
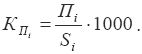
Данный коэффициент показывает число прибывших в i-ую группу населения в среднем на 1000 человек населения этой группы.
Коэффициент приживаемости определяется по формуле:

Вопрос 13. Статистика браков и разводов
Одними из основных факторов, влияющих на процесс воспроизводства населения, являются браки и разводы.
Браком называется такая форма отношений между мужчинами и женщинами, которая определяет права и обязанности по отношению друг к другу и к детям.
Разводом называется прекращение брака при жизни супругов.
Брачностью называется процесс образования брачных или супружеских пар населения. Этот процесс включает вступление в первый и повторный браки.
Разводимостью называется процесс распада супружеских пар в поколении вследствие расторжения брака.
Брачное состояние – это положение лица по отношению к институту брака, определяемое в соответствии с законодательными нормами государства. Выделяют следующие категории брачного состояния:
1) лица, состоящие в браке;
2) лица, никогда не состоявшие в браке;
3) вдовые;
4) разведенные (при наличии документа о разводе);
5) разошедшиеся (документа о разводе нет или документы находятся в стадии оформления).
При браке, разводе, овдовении происходит переход лица из одной категории брачного состояния в другую. Совокупность таких переходов представляет собой процесс воспроизводства брачной структуры населения.
К показателям брачного состояния относятся:
1) абсолютное число лиц любого брачного состояния;
2) удельный вес лиц любого брачного состояния в общей численности лиц исследуемой группы;
3) коэффициент брачного состояния:

4) коэффициент брачной ситуации:

К показателям брачности относятся:
1) абсолютное число браков Б;
2) средний возраст вступления в первый брак;
3) доля ранних браков (в возрасте 15–19 лет) в общем числе зарегистрированных браков;
4) доля поздних браков (после 50 лет) в общем числе зарегистрированных браков;
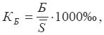
5) общий коэффициент брачности, характеризующий количество браков в среднем на тысячу человек:

где Б – число зарегистрированных браков;
?S – среднегодовая численность населения.
Данный показатель зависит от возрастной структуры населения, брачного состояния и других факторов;
6) специальный коэффициент брачности:

где ?S15(16) и старше – средняя численность бракоспособных лиц;
7) чистый специальный коэффициент брачности:

где ?SХВР15(16) и старше – средняя численность холостых, вдовых, разведенных лиц бракоспособного возраста.
К показателям разводимости относятся:
1) абсолютное число разводов R;
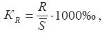
2) общий коэффициент разводимости, характеризующий количество разводов в среднем на каждую тысячу человек:

где R – число зарегистрированных разводов;
?S – средняя годовая численность населения.
Данный показатель зависит от влияния возрастного состава населения;
3) специальный коэффициент разводимости:

где ?S15(16) и старше – средняя численность бракоспособных лиц;
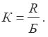
4) коэффициент неустойчивости браков:

Вопрос 14. Методы демографического прогнозирования
К методам демографического прогнозирования относятся:
1) методы экстраполяции;
2) метод передвижки возрастов;
3) методы статистического моделирования.
Применение методов экстраполяции для оценки будущей численности населения основано на предположении, что выявленные тенденции рождаемости, смертности, миграции будет неизменными на протяжении прогнозируемого периода времени.
Наиболее приближенные оценки будущей численности населения с помощью метода экстраполяции можно получить посредством обобщающих показателей динамики:
1) экстраполяция на основе показателя среднего абсолютного прироста:

где ?? – показатель среднего абсолютного прироста населения;
St – прогнозируемая численность населения в году t;
S0 – численность населения на начало прогнозируемого периода;
t – период прогноза;
2) экстраполяция на основе показателя среднего темпа роста:

где ?xt – показатель среднего абсолютного прироста;
3) экстраполяция на основе показателя среднего темпа прироста:

где ?xпр– показатель среднего темпа прироста.
Методом передвижки возрастов называется способ расчета на перспективу половозрастной структуры населения. Он основан на использовании данных о возрастном составе населения и коэффициентов дожития из таблиц смертности.
Суть метода передвижки возрастов состоит в том, что численность населения возрастной группы x на момент времени t рассчитывается как произведение численности населения возрастной группы (x-[1]) на момент времени (t-1) и коэффициента дожития для данной возрастной группы, показывающего, какая часть лиц в возрасте (x-1) доживет до возраста x лет:

Если известен возрастной состав населения на определенную дату, то можно рассчитать предполагаемую численность населения в каждом возрасте через год, два и т. д. (без учета миграции).
Для определения возможного числа рождений используются данные о возрастном составе женщин 15–49 лет и специальные коэффициенты рождаемости:

где КР.спец.x – специальный коэффициент рождаемости для женщин в возрасте х лет;
?Sxt – средняя численность женщин в возрасте х лет.
Суть методов статистического моделирования состоит в применении для демографического прогнозирования моделей регрессии, характеризующих зависимость демографических явлений от выбранных факторов.
В отдельную группу выделяются методы математического моделирования, которые предполагают использование моделей, основанных на применении математических функций (например, экспоненциальной кривой, параболы и т. д.).
Если известна численность населения на начало какого-то периода, то перспективную численность населения через t лет можно определить на основе экспоненциального закона роста населения по формуле:

где

(Р-У) – естественный прирост населения;
(П-В) – механический прирост населения;
?S – среднегодовая численность населения;
t – период прогноза.