норберт винер - Кибернетика или управление и связь в животном и машине стр 26.

Шрифт
Фон

Применим теперь эту новую меру к одной из областей фазового пространства, для которой определена энергия, общее количество движения и общий момент количества движения, и предположим, что в системе нет других измеримых инвариантных величин. Пусть полная мера этой ограниченной области постоянна; изменяя масштаб, ее можно приравнять единице. Поскольку наша мера была получена из меры, инвариантной во времени, способом, инвариантным во времени, она и сама инвариантна. Мы назовем эту меру фазовой мерой, а средние по этой мере - фазовыми средними.

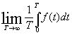
Но всякая величина, изменяющаяся во времени, может иметь также среднее значение по времени - временно́е среднее. Например, если f(t) зависит от t, то временно́е среднее для прошлого равно

Кибернетика или управление и связь в..., (2.01)

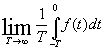
а временно́е среднее для будущего

Кибернетика или управление и связь в... (2.02)

[c.104]

В гиббсовой статистической механике встречаются как временные, так и пространственные средние. Блестящей идеей Гиббса была попытка доказать, что эти средние в некотором смысле тождественны. Догадка Гиббса о связи двух типов средних совершенно правильна, но метод, которым он пытался доказать эту связь, был совершенно и безнадежно неверным. В этом его вряд ли можно винить. Интеграл Лебега стал известен в Америке лишь к моменту смерти Гиббса. В течение еще пятнадцати лет он был музейной редкостью и применялся только, чтобы продемонстрировать молодым математикам, до какой степени могут быть доведены требования математической строгости. Такой выдающийся математик, как У.Ф. Осгуд, не хотел его признать до конца своей жизни. Лишь около 1930 г. группа математиков - Купмен, фон Нейман, Биркгофф - установила наконец прочные основы статистической механики Гиббса. Каковы были эти основы, мы увидим дальше, когда познакомимся с эргодической теорией.

Сам Гиббс думал, что в системе, из которой удалены все инварианты - лишние координаты, почти все пути точек в фазовом пространстве проходят через все координаты такого пространства. Эту гипотезу он назвал эргодической, от греческих слов εργον - "работа" и οδόσ - "путь". Но как показал Планшерель и другие, ни в одном реальном случае эта гипотеза не оправдывается. Никакая дифференцируемая траектория, даже бесконечной длины, не может покрыть целиком область на плоскости. Последователи Гиббса и, по-видимому, в конце концов сам Гиббс смутно поняли это и заменили свою гипотезу другой, квазиэргодической гипотезой, которая утверждает лишь, что с течением времени система в общем случае проходит неограниченно близко к каждой точке в области фазового пространства определенной известными интервалами. Логически такая гипотеза вполне приемлема, но она совершенно недостаточна для тех выводов, которые Гиббс основывает на ней. Она ничего не говорит об относительном времени пребывания системы в окрестности каждой точки. [c.105]

Помимо понятии среднего и меры (иначе говоря, среднего по всему пространству от функции, равной 1 на измеряемом множестве и 0 вне его), необходимых в первую очередь для разбора идей Гиббса, мы нуждаемся при оценке действительного значения эргодической теории в более точном анализе понятия инварианта, как и понятия группы преобразований. Эти понятия, несомненно, были известны Гиббсу, как показывают его работы по векторному анализу. Тем не менее можно утверждать, что он не оценил в полной мере их философского значения. Подобно своему современнику Хевисайду, Гиббс принадлежал к типу ученых, у которых физико-математическая проницательность часто опережает их логику и которые обыкновенно бывают правы, но часто не в состоянии объяснить, почему и как.

Для существования любой науки необходимо, чтобы существовали явления, которые не оставались бы изолированными. Если бы мир управлялся серией чудес, совершаемых иррациональным богом с его внезапными прихотями, то мы были бы вынуждены ждать каждой новой катастрофы в состоянии пассивного недоумения. Подобную картину мира встречаем мы в крокетной игре, описанной в "Алисе в стране чудес". В этой игре молотки - фламинго, шары - ежи, которые спокойно разворачиваются и идут по своим делам, ворота - карточные солдаты, точно так же способные совершать движения по собственной инициативе, а правила игры определяются декретами вспыльчивой королевы червей, поведение которой невозможно предугадать.

Существо эффективного правила игры или полезного закона физики состоит в том, что правило можно установить заранее и применять во многих случаях. В идеале закон должен описывать свойство рассматриваемой системы, остающееся всегда тем же самым в потоке частных событий. В простейшем случае берется свойство, инвариантное относительно множества преобразований, которым подвергается система. Так мы приходим к [c.106] понятиям преобразования, группы преобразований и инварианта.

Преобразование системы есть изменение, при котором каждый элемент переходит в другой элемент. Изменение Солнечной системы в промежуток между моментами времени t1 и t2 есть преобразование координат планет. Аналогичное изменение их координат при перемещении нами начала координат или повороте наших геометрических осей также есть преобразование. Изменение масштаба, происходящее, когда мы наблюдаем препарат в микроскоп, - еще один пример преобразования.

Если за преобразованием А следует преобразование В, то в результате получается преобразование, называемое произведением, или результирующим преобразованием ВА. Заметим, что произведение, вообще говоря, зависит от порядка преобразований A и В. Например, если А - преобразование, переводящее координату х в координату y, а у - в х, оставляя z без изменений, и если В переводит х в z, а z - в х, оставляя y без изменений, то ВА будет переводить х в у, у - в z и z - в х, а АВ будет переводить х в z, у - в х и z - в у. Если АВ и ВА совпадают, то говорят, что А и В перестановочны.

Иногда, но не всегда, преобразование А не только переводит каждый элемент системы в элемент, но обладает еще тем свойством, что каждый элемент оказывается результатом преобразования одного из элементов. В этом случае существует такое единственное преобразование А, что каждое из произведений АА и АA представляет собой особое, вырожденное преобразование, которое называется тождественным преобразованием I и преобразует каждый элемент в самого себя. В этом случае мы называем преобразование А обратным к преобразованию А. Очевидно, что А обратно к А, что I обратно к самому себе и что обратное преобразование к АВ есть BA.

Существуют множества преобразований, в которых: 1) каждое преобразование, принадлежащее к данному множеству, имеет обратное преобразование, также принадлежащее к этому множеству, и 2) произведение любых двух преобразований, принадлежащих к данному множеству, само принадлежит к этому множеству. Такие множества носят название групп преобразований. [c.107] Множество всех сдвигов или по прямой, или в плоскости, или в трехмерном пространстве есть группа преобразований; более того, оно принадлежит к группам преобразований особого рода, называемым абелевыми группами, где любые два преобразования перестановочны. Напротив, множество поворотов около точки и множество всех перемещений твердого тела в пространстве суть неабелевы группы.

Предположим теперь, что имеется какая-то величина, связанная со всеми элементами, преобразуемыми данной группой преобразований. Если эта величина не изменяется, когда каждый элемент изменяется одним и тем же преобразованием группы, каково бы ни было это преобразование, то она называется инвариантом группы. Существует много разновидностей таких инвариантов. Из них для наших целей особенно важны две.

Ваша оценка очень важна

0
Шрифт
Фон

Помогите Вашим друзьям узнать о библиотеке