Всего за 94.9 руб. Купить полную версию
Тема 5. Формирование и управление инвестиционным портфелем
45. Понятие и цели формирования инвестиционного портфеля
Инвестиционный портфель представляет собой целенаправленно сформированную совокупность объектов реального и финансового инвестирования, предназначенных для осуществления инвестиционной деятельности в соответствии с разработанной инвестиционной стратегией предприятия. Исходя из этого основная цель формирования инвестиционного портфеля может быть сформулирована как обеспечение реализации разработанной инвестиционной политики путем подбора наиболее эффективных и надежных инвестиционных вложений. В зависимости от направленности избранной инвестиционной политики и особенностей осуществления инвестиционной деятельности определяется система специфических целей, в качестве которых могут выступать:
– максимизация роста капитала;
– максимизация роста дохода;
– минимизация инвестиционных рисков;
– обеспечение требуемой ликвидности инвестиционного портфеля.
Учет приоритетных целей при формировании инвестиционного портфеля лежит в основе определения соответствующих нормативных показателей, служащих критерием при отборе вложений для инвестиционного портфеля и его оценке. В зависимости от принятых приоритетов инвестор может установить в качестве такого критерия предельные значения прироста капитальной стоимости, дохода, уровня допустимых инвестиционных рисков, ликвидности. Вместе с тем в составе инвестиционного портфеля могут сочетаться объекты с различными инвестиционными качествами что позволяет получить, достаточный совокупный доход при консолидации риска по отдельным объектам вложений.
46. Типы инвестиционных портфелей
По видам инвестиционной деятельности различают:
– портфель реальных инвестиций;
– портфель финансовых инвестиций в ценные бумаги (портфельные инвестиции);
– портфель прочих финансовых инвестиций (банковские депозиты, депозитные сертификаты и пр.);
– портфель инвестиций в оборотные средства.
По целям инвестирования (инвестиционной стратегии) предприятия различают:
– портфель роста (формируется за счет объектов инвестирования, обеспечивающих достижение высоких темпов роста капитала, соответственно высок уровень риска);
– портфель дохода (формируется за счет объектов инвестирования, обеспечивающих высокие темпы роста дохода на вложенный капитал);
– консервативный портфель (формируется за счет малорисковых инвестиций, обеспечивающих соответственно более низкий темп роста дохода и капитала, чем портфель роста и дохода).
По степени достижения поставленных целей (инвестиционной стратегии) предприятия различают:
– сбалансированный портфель (полностью соответствует инвестиционной цели (стратегии) предприятия;
– несбалансированный портфель, не соответствующий инвестиционной цели (стратегии) предприятия.
47. Принципы формирования портфеля инвестиций
Инвестиционный портфель предприятия в общем случае формируется на основании следующих принципов:
– обеспечение реализации инвестиционной стратегии . Формирование инвестиционного портфеля должно соответствовать инвестиционной стратегии предприятия, обеспечивая преемственность долгосрочного и среднесрочного планирования инвестиционной деятельности предприятия;
– обеспечение соответствия портфеля инвестиционным ресурсам , т. е. перечень выбираемых объектов инвестиций должен ограничиваться возможностями обеспечения их ресурсами;
– оптимизация соотношения доходности и ликвидности, что означает соблюдение определенных инвестиционной стратегией предприятия пропорций между доходом и риском;
– оптимизация соотношения доходности и риска – это соблюдение определенных инвестиционной стратегией предприятия пропорций между доходом и ликвидностью;
– обеспечение управляемости портфелем – соответствие объектов инвестирования кадровому потенциалу и возможности осуществления оперативного реинвестирования средств.
48. Этапы формирования инвестиционного портфеля
Формирование инвестиционного портфеля осуществляется после того, как сформулированы цели инвестиционной политики, определены приоритетные цели формирования инвестиционного портфеля с учетом сложившихся условий инвестиционного климата и конъюнктуры рынков.
1. Отправной точкой формирования инвестиционного портфеля является взаимосвязанный анализ собственных возможностей инвестора и инвестиционной привлекательности внешней среды с целью определения приемлемого уровня риска в свете прибыльности и ликвидности баланса.
2. В результате проведенного анализа задаются основные характеристики инвестиционного портфеля (степень допустимого риска, размеры ожидаемого дохода, возможные отклонения от него и пр.), осуществляется оптимизация пропорций различных видов инвестиций в рамках всего инвестиционного портфеля с учетом объема и структуры инвестиционных ресурсов.
3. Важным этапом формирования-инвестиционного портфеля является выбор конкретных инвестиционных объектов для включения в инвестиционный портфель на основе оценки их инвестиционных качеств и формирования оптимального портфеля.
49. Факторы, учитываемые при формировании инвестиционного портфеля
Факторы, позволяющие произвести предварительный отбор инвестиционных проектов:
– приоритеты в политике реализации структурной перестройки экономики региона;
– состояние отраслевой среды, характеризующееся стадией цикла, в которой находится отрасль, структура и конкурентоспособность отрасли, законодательство и нормативная база;
– соответствие инвестиционного проекта стратегии деятельности компании;
– степень разработанности инвестиционного проекта;
– концентрация средств на ограниченном числе объектов;
– сравнительно быстрые сроки окупаемости вложений;
– наличие производственной базы и инфраструктуры для реализации инвестиционного проекта;
– объем инвестиций, требующихся для реализации проекта;
– форма инвестирования;
– структура источников финансирования инвестиционного проекта, доля собственных и привлеченных средств в реализации проекта.
Факторы, определяющие формирование фондового портфеля:
– приоритеты целей инвестирования, реализация которых обусловливает выбор конкретного типа инвестиционного портфеля;
– степень диверсификации инвестиционного портфеля;
– необходимость обеспечения требуемой ликвидности портфеля;
– уровень и динамику процентной ставки;
– уровень налогообложения доходов по различным финансовым инструментам.
50. Оценка инвестиционного портфеля по критерию риска
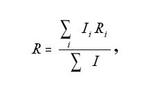
Оценка инвестиционного портфеля по критерию риска производится с учетом коэффициентов риска и объемов вложений в соответствующие виды инвестиций. Вначале по каждому виду инвестиций рассчитываются конкретные значения показателей риска. Совокупный риск инвестиционного портфеля предприятия определяется как соотношение сумм инвестиций по различным направлениям, взвешенным с учетом риска, и общей суммы инвестиций по формуле:

где R – совокупный риск;
Ii, – инвестиционные вложения по i-му направлению;
Ri – показатель риска по i-му направлению;
I – общий объем инвестиций.
Данная формула используется в случае, когда динамика доходности различных инвестиций в портфеле инвестиций предприятия взаимонезависима или малозависима. При подборе альтернативных инвестиций, находящихся в обратной корреляционной зависимости, совокупный риск портфеля может быть уменьшен.
Совокупный риск инвестиционного портфеля в существенной мере зависит от уровня риска портфеля ценных бумаг, поскольку последний в отличие от портфеля реальных инвестиционных проектов характеризуется повышенным риском, распространяющимся не только на доход, но и на весь инвестированный капитал. При росте количества разнообразных ценных бумаг в портфеле уровень риска портфеля ценных бумаг может быть уменьшен, но не ниже уровня систематического риска. Данное положение справедливо для случая независимости ценных бумаг в портфеле; если ценные бумаги в портфеле взаимозависимы, то возможны два варианта. В случае прямой корреляционной зависимости при увеличении количества ценных бумаг в портфеле уровень риска не изменяется, так как доходность всех ценных бумаг падает или растет с одинаковой вероятностью. В случае обратной корреляционной зависимости наименее рискованный портфель ценных бумаг может быть сформирован при определении в нем оптимальных долей ценных бумаг разного типа.
При оценке инвестиционного портфеля банков с точки зрения ликвидности и процентного риска можно использовать показатель уровня риска, предложенный в предшествующем разделе, который рассчитывается как соотношение между инвестиционными активами и источниками финансирования, взвешенными по объемам и срокам