
где d – доля женщин репродуктивного возраста в общей численности населения.
3) коэффициент брачной рождаемости:

где – среднегодовая численность женщин репродуктивного возраста, состоящих в браке;
4) коэффициент внебрачной рождаемости:

где – среднегодовая численность женщин репродуктивного возраста, не состоящих в браке.
Показатели брачной и внебрачной рождаемости характеризуют уровень рождаемости у замужних и незамужних женщин репродуктивного возраста.
К относительным показателям смертности относятся:
1) общий коэффициент смертности:

где У – число умерших;
?S – среднегодовая численность населения.
Этот показатель характеризует число умерших в среднем на каждую тысячу человек населения. Однако он дает приближенное представление об уровне рождаемости, потому что зависит от половозрастной и брачной структуры населения;
2) повозрастные коэффициенты смертности:

где Угр – число умерших изучаемой возрастной группы;
?Sгр– среднегодовая численность населения данной возрастной группы.
Эти показатели характеризую уровень смертности для половых, социальных, профессиональных и иных групп населения.
3) коэффициент младенческой смертности:

где У11– число умерших в возрасте до года из числа родившихся в данном году;
Р1 – число родившихся в данном году;
У10– число умерших до года в данном году из числа родившихся в предыдущем году;
Р0 – число родившихся в предыдущем году.
Коэффициент естественного прироста населения характеризует, на сколько увеличилась или уменьшилась численность населения за счет демографических факторов в расчете на тысячу человек:

Вопрос 11. Таблицы смертности
Таблицей смертности называется упорядоченный ряд взаимосвязанных величин, характеризующий уменьшение с возрастом вследствие смерти некоторой совокупности родившихся. С помощью таблиц смертности характеризуется изменение численности условного поколения (совокупности родившихся в одном году 100 тысяч человек) при переходе от возраста к возрасту вследствие смертности.
Выделяют следующие виды таблиц смертности:
1) по охвату возрастных групп:
а) полные (по однолетним возрастам от 0 до 100 лет включительно);
б) краткие (для укрупненных возрастных групп);
2) таблицы смертности отдельно для мужчин и женщин;
3) таблицы смертности для страны в целом, краев, областей, крупных городов, для городского, сельского населения;
4) таблицы смертности для отдельных социальных групп;
5) таблицы смертности для отдельных этнических групп;
6) таблицы смертности, построенные условным, прямым или косвенным методом;
7) таблицы смертности реального или гипотетического поколения.
В таблице смертности для каждого возраста x (x = 0 ? 100) содержатся показатели:
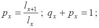
1) lx – число доживающих до возраста x лет, определяется по данным переписи;
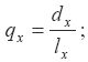
2) dx – число умирающих в возрасте x лет, определяют по данным текущей статистики;
3) qx – вероятность умереть в течение предстоящего года жизни для лиц, достигших возраста x лет:

4) px – вероятность дожить до следующего возраста лиц, достигших возраста x лет:

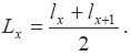
5) Lx – среднее число живущих в возрасте x лет:

Данный показатель рассчитывается для всех возрастов, кроме первого (0 лет);
6) Tx – число предстоящих человеко-лет жизни:

Этот показатель характеризует общее число человеко-лет, которые предстоит прожить совокупности лиц от возраста x лет и до предельного возраста;
7) ex0 – средняя продолжительность предстоящей жизни (число лет, которое предстоит прожить лицам, достигшим возраста x лет):

ex0 устанавливает число лет, которое предстоит прожить в среднем одному человеку из числа данного поколения родившихся или доживших до определенного возраста при условии, что на протяжении последующей жизни этого поколения повозрастная смертность будет неизменной.
Также среднюю продолжительность предстоящей жизни можно рассчитать по следующей формуле:

8) коэффициент дожития или коэффициент передвижки:

Вопрос 12. Статистика миграции населения
Миграцией называется перемещение людей (мигрантов) через границы территории с переменой места жительства навсегда или на длительный период времени. За счет миграции происходит изменение численности населения. Это изменение называется механическим движением населения.
Миграционный поток – это общее число мигрантов, имеющих общие районы прибытия и выбытия в течение данного отрезка времени. Миграционный поток является одним из показателей направления миграции. Выделяют прямые и обратные миграционные потоки.
Миграция классифицируется по ряду признаков:
1) по направлениям потоков:
а) внешняя миграция – выезд за границу (эмиграция) или въезд из-за границы (иммиграция);
в) внутренняя миграция – внутриобластная, межобластная миграции, миграция сельского и городского населения;
2) по времени перемещения:
а) безвозвратная;
б) временная (2-3 года);
в) сезонная;
г) миграция в курортные зоны;
3) по причинам:
а) экономическая;
б) политическая;
в) военная.
Количественно миграция характеризуется с помощью абсолютных и относительных показателей.
К абсолютным показателям миграции относятся:
1) численность прибывших в населенный пункт П;
2) численность выбывших из населенного пункта В;
3) абсолютный миграционный (механический) прирост (П-В).
Анализ абсолютного числа прибывших и выбывших осуществляется в нескольких направлениях:
1) определяется роль миграции в формировании населения страны и регионов;
2) после выделения отдельных типических групп для каждой из них дается общая характеристика миграционных процессов, рассчитываются показатели объемов и направления миграционных потоков;
3) исследуются сезонные колебания численности миграции;
4) проводится анализ структурных сдвигов мигрантов по различным признакам.
К относительным показателям миграции относятся:
1) коэффициент прибытия:

где П – число прибывших на данную территорию;
?S – среднегодовая численность населения данной территории.
2) коэффициент выбытия:

где В – число выбывших с данной территории;
3) коэффициент миграционного (механического) прироста:

где (П-В) – абсолютный миграционный прирост на изучаемой территории;
4) коэффициент эффективности миграции, характеризующий долю чистой миграции в валовой миграции:

где П – численность прибывших в населенный пункт;
В – численность выбывших из населенного пункта;
(П-В) – абсолютный миграционный прирост на изучаемой территории;
?S – среднегодовая численность населения данной территории.
Частные коэффициенты миграции характеризуют интенсивность миграции отдельных групп населения (по полу, возрасту и другим признакам). Например, коэффициент миграции i-ой группы населения рассчитывается по формуле: