
Рис. 18 Игра в крестики и нолики монетами или фишками.
В древнем Китае, Греции и Риме был популярен самый простой вариант игры, когда играющие по очереди выставляют на доску фишки и делают это до тех пор, пока не выставят все шесть фишек. Если ни одному игроку не удается поставить три монеты в ряд и выиграть, то игра продолжается. Каждый из противников передвигает по очереди одну из своих фишек на соседнюю клетку.
Передвигать фишки можно только по вертикали и горизонтали.
Эта игра упоминается у Овидия в книге III "Искусства любви" в числе тех игр, которыми поэт советует овладеть женщине, если она хочет привлечь к себе внимание мужчин в обществе. Игра в крестики и нолики была известна в Англии еще в 1300 году под названием "Танец трех мужчин", от которого пошли "танцы" девяти, одиннадцати и двенадцати мужчин; в Америке последний вариант по сей день называется "мельница". Поскольку первый игрок, начиная с центра, наверняка выигрывает, то такое начало не сулит ничего интересного и обычно им не пользуются. Это ограничение при рациональной тактике приводит к ничьей, но обе стороны могут поставить противнику уйму потенциальных ловушек.
В одном из вариантов игры разрешается передвигаться на соседние клетки вдоль двух главных диагоналей. Дальнейшее видоизменение игры (приписываемое американским индейцам) допускает перемещение любой фишки на одну клетку в любом направлении (например, с клетки 2 можно передвинуться на клетку 4). В первом варианте тот, кто делает первый ход, может добиться победы, если начнет с центра, но второй вариант, по-видимому, всегда можно свести вничью. В игре без всяких ограничений, называемой во Франции "les pendus " ("повешенные"), фишку разрешается передвигать на любую свободную клетку. Эта игра при разумной тактике также заканчивается вничью.
Известно много разновидностей крестиков и ноликов, в которых игра ведется на доске размером 4 клетки на 4. У каждого игрока имеется по четыре фишки, и их нужно попытаться выстроить в один ряд. В шестидесятые годы появилась игра "тико" - разновидность крестиков и ноликов, для которой нужна доска размером пять клеток на пять. Каждый из игроков по очереди выставляет свои четыре фишки, а затем передвигает их на одну клетку в любом направлении. Выигрывает тот, кто сумеет либо поставить свои четыре фишки в ряд (по горизонтали, вертикали или диагонали), либо выстроит их в виде квадрата на четырех клетках с общей вершиной.
Играть в крестики и нолики можно и без фишек, от этого игра не становится менее увлекательной. Рассмотрим, например, игру в крестики и нолики "наоборот" - тоу-так-тик (это название предложил М. Шоделл). Играют в нее, как в обычные крестики и нолики, но тот, кто первым закончит ряд из трех знаков, не выигрывает, а проигрывает. В игре тоу-так-тик у второго игрока имеется бесспорное преимущество. Первый может закончить вничью, лишь заняв первым же ходом центр, а в дальнейшем повторив по симметрии все ходы противника.
В последние годы появилось несколько трехмерных игр типа крестиков и ноликов. В них играют на кубических досках, а выигрывает тот, кому удается занять подряд все клетки по горизонтали, вертикали или диагонали в любом сечении куба, параллельном его грани, или на четырех главных диагоналях куба. Если куб имеет размер 3 х 3 х 3, то первый игрок побеждает без труда. Интересно заметить, что эта игра никогда не может закончиться вничью, ибо у первого игрока имеется четырнадцать разных ходов. Сделать же все четырнадцать ходов, не заполнив при этом одного из рядов по вертикали, горизонтали или диагонали, просто невозможно. Гораздо интереснее играть на кубической доске размером 4x4x4. Здесь лишь при разумной тактике ничьей может не быть.
Предлагались и другие варианты игры на кубических досках.
Так, А. Барнерт придумал игру, в которой победителем считается тот, кто заполнит своими фишками клетки в любом сечении куба, параллельном одной из граней, или в шести главных диагональных плоскостях. П. Парке и Р. Саттен еще в 1941 году изобрели интересную игру на кубической доске размером 3x3x3 клетки, в которой выигрывает тот, кто сумеет занять два пересекающихся ряда. Клетку, стоящую на пересечении двух рядов, правила игры разрешают занимать в последнюю очередь. Поскольку занявший центральную клетку куба заведомо обеспечивает себе победу, этот ход разрешается лишь в двух случаях: а) если им достигается победа, то есть если все остальные клетки двух рядов, пересекающихся в центре куба, уже заняты фишками данного игрока; б) если, заняв эту клетку, играющий мешает своему противнику следующим ходом выиграть партию.
В четырехмерные крестики и нолики играют на воображаемой гиперкубической доске, поделив ее на двумерные квадраты. Например, гиперкуб 4x4x4x4 выглядит так, как показано на рис. 19.

Рис. 19 Четырехмерные крестики и нолики. Пунктиром показаны некоторые ходы, приводящие к выигрышу.
Выигрыш на такой доске означает, что вы сумели занять своими фишками четыре клетки, расположенные на одной прямой в любом кубе, который можно собрать из четырех последовательных квадратов, занимающих любую вертикаль, любую горизонталь или любую из главных диагоналей на рис. 19. Одно из "победных" расположений клеток изображено на рис. 20.

Рис. 20 Куб, составленный из четырех досок 4x4.
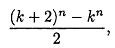
Игрок, делающий первый ход, по-видимому, всегда может рассчитывать на победу. Если играть на гиперкубической доске 5x5x5x5x5, то игру можно закончить вничью. Число выигрышных расположений фишек при игре на n-мерной гиперкубической доске можно подсчитать по формуле, выведенной Л. Мозером:
![]()
где n - размерность куба, а k - число, показывающее, сколько единиц укладывается в длине его ребра.
В старинной японской игре го-моку (пять камешков), и поныне не утратившей своей популярности на Востоке, используют обычную доску для игры в го (квадратная доска-19 клеток на 19).
Игроки по очереди ставят фишки на пересечение вертикальных и горизонтальных линий, разбивающих доску на квадраты, до тех пор пока у одного из них пять фишек не окажутся расположенными на одной вертикали, горизонтали или диагонали. Каждый игрок имеет право выставлять любое число фишек. Передвигать выставленные на доску фишки запрещается. Знатоки го-моку считают, что игрок, делающий первый ход, всегда может обеспечить себе выигрыш, но, насколько мне известно, доказательство этого утверждения нигде не публиковалось. В восьмидесятых годах прошлого века го-моку была распространена в Англии под названием го-банг.
Иногда в го-банг играют на обычной шахматной доске, причем каждый игрок имеет право выставить 12 или 15 фишек. Если, выставив весь запас фишек, никто из игроков не добился победы, фишки разрешается передвигать на одну клетку в любом направлении.
Были построены даже машины для игры в крестики и нолики.
Любопытно заметить, что первый робот для игры в крестики и нолики был изобретен (хотя и не был построен) еще в прошлом веке англичанином Ч. Баббеджем, одним из пионеров вычислительной техники. Баббедж намеревался выставить свою машину в Лондоне, чтобы собрать средства для проведения более важных работ, но, узнав о финансовом крахе, постигшем действовавшую в то время в Лондоне выставку "курьезных" машин (на которой среди прочих экспонатов демонстрировались "говорящая" машина и машина, сочинявшая оды на латыни), отказался от своих планов.
Выбор одного из двух одинаково выигрышных ходов робот Баббеджа производил на основе совершенно нового принципа: машина непрерывно подсчитывала число выигранных ею партий и, если ей приходилось выбирать между ходами А и В, узнавала четность текущего числа: при четном числе выигранных партий она выбирала ход А, при нечетном - ход В. Если выбор нужно было произвести из трех равных по силе ходов, робот Баббеджа делил число выигранных им партий на 3 и в зависимости от того, какой остаток получался при делении - 0, 1 или 2, - выбирал один из трех ходов.
"Очевидно, что таким способом можно производить выбор при любом числе условий, - писал Баббедж. - Любознательному наблюдателю… долго пришлось бы следить за игрой робота, прежде чем он понял бы принцип, на котором основано его действие".