
Сумма токов равна 0, что подтверждает первый закон Кирхгофа. Значение тока I01 округлено до пяти значащих цифр. Сумма, конечно, может несколько отличаться от 0 из-за округления. В обозначениях токов чаще применяется один нижний индекс, чем два. При использовании одного индекса мы должны указать направление тока на схеме, в противном случае появляется неоднозначность (!). Это так же важно, как и указание знака при напряжениях.
Что еще можно извлечь из выходного файла
Приведенный входной файл не позволяет нам получить из выходного файла исчерпывающую информацию. Неясно, например, каковы будут токи в отдельных ветвях. Изменим входной файл, включив в него дополнительно следующие команды:
.PRINT DC I(R1) I(R2) I(R3)
.PRINT DC I(R4) I(R5) I(R6)
.DC V 25V 25V 25V
.OPT nopage
Запись .OPT nopage является сокращенной записью команды .OPTion nopage. Сохраните новую версию входного файла и снова запустите моделирование. Результат приведен на рис. 1.5. Команда .PRINT использована, чтобы получить в выходном файле токи через различные резисторы.
**** 07/26/05 15:25:43 *********** Evaluation Pspice (Nov 1999) **************
Bridge Circuit for Use with Basic Circuit Laws
**** CIRCUIT DESCRIPTION
V 3 0 25V
R1 1 2 100
R2 1 0 75
R3 2 3 50
R4 4 0 60
R5 2 4 150
R6 1 4 200
.PRINT DC I(R1) I(R2) I(R3)
.PRINT DC I(R4) I(R5) I(R6)
.DC V 25V 25V 25V
.OPT nopage
.END
**** DC TRANSFER CURVES TEMPERATURE = 27.000 DEG С
V I(R1) I(R2) I(R3)
2.500E+01 -9.704E-02 8.885E-02 -1.726E-01
**** DC TRANSFER CURVES TEMPERATURE = 27.000 DEG С
V I(R4) I(R5) I(R6)
2.500E+01 8.379E-02 7.560E-02 8.184E-03
**** SMALL SIGNAL BIAS SOLUTION TEMPERATURE = 27.000 DEG С
NODE VOLTAGE NODE VOLTAGE NODE VOLTAGE NODE VOLTAGE
( 1) 6.6641 ( 2) 16.3680 ( 3) 25.0000 ( 4) 5.0273
VOLTAGE SOURCE CURRENTS
NAME CURRENT
V -1.726E-01
TOTAL POWER DISSIPATION 4.32E+00 WATTS
**** OPERATING POINT INFORMATION TEMPERATURE = 27.000 DEG С
JOB CONCLUDED
TOTAL JOB TIME .07
Рис. 1.5. Выходной файл при моделировании схемы на рис. 1.4
Направления токов
Некоторые токи в распечатке приведены как положительные, другие - как отрицательные. Например, запись I(R1)=-9,704Е-02 означает ток IR1=-97,04 мА. Описание резистора R1 во входном файле имеет вид:
R1 1 2 100
Поскольку PSpice дает для тока I(R1) отрицательный знак, реальное направление тока в схеме - от узла 2 к узлу 1 (условное направление принято обратным). Чтобы опять проверить первый закон Кирхгофа, подсчитаем сумму токов, подходящих к узлу 2. Запишем равенство в символьной форме, затем подставим значения.
С двумя источниками напряжения
На рис. 1.6 показана схема с двумя источниками напряжения. Хотя схема не слишком сложна, для нахождения токов и напряжений в ней требуется немало усилий. Мы предполагаем, что вы не будете применять метод контурных токов или узловых потенциалов, хотя в дальнейшем мы будем использовать и эти методы. Применим другую, во многом интуитивную методику, в которой определяются воздействия от каждого источника питания порознь. Для этого нужно рассчитать цепь а с источником V1 при неактивном (закороченном) источнике V2, а затем цепь b с активным источником V2 при неактивном источнике V1.

Рис. 1.6. Схема с двумя источниками напряжения
Нарисуйте исходную схему, а также схемы а и b. Найдите напряжения узла 2 в каждой из схем а и b. После этого проверьте полученные результаты, должно получиться V2(a)=6,75 В, V2(b)=5,06 В. Согласно принципу наложения (суперпозиции) действительное напряжение на узле 2 равно сумме этих двух значений, то есть 11,81 В.
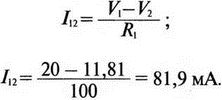
Можно найти ток источника V1 из выражения:

Принцип суперпозиции применяется в цепях, содержащих линейные резисторы и более одного источника питания, однако при трех и более источниках вычисления могут оказаться долгими и утомительными.
Вот здесь Spice и оказывается очень полезным, существенно облегчая вашу работу. Входной файл выглядит следующим образом:
Circuit with Two Voltage Circuit
V1 1 0 20V
V2 3 0 12V
R1 1 2 100
R2 2 3 80
R3 2 0 140
.OP
.OPT nopage .TF V(2) V1 .END
Результат на PSpice дает V(2)=11,807 В, в точном соответствии с расчетом методом наложения. Ток источника V1 дает в PSpice значение -8.193Е-2. Минус означает, что ток во внешней цепи идет от положительного полюса источника V1. Что означает приведенное в выходном файле входное сопротивление? Это сопротивление, которое "видит" источник V1 при замкнутом источнике V2. Оно образуется резистором в 80 Ом, подключенным параллельно резистору в 140 Ом, и подключением этой цепочки последовательно с резистором в 100 Ом, что дает входное сопротивление RBX=150,9 Ом.
А можете ли вы объяснить, что такое выходное сопротивление? Вспомним, что согласно команде .TF выходной переменной считается V(2).
Нарисуйте схему выходного сопротивления относительно узлов 2 и 0 при закороченных источниках питания. При этом получится цепочка из резисторов R1, R2, R3, включенных параллельно. Легко проверить, что сопротивление такой цепочки составляет 33,7 Ом, (что соответствует результатам на рис. 1.7).
**** 07/26/05 15:40:49 *********** Evaluation PSpice (Nov 1999) *************
Circuit with Two Voltage Circuit
**** CIRCUIT DESCRIPTION
V1 1 0 20V
V2 3 0 12V
R1 1 2 100
R2 2 3 80
R3 2 0 140
.OP
.OPT nopage
.TF V(2) V1
.END
**** SMALL SIGNAL BIAS SOLUTION TEMPERATURE = 27.000 DEG С
NODE VOLTAGE NODE VOLTAGE NODE VOLTAGE NODE VOLTAGE
( 1) 20.0000 ( 2) 11.8070 ( 3) 12.0000
VOLTAGE SOURCE CURRENTS
NAME CURRENT
V1 -8.193E-02
V2 -2.410E-03
TOTAL POWER DISSIPATION 1.67E+00 WATTS
**** OPERATING POINT INFORMATION TEMPERATURE = 27.000 DEG С
**** SMALL-SIGNAL CHARACTERISTICS
V(2)/V1 = 3.374E-01
INPUT RESISTANCE AT V1 = 1.509E+02
OUTPUT RESISTANCE AT V(2) = 3.374E+01
Рис. 1.7. Выходной файл при моделировании схемы на рис. 1.6