Всего за 94.9 руб. Купить полную версию
8. Средняя гармоническая, геометрическая, квадратическая, степенная
При решении задач расчет средней величины начинается с составления исходного отношения – логической словесной формулы средней. Она составляется на основе теоретического и логического анализа. Иногда среднюю арифметическую нельзя использовать. В этом случае в зависимости от ситуации применяется одна из трех форм средней.
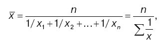
Средняя гармоническая простая строится по формуле:

где n - число единиц совокупности или число вариантов;
х - значения варьирующегося признака.
Средняя гармоническая простая используется для несгруппированных данных.
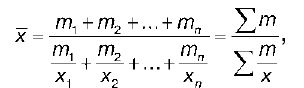
Средняя гармоническая взвешенная строится по формуле:

где х - значения варьирующего признака;
m - веса;
n - число единиц совокупности. Среднюю гармоническую взвешенную используют для сгруппированных данных, т. е. когда каждое значение х повторяется различное число раз.
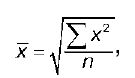
Средняя квадратическая простая строится по формуле:

где n - число единиц совокупности или число вариантов; х - значения варьирующегося признака.
Средняя квадратическая простая используется для несгруппированных данных.
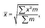
Средняя квадратическая взвешенная строится по формуле:

где m – веса;
х – значения варьирующего признака.
Среднюю квадратическую взвешенную используют для сгруппированных данных.
Данные формулы используются редко, в специальных расчетах.
Средняя геометрическая простая строится по формуле:

где n – число единиц совокупности или число вариантов;
х – значения варьирующегося признака. Средняя геометрическая простая используется для несгруппированных данных.
Средняя геометрическая взвешенная строится по формуле:

где х – значения варьирующего признака;
m – веса;
n – число единиц совокупности или число вариантов. Различные формулы средних величин можно объединить в одной формуле – формуле степенной средней:

где р – порядок средней.
9. Медиана и мода. Асимметрия распределения
Медианой М е называется варианта, которая делит ранжированный вариационный ряд на две равные части, из которых значение одной половины меньше медианы, а значения другой – больше медианы.
Медиана для несгруппированных данных при нечетном числе вариантов ( n = 2k+ 1 ), определяется как M e = x k + 1, а при четном числе вариантов (n = 2k ), медиана определяется по формуле:

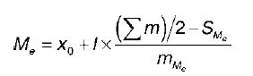
Медиана для сгруппированных данных рассчитывается по формуле:

где х 0 – это нижняя граница медианного интервала;
/– величина медианного интервала;
em / 2 – полусумма всех частот;
S Me – накопленная частота, предшествующая медианному интервалу;
m Ме – частота медианного интервала.
Медиана рассчитывают наряду со средней величиной или вместо нее, когда в ряду данных присутствуют открытые или неравные интервалы. Это не влияет на точность медианы, однако, влияет на точность величины.
Модой М 0 называется варианта, которая имеет наибольшую частоту по сравнению с другими частотами. В дискретно-вариационном ряду мода – это та варианта, которой соответствует наибольшая частота.
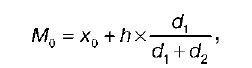
В интервальном вариационном ряду с равными интервалами моду определяют по формуле:

где х 0 – это нижняя граница модального интервала;
h – величина модального интервала;
d 1 – разность между частотами модального и предмодального интервалов;
d 2 – разность между частотами модального и послемодального интервалов.
Мода рассчитывается в тех случаях, когда невозможно или нецелесообразно рассчитывать среднюю величину по обычным формулам.
Асимметрией распределения называется несоразмерность, т. е. нарушение соответствия в расположении частей одного целого относительно средней линии или центра. На графике асимметрия распределения определяется как вытянутость одной из ветвей распределения. Асимметрия распределения возникает в связи с различной частотой появления вариант больших или меньших моды (т. к. мода соответствует вершине распределения) под влиянием преобладающего действия определенных факторов. Таким образом, наличие асимметрии говорит о неустойчивости распределения совокупности в связи с преобладающим воздействием какой-либо группы факторов.
Асимметрия распределения легко обнаруживается и измеряется на основе разницы между средней величиной и модой. В умеренно асимметричных распределениях мода и средняя образуют интервал, в пределах которого находится медиана. Если разделить этот интервал на 3, то медиана отстоит от моды на 2/3, а от средней – на 1/3.
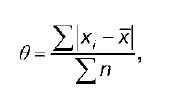
Для измерения асимметрии рядов распределения применяется эмпирический коэффициент асимметрии:

где x- – простая средняя;
М о– мода;
G – среднеквадратическое отклонение.
10. Абсолютные показатели вариации
К абсолютным показателям вариации относятся:
1) вариационный размах ( R );
2) среднее абсолютное (линейное) отклонение (в);
3) дисперсия ( G 2 );
4) среднеквадратическое отклонение ( G ).
Вариационный размах R - это разность между
наибольшей и наименьшей вариантами вариационного ряда:
R = хmax – хmin
Вариационный размах является наиболее простой характеристикой рассеяния вариационного ряда. Недостатки данного показателя:
1) неточно характеризует колеблемость, потому что зависит только от двух значений признака;
2) зависит от объема совокупности, т. е. с увеличением объема совокупности увеличивается вероятность размера вариационного размаха.
Среднее абсолютное отклонение в - это вели чина, которая рассчитывается как среднее арифметическое абсолютных отклонений в данной совокупности.
Различают простое и взвешенное среднее абсолютное отклонение.
Среднее абсолютное простое отклонение рассчитывается по формуле:

где – n– объем совокупности;
x – выборочное среднее.
Среднее абсолютное взвешенное отклонение рассчитывается по формуле:

где x – выборочное среднее;
m – веса.
Недостатки данного показателя:
1) оторванность от других показателей. Это объясняется тем, что при построении показателя используется искусственный подход, т. е. отклонение берется по модулю (положительное);
2) недостаточная реакция на слабые различия в степени вариации.
Дисперсия – это среднее арифметическое квадратов отклонения наблюдаемых значений признака от – их среднего значения x.
Если значения признака, полученные в результате выборочного наблюдения, не группировать и не представлять в виде вариационного ряда, то для вычисления дисперсии используют формулу: