Тамара Мельникова - Финансовый менеджмент стр 2.

Книгу можно купить на ЛитРес.
Всего за 160 руб. Купить полную версию
Шрифт
Фон

Идеальный рынок капитала это рынок, на котором не существует никаких затруднений, вследствие чего обмен ценных бумаг и денег совершается легко и не сопряжен с какими-либо затратами.

Идеальный рынок капитала предполагает следующее:

отсутствуют трансакционные затраты (расходы на взаимодействие с такими институтами как страховые компании и фондовые биржи, расходы на заключение и исполнение, юридической защиты контрактов, издержки сбора и обработки информации, проведения переговоров и принятия решений);

отсутствуют налоги;

имеется большое количество покупателей и продавцов, и ни один из них не может повлиять на рыночную цену финансовых активов;

существует равный доступ на рынок для всех инвесторов;

все субъекты рынка имеют одинаковый объем информации;

все субъекты рынка имеют одинаковые ожидания. Хотя набор таких предпосылок является жестким, эта теория объясняет развитие взаимоотношений и сделок в финансовой среде. Часто действительность близка к исходным условиям теории. Если же в реальной ситуации исходные предпосылки не соблюдаются, их можно отбрасывать одно за другим и определять влияние каждого из условий на конечные

Боди З. Финансы: пер. с англ. / З. Боди, Р. К. Мертон. М.: Вильямс, 2005. 592 с., с. 38.

ценностиденег заключается в том, что денежная единица, имеющаяся сегодня, и денежная единица, ожидающаяся к получению через какое-то время, неравноценны, (рис 1.1).

Подобная неравноценность определяется тремя основными причинами: инфляцией, риском неполучения ожидаемой суммы, и оборачиваемостью, т.е. способностью денег приносить доход.

По сравнению с денежной суммой, которая, возможно, будет получена в будущем, та же самая сумма, имеющаяся в наличии в данный момент времени, может быть немедленно пущена в оборот и поэтому принесет дополнительный доход.

Рис 1.1. Логика концепции временной стоимости денег

Согласно концепции временной ценности денег, сегодняшние поступления ценнее будущих. Отсюда вытекает необходимость учета фактора времени при принятии финансовых решений, в особенности долгосрочных.

Для соотнесения будущей и сегодняшней стоимости денег используются формулы наращения (начисления процентов) и дисконтирования.

Дисконтирование приведение будущей стоимости (FV) к нынешнему периоду времени, установление сегодняшнего эквивалента суммы, выплачиваемой в будущем.

С учетом этой концепции разработаны различные модели дисконтирования денежных потоков (DCF), которые широко используются в практике финансового менеджмента.

При рассмотрении дисконтирования необходимо учесть четыре этапа.

Расчет прогнозируемых денежных потоков. Оценка степени риска.

Включение риска в анализ.

Определение приведенной стоимости денег.

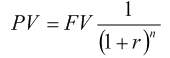
Формула математического дисконтирования для сложных процентов имеет вид:

где РV средства, имеющиеся или инвестированные на текущую дату или текущая стоимость финансовых средств, получаемых в будущем;

FV финансовые средства к получению в будущем или будущая величина сегодняшних денежных средств;

r ставка дисконтирования;

n количество лет.

Для того, чтобы определить сегодняшний эквивалент некой суммы денег, например 20 тыс. руб., которые могут понадобиться в будущем, например, через 2 года, необходимо продисконтировать эту сумму, используя ставку дисконтирования

(в общем случае равную учетной ставке процента ЦБ). Если учетная ставка процента равна, например, 18 % годовых, то настоящая (текущая) стоимость будущих 20 тыс. руб. составит: 20 / (1+0,18)2 = 14,3 тыс. руб. это означает, что, имея сегодня 14,3 тыс. руб., можно положить их в банк под эту ставку, и через 2 года у вас будет 20 тыс. руб.

Концепция компромисса между риском и доходностью.

Сущность этой концепции состоит в том, что между уровнем ожидаемого дохода (доходностью) и уровнем сопутствующего ему риска существует прямо пропорциональная зависимость.

Чем выше обещаемая, требуемая или ожидаемая доходность (то есть отдача на вложенный капитал), тем выше и степень риска, связанного с возможным неполучением этой доходности. Однако верно и обратное.

На базе этой концепции построены множественные модели оценки финансовых активов (финансовых инструментов инвестирования) и методика инвестиционного анализа в системе портфельной теории.

Очень важны для решения проблемы минимизации рисков выводы Г. Марковица о портфеле. Совокупный риск может быть снижен за счет объединения рискованных активов в один портфель. При этом общий риск, как правило, меньше, чем по каждому финансовому активу в отдельности. Однако концепция Г. Марковица не конкретизирует взаимосвязь между уровнем риска и требуемой доходностью. Эту задачу решают исследования Д. Линтиера, Я. Мойссина, У. Шарпа, в которых делается вывод, что на идеальных рынках капитала требуемая (ожидаемая) доходность рискованного актива представляет собой функцию трех переменных: безрисковой доходности, средней доходности на рынке ценных бумаг, «индекса колеблемости» доходности данного актива на рынке в среднем.

Иллюстрацией концепции компромисса между риском и доходностью выступает модель Шарпа модель оценки доходности финансовых активов (САРМ, Capital Asset Pricing Model).

Ваша оценка очень важна

0
Шрифт
Фон

Помогите Вашим друзьям узнать о библиотеке

Скачать книгу

Если нет возможности читать онлайн, скачайте книгу файлом для электронной книжки и читайте офлайн.

fb2.zip txt txt.zip rtf.zip a4.pdf a6.pdf mobi.prc epub ios.epub fb3

Похожие книги