Всего за 69.9 руб. Купить полную версию
3. Оценка возврата инвестируемого капитала должна осуществляться на основе показателя чистого денежного потока. Выбор данного показателя объясняется тем, что он формируется в основном за счет сумм чистой прибыли и амортизационных отчислений в ходе эксплуатации инвестиционного проекта. Различные виды оценки могут быть реализованы на основании среднегодового или дифференцированного по отдельным периодам эксплуатации инвестиционного проекта этого показателя.
4. Суммы инвестиционных затрат и чистого денежного потока должны быть приведены к настоящей стоимости. Иногда кажется, что инвестиционные расходы по отношению к чистому денежному потоку всегда выражены в настоящей стоимости. Однако на практике обнаруживается, что это совсем не так. Процесс реализации инвестиционного проекта часто осуществляется не единовременно, а проходит ряд этапов. Поэтому, за исключением первого этапа реализации проекта, все последующие суммы инвестиционных расходов должны пересчитываться относительно настоящей стоимости. Сумма чистого денежного потока также должна пересчитываться к текущему моменту.
5. Выбор дисконтной ставки в процессе приведения отдельных показателей к настоящей стоимости необходимо дифференцировать для различных инвестиционных проектов. Такая дифференциация должна учитывать уровень риска, ликвидности и другие индивидуальные характеристики реального проекта инвестирования.
На основании вышеизложенных принципов разработаны методы оценки эффективности реальных инвестиционных проектов. Однако на практике сформировалось несколько основных методов оценки, общей чертой которых является учет ими вышеперечисленных принципов оценки.
37. Временная стоимость денег
Инвестиционная деятельность предприятия должна быть эффективной. Мониторинг эффективности инвестиций позволяет своевременно принимать оперативные решения для повышения эффективности осуществляемых финансовых и реальных инвестиций. Основным инструментом оценки инвестиционных проектов является оценка их эффективности. Существует множество методов оценки эффективности проектов. Однако часть из них (методы дисконтирования) строится на общих принципах. Данные общие принципы выработаны в рамках финансового менеджмента. С развитием инвестиционной деятельности в России в период рыночных преобразований инструменты, получившие признание за границей, становятся все более популярными на отечественных предприятиях. Заметной тенденцией стало формирование на крупных интеграционных формированиях специальных служб риск-менеджмента. Внедрение передовых финансовых инструментов также происходит особенно интенсивно в крупных фирмах. Одним из таких инструментов является оценка временной стоимости денег.
Концепция временной стоимости денег является базовой в финансовом менеджменте. В ее основе лежит представление о том, что простейшим видом финансовой сделки является однократное предоставление в долг денежной суммы (PV) с условием, что через какое-то время t будет возвращена возросшая сумма (FV), т. е. в результате инвестиций денежная сумма увеличивается, иначе финансовый смысл этой операции для инвестора исчезает. Сегодняшний рубль стоит больше, чем завтрашний, поскольку сегодня этот рубль можно инвестировать, и он немедленно начнет приносить доход в виде процента. Это увеличение денежной суммы можно рассчитать двумя способами:

или,

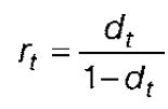
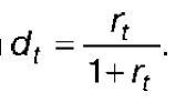
где г г – темп прироста (ставка процента или доходность);
d z – темп снижения (дисконт).
Обе ставки взаимосвязаны друг с другом:

или

Процесс наращения – процесс, в котором заданы исходная сумма и процентная ставка. Результативная величина данного процесса называется наращенной суммой, а используемая в операции ставка – это ставка наращения.
Процесс дисконтирования – процесс, в котором заданы ожидаемая в будущем к получению (возвращаемая) сумма и ставка. Искомая величина процесса – приведенная сумма , а используемая в операции ставка – ставка дисконтирования .
Экономический смысл финансовой операции, отраженный в формулах, состоит в определении величины той суммы, которой будет располагать инвестор по окончании этой операции. Так как FV = РV + РV × r t, РV × r t > 0, то, очевидно, что время генерирует деньги. Величина I, равная разности FV – PV, называется процентом. Он представляет собой размер дохода от предоставления в долг денежной суммы. Величина FV показывает как бы будущую стоимость сегодняшней величины PV при данном уровне доходности. Поскольку деньги характеризуются временной стоимостью, вывод о целесообразности или нецелесообразности финансовых вложений можно сделать, оценив будущие поступления с позиций текущего момента. Базовая расчетная формула при этом выглядит так:

где F n – доход, планируемый к получению в году n ;
r – ставка дисконтирования;
FM 2 ( r, n ) – дисконтирующий множитель для единичного платежа. Множитель FM2 (r, n) табулирован и его легко можно рассчитать при помощи финансового калькулятора. Он показывает сегодняшнюю цену одной денежной единицы будущего.
Экономический смысл дисконтирования заключается во временном упорядочении денежных потоков различных временных периодов. Одна из интерпретаций ставки, используемой для дисконтирования, такова: ставка показывает, какой ежегодный процент возврата хочет (или может) иметь инвестор на инвестируемый им капитал.
38. Критерии эффективности инвестиционных проектов
Инвестиционные проекты отражают инвестиционную деятельность предприятия. Ограниченность инвестиционных ресурсов и требование их целевого использования делают необходимым проведение оценки инвестиционных проектов. Формирование инвестиционной программы осуществляется для реальных инвестиций. Для финансовых вложений используется понятие инвестиционного портфеля. Соотношение реального и финансового инвестирования в хозяйственной деятельности может быть различным у каждого предприятия. В связи с этим проведение оценки эффективности инвестиционных проектов является необходимостью рыночного хозяйствования. Для того чтобы ее провести, следует заранее определиться с критериями оценки. Критериями оценки могут выступать доходность, уровень риска, ликвидность проекта, противоинфляционная защита, срок реализации проекта и т. д. В каждом случае будет использоваться своя методика оценки. Общим подходом в данном случае станет использование общепринятых критериев эффективности инвестиционных проектов. Критерии эффективности инвестиционных проектов характеризуют основные методы оценки проектов.
Методы оценки инвестиционных проектов делятся на два больших класса: простые методы и методы дисконтирования.
1. Простые (статистические) методы позволяют достаточно быстро и на основании простых расчетов произвести оценку экономической эффективности. В качестве показателей, рассчитываемых простыми методами, используются: удельные капитальные вложения на создание единицы производственной мощности или на единицу выпуска продукции; простая норма прибыли проекта (в процентах) – отношение чистой прибыли к общему объему инвестиций или к инвестируемому акционерному капиталу; простой срок окупаемости или период возврата инвестиций, рассчитываемый как отношение общего объема инвестиций к сумме чистой прибыли и амортизационных отчислений. Данные показатели не учитывают неравномерности одинаковых сумм поступлений или платежей, относящихся к разным периодам времени, что приводит к необходимости использования более сложных критериев.
2. Методы дисконтирования. Нормативным документом, закрепляющим рыночные принципы оценки эффективности инвестиций в нашей стране, являются "Методические рекомендации по оценке эффективности инвестиционных проектов" (первое издание было опубликовано в 1994 г., второе издание, переработанное и дополненное, – в 2000 г.). Используемая в рыночной экономике оценка эффективности инвестиций основывается на ряде принципов: расчеты опираются на показатели денежного потока от производственной и инвестиционной деятельности; обязательно приведение показателей к текущей (дисконтированной) стоимости.
Дисконтированием денежных потоков называется приведение разновременных (относящихся к разным расчетам) значений к их ценности на определенный момент времени, который называется моментом приведения. Основным экономическим нормативом, используемым при дисконтировании, является норма дисконта (Е), выражаемая в долях единицы или процентах. Технически приведение к нулевому моменту времени производится путем умножения величины показателя на коэффициент дисконтирования (коэффициент текущей стоимости) аt, определяемый для постоянной нормы дисконта по формуле: