинированным сигналом включения-выключения. Тогда аппаратура будет сразу же свободна для дальнейшего использования. Достичь этого можно, если сообщения будут запоминаться, чтобы их всех можно было послать одновременно, и затем быстро комбинироваться, пока они еще в машине. Здесь необходимо стробирование, а стробирование удобно осуществлять при помощи часов.
Хорошо известно, что, по крайней мере в длинных нервных волокнах, нервные импульсы переносятся пиками, форма которых не зависит от способа их возникновения. Комбинирование этих пиков - функция синаптического механизма. В этих синапсах несколько входящих волокон соединяются с выходящим волокном. Если надлежащая комбинация входящих волокон возбуждается в течение некоторого весьма короткого промежутка времени, то возбуждается и выходящее волокно. В такой комбинации действие входящих волокон в некоторых случаях аддитивно: если возбуждается больше известного числа волокон, достигается порог, вызывающий возбуждение выходящего волокна. В других случаях некоторые из входящих волокон производят тормозящее действие, совершенно не допускающее возбуждения или, во всяком случае, увеличивающее порог для других волокон. В обоих случаях существен короткий период комбинирования, и если приходящие сообщения не попадают в этот короткий период, они не комбинируются. Поэтому необходим какой-то стробирующий механизм, позволяющий сообщениям прибывать [c.287] почти одновременно. В противном случае синапс не может действовать как комбинирующий механизм.
Желательно, однако, найти дальнейшее подтверждение тому, что стробирование действительно имеет место. Здесь уместно упомянуть работу проф. Дональда Б. Линдсли с психологического факультета Калифорнийского университета в Лос-Анджелесе. Он исследовал время реакции при зрительных сигналах. Как хорошо известно, когда приходит зрительный сигнал, возбуждаемые им мышцы действуют не сразу, а с запаздыванием. Линдсли показал, что эта задержка непостоянна и, судя по всему, состоит из трех частей. Одна из них имеет постоянную длительность, тогда как две другие, по-видимому, равномерно распределены в интервале около 1/10 сек. Представляется, что центральная нервная система может воспринимать приходящие импульсы только каждую 1/10 сек и что импульсы от центральной нервной системы могут приходить к мышцам только каждую 1/10 сек. Это является экспериментальным доказательством стробирования, и весьма вероятно, что связь стробирования с одной десятой секунды, составляющей приблизительный период альфа-ритма мозга, не случайна.
На этом закончим обсуждение функции центрального альфа-ритма. Возникает вопрос о механизме, создающем названный ритм. Здесь нужно указать, что альфа-ритм может дрейфовать при мелькании света. Если свет мелькает перед глазом с интервалами, близкими к 1/10 сек, то альфа-ритм мозга изменяется и приобретает сильную составляющую того же периода. Несомненно, мелькание света вызывает электрическое мелькание в сетчатке и, почти наверное, - в центральной нервной системе.