Всего за 94.9 руб. Купить полную версию
4) относительная величина структуры – показывает состав явления, выраженный в форме доли или удельного веса. Доля (d) – это отношение части к целому, т. е. отношение составных частей совокупности к ее общему объему. Удельный вес – это доля, выраженная в процентах. Относительные величины структуры используются в статистике для характеристики структурных сдвигов;
5) относительная величина координации – показывает соотношение частей целого, т. е. отношение последовательно всех частей к одной из них, взятой за базу. За базу принимают наименьшее значение. Относительная величина координации показывает, сколько единиц данной части целого приходится на другую ее часть, принятую за базу сравнения;
6) относительная величина интенсивности – это отношение двух разноименных величин, связанных между собой. Характеризует степень развития какого-либо явления в определенной среде;
7) относительная величина сравнения – это отношение одноименных величин, характеризующих разные объекты изучения за один и тот же период. Показывает, во сколько раз числитель больше (меньше) знаменателя.
6. Сущность средних величин. Виды и формы средних величин. Варианты и частоты
Метод средних величин является одним из наиболее важных методов в статистике, потому что средние величины широко используются в анализе, на практике, при установлении закономерностей, тенденций, связей и для множества других целей. Суть средних величин состоит в том, что они одним числом характеризуют уровень исследуемого признака. Отличительной особенностью средних величин является то, что они представляют собой обобщающие показатели.
Средняя величина – это обобщающий показатель, выражающий типичный уровень (размер) варьирующего признака в расчете на единицу совокупности (качественно однородной).
Средняя величина отражает то общее, что скрывается в каждой единице совокупности. Она улавливает общие черты, общие закономерности, которые проявляются в силу закона больших чисел. Говоря о средних величинах, имеют в виду, что они характеризуют всю совокупность в целом, однако, наряду со средней необходимо приводить данные об отдельных единицах совокупности.
Задачи, решаемые с помощью метода средних величин:
1) характеристика уровня развития исследуемого явления;
2) сравнение двух или нескольких уровней исследуемых совокупностей;
3) характеристика изменения уровня явления во времени;
4) выявление и характеристика связей между исслеуемыми совокупностями.
П ринципы построения средних величин:
1) средние величины могут быть рассчитаны только лишь для качественно однородных совокупностей;
2) средние величины не должны быть абстрактными, т. е. только количественными показателями. Они должны давать качественно-количественную характеристику исследуемому явлению. Поэтому в статистике средняя величина представляет собой не абстрактное, отвлеченное число, а вполне конкретный показатель, относимый к какому-либо явлению, месту, времени;
3) выбор единицы совокупности, по отношению к которой рассчитывается средняя величина, должен быть теоретически обоснован.
Выделяются следующие основные виды средних величин: средняя арифметическая; средняя гармоническая; средняя квадратическая; средняя геометрическая.
Для правильного расчета средних величин необходимо ввести такие понятия, как варианты и частоты.
В результате сводки и группировки получают статистические ряды , т. е. ряды цифровых показателей. По своему содержанию такие ряды делятся на ряды распределения и ряды динамики .
Ряды распределения характеризуют распределение единиц совокупности по какому-либо одному признаку, разновидности которого упорядочены определенным образом. Различают два вида рядов распределения – атрибутивные и вариационные ряды.
Атрибутивные ряды образуются в результате группировки данных по качественным признакам (например, распределение населения по полу). В этих рядах столько групп, сколько вариантов качественного признака.
Вариационный ряд – это упорядоченный ряд значений варьирующего количественного признака и численности единиц, имеющих данное значение признака (например, распределение рабочих по заработной плате).
В вариационном ряду распределения выделяют следующие элементы:
1) варианты (х или х1, х2 … хn) – это ряд числовых значений количественного признака (например, стаж, заработная плата, возраст). Варианты могут быть как абсолютными, так и относительными величинами;
2) частоты (m: m1, m2 … mn) – это числа, показывающие, сколько раз повторяются соответствующие варианты (например, число рабочих). Частоты, как правило, обозначаются абсолютным числом; если по условию частоты выражены в виде процентов к итогу или долей, то их называют относительными частотами (или) частотами f:
f = m / Σ m .
7. Средняя арифметическая
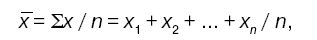
Основной средней величиной является средняя арифметическая. Выделяют простую и взвешенную среднюю арифметическую .
Базой для расчета простой средней арифметической являются первичные записи результатов наблюдения. Предположим, что известны значения признака x 1 x 2 , …, х п . Каждое из этих значений повторяется один раз (или теоретически одинаковое количество раз), т. е. данные не сгруппированы. Тогда для такого ряда следует использовать формулу средней арифметической простого ряда или простую среднюю арифметическую:
![]()
где х - значение варьирующегося признака;
n – число единиц совокупности.
Базой для расчета взвешенной средней арифметической является обработанный цифровой материал, т. е. сгруппированные данные. Для таких данных используется формула средней арифметической взвешенной:
![]()
где х - значение варьирующегося признака;
m – веса, т. е. частоты, показывающие, сколько раз повторяется каждое значение признака в данной совокупности.
Формула получена путем взвешивания значений каждой варианты и деления суммы вариант на сумму весов. Формулы простой и взвешенной средней арифметической не эквивалентны друг другу.
Свойства средней арифметической:
1) алгебраическая сумма отклонений всех вариантов от средней арифметической равна нулю:
x = Σxm /Σm => x Σm = Σxm =>Σ(х-х)m = 0.
Это свойство используется для проверки правильности расчетов;
2) сумма квадратов отклонений вариант от их средней арифметической больше суммы квадратов отклонений вариант от любого другого числа, не равного средней арифметической:

где x ≠ a ;
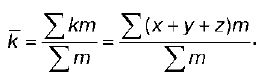
3) среднее алгебраическое суммы нескольких варьирующихся признаков равно сумме средних этих признаков:
k = x + y + z + …;
![]()

Это свойство позволяет определить сумму путем суммирования значений каких*либо признаков;
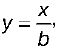
4) если все варианты ( х ) увеличить или уменьшить на какое-либо постоянное число (а), средняя (x) увеличится или уменьшится на то же самое число (y):
( х – а ) = у ;
x – a = y;

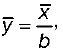
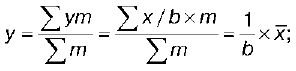
5) если все варианты (х) увеличить или уменьшить в одно и то же число раз (в), то средняя арифметическая увеличится или уменьшится в то же самое число раз:
если

,

то,
