30. Классический метод наименьших квадратов для модели множественной регрессии
Неизвестные параметры в0… вn линейной модели множественной регрессии определяются с помощью классического метода наименьших квадратов, или МНК.
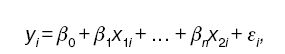
Общий вид линейной модели множественной регрессии:
y i= β0+ β1 x 1k+… + βn x ik+ εi,
где уi – значение /-ой результативной переменной, i = 1,n;
х 1i …х ki ,- значения факторных переменных, i = 1,n;
β0… βn – неизвестные параметры регрессионной модели;
εi – случайные ошибки модели множественной регрессии.
В соответствии с методом наименьших квадратов в качестве метода оценки неизвестных параметров регрессионной модели будет выступать сумма квадратов отклонений наблюдаемых значений результативного признака у от теоретических значений у (рассчитанных с помощью регрессионной модели):

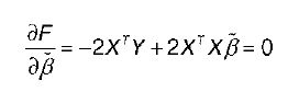
Для нахождения оптимальных значений неизвестных параметров β0… βn необходимо минимизировать функционал F по данным параметрам, т. е. необходимо рассчитать такой вектор оценки параметра β, который бы доставлял минимум функции, т. е. минимизировал бы сумму квадратов отклонений наблюдаемых значений результативной переменной у от теоретических значений y (значений, рассчитанных с помощью регрессионной модели).
Матричная форма функционала F метода наименьших квадратов:
![]()
где Y – вектор значений результативной переменной;
X - вектор значений факторной переменной.
Для определения минимума функционала (1) необходимо вычислить частные производные этой функции по каждому из оцениваемых параметров и приравнять их к нулю.
Общий вид стационарной системы уравнений для функции (1):

В результате решения системы нормальных уравнений получим следующие МНК-оценки неизвестных параметров регрессионной модели:
![]()
Предположим, что в ходе исследований была доказана линейная зависимость между результативной и двумя факторными переменными, выражающаяся равенством вида:

где i= 1,n.
31. Предмет, методы и задачи социально-экономической статистики
С помощью социально-экономической статистики исследуются количественные характеристики различных массовых социальных и экономических явлений и процессов общественной жизни с учетом их качественной стороны.
Цель социально-экономической статистики заключается в адекватном описании условий, процесса и результатов функционирования рыночной экономики, анализе тенденций и закономерностей развития общества с помощью системы взаимосвязанных количественных показателей.
Предметом социально-экономической статистики является качественно-количественная сторона жизнедеятельности общества.
Объектами изучения социально-экономической статистики являются :
1) потребители услуг, материальных и духовных ценностей, информации, представленные индивидами или групповыми объектами;
2) физические лица, организации, структуры, предоставляющие населению определенные услуги, либо организованный социальный процесс;
3) массовые экономические процессы и явления, а также экономическая система в целом.
В процессе сбора, обработки и анализа статистических материалов социально-экономическая статистика опирается на инструментарий общей теории статистики. Помимо этого, в социально-экономической статистике применяются различные методологии математической статистики.
В свою очередь, экономическая статистика базируется на основных тезисах экономической теории и тесно взаимосвязана с бухгалтерским учетом. Социальная статистика имеет в своей основе разработки в области различных общественных наук.
В социально-экономической статистике широко применяются следующие статистические методы :
1) графический и табличный методы представления данных;
2) метод классификаций и группировок;
3) метод расчета абсолютных и относительных показателей;
4) методы расчета средних величин;
5) методы расчета показателей вариации;
6) индексный метод;
7) методы расчета показателей рядов динамики;
8) методы факторного анализа;
9) метод корреляционно-регрессионного анализа.
К основным задачам социально-экономической статистики относятся :
1) системный анализ сложившейся ситуации в социальной и экономической сферах общества;
2) анализ важнейших тенденций и закономерностей развития отраслей социальной и экономической инфраструктуры;
3) изучение уровня жизни населения;
4) исследование влияния различных факторов на динамику социальных и экономических явлений;
5) изучение взаимосвязей социальных и экономических явлений между собой и с другими явлениями общественной жизни;
6) разработка новых и совершенствование действующих статистических показателей, обеспечение сопоставимости их с показателями других отраслей;
7) интегрирование исследований на макроуровне для определения первопричин различных социальных и экономических явлений;
8) расширение круга показателей и статистических мнений, использование при оценке общественного мнения приемов и методов социологии и психологии;
9) предоставление органам государственного управления информации, необходимой им для принятия решений по кругу вопросов, связанных с формированием социально-экономической политики, разработкой различных государственных программ и мер по их реализации;
10) обеспечение информацией о развитии экономики и социальной сферы руководителей предприятий и компаний, менеджеров, организаторов производства и бизнесменов;
11) информирование об основных итогах и тенденциях социально-экономического развития широкой общественности, научно-исследовательских учреждений, общественно-политических организаций и отдельных лиц.
32. Единая система классификации и кодирования информации (ЕСКК)
Системный подход к исследованию социально-экономической стороны жизнедеятельности общества, используемый социально-экономической статистикой, предполагает разработку системы показателей, которая охватывает основные сферы социальной и экономической деятельности данного общества.
В составе системы показателей социально-экономической статистики выделяют несколько разделов :
1) показатели статистики численности населения (демографической статистики) : показатели численности и состава населения, показатели таблиц смертности, методы исчисления перспективной численности населения;
2) показатели статистики рынка труда, производительности труда, оплаты труда и затрат на рабочую силу : показатели численности и состава занятых в экономике, показатели использования рабочего времени, показатели уровня и динамики производительности труда и др.;
3) показатели статистики национального богатства : показатели состава, движения и использования основных фондов, показатели инвестиционной деятельности и др.;
4) макроэкономические показатели производства товаров и услуг в системе национальных счетов : валовой выпуск, промежуточное потребление, добавочная стоимость, валовой внутренний продукт и др.;
5) показатели статистики рынка товаров и услуг : показатели объема, структуры и динамики товарооборота, показатели оборачиваемости товаров, показатели статистики поставок и реализации продукции, показатели запасов материальных ресурсов и др.;
6) показатели статистики издержек производства и обращения, результатов финансовой деятельности предприятий : показатели динамики и уровня динамики себестоимости продукции и издержек обращения, показатели прибыли и др.;
7) показатели статистики внешнеэкономических связей : объем экспорта, объем импорта, внешне торговый оборот, сальдо внешней торговли и др.;
8) показатели статистики уровня жизни населения и отраслей социальной сферы : валовой располагаемый доход и валовой скорректированный рас полагаемый доход домашних хозяйств, расходы на конечное потребление домашних хозяйств и др. При исследовании социально-экономических явлений и организации статистической информации важнейшими инструментами являются классификации, группировки и номенклатуры.
Классификация – это систематизированное распределение множества явлений и объектов на определенные подгруппы на основании их сходства или различия в соответствии с установленными методами.
Классификатор – это систематизированный перечень объектов (отраслей, предприятий и т. п.), каждому из которых присваивается код.
Номенклатура – это стандартный перечень объектов и их групп, в котором дополняются и детализируются классификаторы.