
Баланс банка В будет выглядеть следующим образом:

Так этот процесс продолжается и распространяется по всей системе. Если коэффициент резервирования c = 0,1, а k = 0, то система, как нам известно, может создать из ничего денежных единиц в форме банкнот, не обеспеченных деньгами (золотом или иным видом товарных денег), в объеме 9 000 000 д.е.:
[41] 
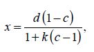
Тот же результат был бы получен для случая монополистического банка, пользующегося доверием и ведущего дела со всеми при коэффициенте резервирования c = 0,1 и k = 1. В этом случае кредитная экспансия x будет равна:
[42] 
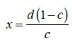
что при k = 1 превращается в равенство

(банкнот, произведенных из ничего).
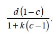
Если предположить, что все банки выпускают банкноты одновременно и получают одну и ту же долю новых начальных денежных единиц, то для поддержания своих резервов наличности в неприкосновенности отдельный банк сможет произвести банкнот на сумму

Это та же формула, которую мы применяли для депозитов. Будут сделаны следующие проводки:

Мы могли бы воспроизвести все бухгалтерские записи для более общего случая, когда k > 0 (в нашем предыдущем примере k = 0,2). Если c = 0,1, то для каждых 1 000 000 д.е., полученных банком, он сможет создать из ничего новых банкнот на сумму
[43] 
То есть банк будет способен создать 1 097 560 д.е. в форме необеспеченных банкнот. Мы могли бы повторять один за другим результаты, полученные нами для банковских депозитов, из чего следует, что между выпуском необеспеченных банкнот и расширением из ничего банковского кредита, обеспеченного кредитами, созданными из ничего, нет разницы. Единственное существенное различие коренится в правовой природе этих процессов, так как, согласно всеобщим принципам права, выпуск необеспеченных банкнот подразумевает фальшивомонетничество и мошенничество, а договор денежного банковского депозита – всего лишь присвоение.
Тем не менее существуют некоторые различия в способах выполнения этих действий. Банкноты принимают форму обязательства на предъявителя, и каждая из них имеет определенный номинал, что позволяет передавать банкноты от одного человека к другому без необходимости для банка отражать это в своих бухгалтерских регистрах (снижая операционные издержки банка). В отличие от этого преимущество депозитов в том, что клиенты могут написать на чеке любую нужную им сумму без необходимости передавать число банкнот, соответствующее этой сумме. Неудобство же состоит в том, что банкир должен сопровождать проводимые сделки и записывать их в своих регистрах.
И все же, отвлекаясь от юридических и формальных различий, с экономической точки зрения две эти операции в сущности тождественны и вызывают одни и те же последствия. Однако ниже мы увидим, что в начале развития теории денег ученые признавали безнравственность только в отношении создания необеспеченных банкнот и причиняемый ими тяжкий ущерб. Изначально они не осознавали и не реагировали на тот факт, что расширенное создание кредитов, обеспеченных депозитами, созданными из ничего, имеет те же самые последствия. Это объясняет, почему Закон Пиля от 19 июня 1844 г., заложивший основы современных банковских систем, запретил эмиссию необеспеченных банкнот, но все же потерпел провал, не достигнув своих целей – кредитно-финансовой устойчивости и полной ясности и защиты прав собственности граждан в сфере банковского дела. Причиной неудачи стала неспособность законодателей осознать, что банковские депозиты с частичным резервированием имеют такую же природу и экономические последствия, что и необеспеченные банкноты. В итоге закон не запретил банковского дела с частичным резервированием и позволил продолжить вековую практику "эмиссии" необеспеченных (вторичных) депозитов. В действительности, вторичные депозиты предшествовали фидуциарной эмиссии банкнот, но по причине того, что природа депозитов оказалась более сложной для понимания, был запрещен лишь выпуск необеспеченных банкнот. Договор денежного банковского депозита с частичным резервированием сегодня все еще законен, даже при том что он имеет ту же самую экономическую природу и вызывает те же самые вредные последствия, что и эмиссия необеспеченных банкнот, запрещенная в 1844 г. Законом Пиля.
8 Процесс сжатия кредита
Одна из центральных проблем, которые ставит процесс кредитной экспансии и создания депозитов из ничего, и, таким образом, договора банковского депозита, подразумевающего частичное резервирование, состоит в том, что, поскольку в реальной экономике этот процесс неизбежно развязывает силы, действующие противоположно воздействию кредитной экспансии, он также высвобождает силы, приводящие к параллельному процессу ужесточения, или сжатия, кредита. Ceteris paribus любое из нижеперечисленных событий свидетельствует о том, что этот процесс был запущен: а) уменьшение первичных вкладов; б) усиление желания публики держать деньги вне банковской системы (рост показателя f); в) демонстрация банками большего "благоразумия", проявляющегося в резком повышении коэффициента резервирования с, чтобы иметь возможность выполнить свои обязательства при росте среднего числа запросов на изъятие вкладов; г) внезапный рост погашения кредитов, не компенсируемый ростом выдачи кредитов; д) рост числа заемщиков, неспособных вернуть кредит, т. е. увеличение количества дефолтов.
Во-первых, понятно, что если из первичного банковского вклада (скажем, из нашего примера в 1 000 000 д.е.) изымается некоторая сумма, то все созданные кредиты и депозиты, упомянутые в предыдущих примерах, исчезнут в ходе цепной реакции, которая закончится меньшим объемом кредитов и депозитов. Если предположить, что c = 0,1 и k = f = 0, то уменьшение кредитов и депозитов составит 9 000 000 д.е., что подразумевает существенное сокращение денежной массы, которая упадет до /10 предшествующего объема. Итог – резкая дефляция, или уменьшение количества денег в обращении, ведущая к снижению цен на товары и услуги, что в краткосрочной и среднесрочной перспективе еще более усугубляет спад, спровоцированный всеми процессами, сопутствующими кредитной экспансии.
Во-вторых, желание публики держать деньги за пределами банковской системы вызывает те же эффекты. Это стимулирует увеличение f и снижение способности банков расширять кредит, что, в свою очередь, вызывает спад и денежное сжатие.
В-третьих, решение банков быть более "благоразумными" и увеличить коэффициент резервирования также ведет к сжатию.
В-четвертых, выплата кредитов также вызывает дефляционные эффекты, когда новые кредиты не предоставляются в объеме, достаточном по крайней мере для того, чтобы заместить выплаченные. Рассмотрим эту возможность подробнее. Начнем с того, что представим банк, у которого c = 0,1, k = 0 и f = 0, – банк, чьи заемщики выплатили взятые кредиты. Бухгалтерские проводки и баланс при предоставлении кредитов были следующими.


В предыдущих примерах мы видели создание через банковскую систему новых кредитов и депозитов на сумму 9 000 000 д.е. В случае когда заемщики возвращают кредиты, последние две бухгалтерские записи гасятся следующим образом:

Теперь баланс банка А выглядит так: