6. Специальная теория относительности для сверхсветовых скоростей
Вещество – самая грубая форма объективной реальности, ниже, чем энергия и ум, а следовательно, подчинено им обоим.
Радж-йога
1. Специальная теория относительности для сверхсветовых скоростей (|23 |, стр. 143-145).
В предыдущих главах мы вкратце изложили специальную теорию относительности для досветовых скоростей. Тогда возникает вполне резонный вопрос: а существуют ли сверхсветовые скорости?
Всякая досветовая скорость принадлежит миру вещественной материи. Согласно основному закону природы, ничто материальное не может существовать без своей противоположности. Следовательно, досветовая скорость вещественной частицы не могла бы существовать, если бы не было ее противоположности – сверхсветовой скорости. Однако сверхсветовая скорость – невозможная категория вещественного мира и мира положительных энергий. Поэтому сверхсветовую скорость следует искать в мире энергоантивещества и отрицательной энергии. Это значит, что Вселенная состоит из двух противоположностей: положительной и отрицательной массы, алгебраическая сумма которых равна идеальному нулю. Досветовые скорости принадлежат миру вещества и положительной энергии, а сверхсветовые скорости – миру энергоантивещества и отрицательной энергии.
Энергия является исходным материалом и "строительными кирпичиками" удивительного многообразия всех материальных элементов и систем: начиная от мельчайших атомов и кончая громадными звездами, начиная от элементарных частиц и кончая гигантской Вселенной, начиная от неживого вещества и кончая живым существом, начиная от неразумного кварка и кончая человеческим мозгом. В связи с этим возникает вполне уместный вопрос: почему одна и та же энергия принимает различные формы? Почему в одних случаях энергия остается чистой энергией, а в других случаях превращается в вещество или антивещество? От чего непосредственно такого рода состояние материи зависит?
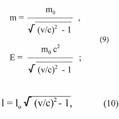
Чтобы дать на этот вопрос исчерпывающий ответ, мы обязаны прежде всего ввести в рассмотрение не только досветовые, но и сверхсветовые скорости. Для сверхсветовых скоростей уравнения (2), (3), (4) и (6) оказываются неприемлемыми, ибо выражаются они мнимыми числами. Однако отношение массы к длине или объему всегда остается реальным числом. Поэтому для решения поставленной выше проблемы мы введем здесь понятие плотности массы. Плотностью p принято называть количество массы, заключенной в единице объема. Она вычисляется как отношение массы тела (или частицы) m к его объему V:
p = m / V (7)
Согласно специальной теории относительности, плотность массы равна:

где величина р0 = m0 /V0 называется плотностью массы покоя. Уравнение (8) не теряет смысла и остается одинаково справедливым при обоих значениях знаменателя: (1 – v/c) и (v/c – 1). Этот факт недвусмысленно указывает на то, что оба выражения, заключенные в скобки, с точки зрения специальной теории относительности, одинаково правомочны и равноправны. Однако из уравнений (2), (3), (4) и (6) видно, что первое выражение имеет смысл только лишь для досветовых скоростей, а второе – для сверхсветовых. Поэтому выражения (2), (3), (4) и (6) для сверхсветовых скоростей могут быть переписаны в следующем виде:


Из уравнений (3) и (9) видно, что релятивистская масса и масса покоя всегда имеют одинаковые знаки как для досветовых, так и для сверхсветовых скоростей. Анализ уравнений (1), (2), (3), (4), (6), (8), (9), (10), (11) показывает, что то же самое можно сказать и о категориях энергии, плотности, длины и времени. Из уравнений (3) и (9) также видно, что если та или иная материальная частица движется со скоростью света, то ее масса покоя обязана быть равна нулю. Поэтому световые скорости принадлежат миру поля и чистой энергии, а сама скорость света является своего рода "энергетическим барьером", через который не может "перескочить" ни одна материальная частица.
Если досветовая скорость положительной энергии уменьшается, то положительная энергия уплотняется и превращается в вещество. Чем меньше скорость, тем плотнее вещество. Если сверхсветовая скорость отрицательной энергии увеличивается, то отрицательная энергия уплотняется и превращается в энергоантивещество. Чем выше скорость, тем плотнее энергоантивещество.
2. Универсальность понятия скорости ([23], стр. 164-165).
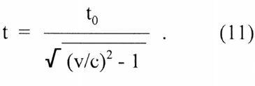
Таким образом, состояние объективной реальности существенным образом прежде всего зависит от скорости ее движения. При этом возникает вполне естественный вопрос: не меняет ли смысла суть самой скорости по обе стороны энергетического барьера? Из уравнений (1) и (2) видно, что для сверхсветовых скоростей релятивистская длина 1 и чужое время t выражаются мнимыми числами. Поэтому каждая из этих двух категорий в отдельности не могут быть выражены математически одновременно для обоих миров: досветовых и сверхсветовых скоростей.
Однако скорость чужого объекта относительно нас есть отношение пройденного им пути 10 к промежутку времени t, который отсчитывается нашими часами. В то же время скорость может быть представлена как отношение пройденного пути 1 в нашей системе отсчета к промежутку времени t0, который отсчитывается чужими часами:
v = l0/t = l/t0, (12)
Подставив в это уравнение значения соответствующих символов из уравнений (1) и (2), мы убеждаемся, что скорость (в отличие от пути и времени) имеет одинаковый смысл как для мира досветовых скоростей, так и для мира сверхсветовых скоростей.
7. Парадоксы пространства
1. Парадокс длины.
Парадокс – это кажущаяся нелепость. Из уравнения (2) видно, что относительная длина объекта всегда короче, чем его подлинная длина. В известном смысле слова можно сказать, что движущееся твердое тело короче, чем то же тело, находящееся в покое, причем тем короче, чем быстрее оно движется. При световых скоростях (v = с) получаем, что 1 = 0. Однако движение вещественного тела со световой скоростью с = 299 792 км/сек не представляется возможным вообще. Если мы (жители Земли) все-таки мысленно вообразим себе, что какая-то ракета движется относительно нас со скоростью света с, то сколь угодно большая длина этой ракеты представилась бы нам равной нулю. Вследствие этого в нашем воображении создается иллюзия о том, что якобы понятие длины для такой ракеты лишено всякого смысла.
Ошибочность такой иллюзии станет ясной, если мы с вами мысленно представим себя пассажирами этой ракеты. Тогда нам будет представляться, что не мы движемся относительно Земли, а Земля движется относительно нас со скоростью света. Следовательно, теперь нам будет представляться равной нулю не длина ракеты, на которой мы летим, а соответствующий размер Земли. Вследствие этого в нашем воображении будет создаваться обратная иллюзия о том, что якобы лишено всякого смысла понятие продольного размера Земли, а не ракеты, хотя на самом деле, по нашим нынешним представлениям, диаметр Земли в любом направлении равен примерно 12 740 км.
2. Парадокс протяженности пространства.
Из уравнения (2) видно, что если какая-нибудь инерциальная система движется относительно нас со сверхсветовой скоростью, то релятивистская длина (а не длина покоя!) становится мнимым числом. Это значит, что передача материального сигнала о размерах вещественного тела из мира сверхсветовых скоростей к нам (и наоборот!) физически не представляется возможной. Однако это ни в коей мере не означает, что для мира сверхсветовых скоростей категория протяженности якобы не существует.
Это станет понятным, если мы с вами мысленно соорудим космический корабль, называемый тахионом, на котором со сверхсветовой скоростью будем удаляться от Земли. При этом нам представится, что не мы удалаяемся от Земли, а Земля удаляется от нас со сверхсветовой скоростью. Тогда, по нашим тахионным представлениям, соответствующий релятивистский диаметр Земли станет мнимым числом, хотя на Земле нет никакого мнимого размера, а есть нормальные земные размеры: длина, ширина, высота, диаметр и т. д., доступные жителям Земли, но недоступные воображаемым пассажирам тахиона. По этой причине мы не в состоянии произвести практические измерения размеров тех физических тел, которые движутся относительно нас со скоростью, равной или большей, чем скорость света, хотя объективно, то есть независимо от нашего сознания, физическое тело может обладать конкретными размерами, даже если оно движется со сверхсветовой скоростью.