52. ОЦЕНКА ИНВЕСТИЦИОННОЙ ПРИВЛЕКАТЕЛЬНОСТИ ПРЕДПРИЯТИЙ
В процессе принятия инвестиционных решений можно выделить следующие этапы:
1) оценка финансового состояния предприятия и возможностей его участия в инвестиционной деятельности;
2) обоснование размера инвестиций и выбор источников финансирования;
3) оценка будущих денежных потоков от реализации инвестиционного проекта.
Одним из наиболее важных этапов оценки инвестиционной привлекательности предприятия является анализ его финансово-хозяйственной деятельности.
Финансовое состояние предприятия – это комплексное понятие, которое подразумевает оценку степени эффективности размещения средств, устойчивости платежеспособности, наличия достаточной финансовой базы, обеспеченности собственными оборотными средствами, организации расчетов и др.
Широкое распространение для оценки финансового состояния предприятия получили методики, основанные на анализе системы финансовых коэффициентов. При всем разнообразии методик с использованием финансовых коэффициентов их главные отличия определяются:
• степенью многочисленности используемых в анализе финансовых коэффициентов;
• принципами оценки весомости этих коэффициентов;
• методами получения обобщенной оценки финансового состояния предприятия.
Особое внимание должно быть обращено на наличие таких позиций в отчетах предприятий, как убытки, кредиты и займы, не погашенные в срок, просроченная кредиторская и дебиторская задолженность.
Следующим этапом анализа является оценка финансового состояния предприятия с помощью системы финансовых коэффициентов. При всем разнообразии финансовых коэффициентов они должны включать показатели следующих направлений оценки финансового состояния:
I группа – показатели ликвидности;
II группа – показатели финансовой устойчивости;
III группа – показатели деловой активности;
IV группа – показатели рентабельности.
53. МЕТОДЫ ОЦЕНКИ ИНВЕСТИЦИОННЫХ ПРОЕКТОВ: ДИСКОНТИРОВАНИЕ
Для того чтобы сопоставить размер инвестиций и будущие денежные поступления, нужно учесть разновременность притоков и оттоков денежных средств в результате осуществления инвестиционного проекта и все будущие денежные потоки следует "привести" к моменту инвестирования средств, т. е. выполнить процедуру дисконтирования потоков платежей.
Различные методы сравнения инвестиционных проектов используют следующую информацию, которая может быть получена в результате:
1) определения размера ожидаемых денежных поступлений от предлагаемого проекта с распределением их по срокам поступления;
2) обоснования ставки дисконтирования будущих денежных поступлений, которая отражала бы ожидаемую инвестором доходность от проекта и степень риска вложений средств;
3) расчета дисконтированной стоимости каждого из ожидаемых потоков, суммированием которых определяется накопленная величина дисконтированных доходов (PV):

где CFt – доход от инвестиций f-го периода; it – ставка дисконтирования f-го периода; n – число лет, в течение которых прогнозируется получение дохода от инвестиций.
Рассчитанная таким образом величина PV характеризует приведенную к моменту инвестирования средств (если они единовременны) стоимость денежных доходов от инвестиций, полученных в разные периоды. Теперь эта величина (PV) может быть сопоставлена с размером инвестиций.
Формула показывает, что при оценке инвестиционных решений важное значение приобретает анализ размера и срока возникновения денежных доходов в результате капиталовложений: большую привлекательность будут иметь те инвестиционные проекты, которые дают достаточно большие доходы уже через короткие промежутки времени;
4) подсчета требуемых для инвестиционного проекта капиталовложений.
54. МЕТОДЫ ОЦЕНКИ ИНВЕСТИЦИОННЫХ ПРОЕКТОВ: СРОК ОКУПАЕМОСТИ, СРЕДНЯЯ ДОХОДНОСТЬ, ДЕНЕЖНЫЙ ПОТОК
Срок окупаемости – это число лет, требуемое для возврата первоначальных капиталовложений.
В самом простом варианте определения срока окупаемости не берется в расчет стоимость денежных потоков с учетом фактора времени. Общая формула расчета показателя РР имеет вид:
![]()
где C – размер капиталовложений.
Один из главных недостатков показателя срока окупаемости состоит в том, что он не учитывает влияния денежных потоков за рамками периода окупаемости.
Этот недостаток устраняется при использовании второго варианта расчета срока окупаемости, когда при его определении применяются дисконтированные денежные потоки.
По принципам расчета к показателю срока окупаемости близок метод расчета средней доходности инвестиций. Этот показатель определяют делением средней годовой величины чистой прибыли на среднюю стоимость инвестиций. Средняя величина инвестиций определяется при наличии ликвидационной (остаточной) стоимости как полусумма размера первоначальных инвестиций и ликвидационной стоимости.
Этот метод, так же как и срок окупаемости, имеет недостаток: он не учитывает временную составляющую денежных потоков.
Следующий метод оценки эффективности инвестиционных проектов основан на сопоставлении величины стартовых инвестиций с общей суммой дисконтированных денежных потоков в течение жизненного цикла инвестиций. Под денежным потоком (CFt) понимается чистая прибыль плюс сумма амортизационных отчислений:
CFt = Пt + At,
где Пс – чистая прибыль f-го периода; Ас – сумма амортизационных отчислений t-того периода.
55. МЕТОДЫ ОЦЕНКИ ИНВЕСТИЦИОННЫХ ПРОЕКТОВ: ЧИСТАЯ ПРИВЕДЕННАЯ СТОИМОСТЬ, ВНУТРЕННЯЯ НОРМА ДОХОДНОСТИ
Для определения дисконтированной величины нужно предварительно установить ставку дисконтирования, которая в инвестиционных расчетах представляет собой уровень возможной доходности от рассматриваемого проекта. Затем определяется сумма дисконтированных денежных потоков за весь жизненный цикл инвестиций, которая сопоставляется со стоимостью первоначальных затрат на проект. Разность между двумя этими величинами называется чистой приведенной (или текущей) стоимостью (nef presenf value – NPV) и рассчитывается по формуле

где n – жизненный цикл инвестиции; С – первоначальные затраты проекта.
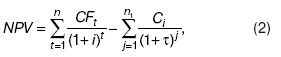
В общем случае проект предполагает не только единовременные затраты, но и последовательное осуществление инвестиций в течение n лет, и тогда расчет NPV будет производиться следующим образом:

где т – прогнозируемый средний уровень инфляции; C – размер инвестиций i-го периода.
Если по результатам расчетов будет получено положительное значение чистой приведенной стоимости (NPV > 0), можно рекомендовать принять положительное решение по инвестиционному проекту. Если же величина NPV отрицательная, то проект следует отклонить.
Положительная величина NPV показывает, что суммарный денежный поток в течение жизненного цикла инвестиции перекроет капиталовложения, обеспечит желаемый уровень доходности на вложенные средства и увеличение рыночной стоимости предприятия. Если же чистая приведенная стоимость отрицательная, то желаемая ставка доходности и покрытие капиталовложений не могут быть обеспечены прогнозируемыми денежными потоками.
Расчет внутренней нормы доходности базируется на тех же методологических предпосылках, что и определение чистой приведенной стоимости. Однако в этом случае ставится задача определить тот уровень доходности инвестиций, который обеспечит равенство дисконтированных величин доходов и расходов на протяжении жизненного цикла инвестиций. Исходя из этого определения внутренней нормы доходности (IRR), можно сказать, что IRR соответствует ставке дисконтирования денежных потоков, при которой NPV = 0.