Наварро Хоакин - Секреты числа Пи. Почему неразрешима задача о квадратуре круга стр 4.

Шрифт
Фон

История числа π: Архимед

Перенесемся в Древнюю Грецию родину одного из величайших умов человечества, Архимеда из Сиракуз. Возможно, еще в V веке до н. э. вычислением числа π занимался Анаксагор, но письменных свидетельств этого не сохранилось. Мы не будем приводить здесь выкладки Архимеда о расчете приближенного значения π, так как они сложны и объемны. Оставим их историкам науки. Попробуем объяснить метод Архимеда простым и доступным образом, используя современное понятие предела. Представим себе многоугольник, вписанный в окружность, подобный тому, что изображен на рисунке.

Заметим, что он состоит из треугольников с основаниями Ь и высотой h. Общая площадь n треугольников, примерно равная площади круга, равна

Sn = п площадь треугольника.

Таким образом,

Перейдя к пределу и увеличивая число треугольников так, что n > ,

получим

так как

и придем к следующему заключению:

Архимеду было неизвестно современное определение предела, и он использовал так называемый метод исчерпывания, созданный Евдоксом Книдским (400347 до н. э.). Для этого Архимед использовал вписанные и описанные многоугольники, как показано на рисунке. Окружность заключалась между вписанным и описанным многоугольниками, соответственно, была ограничена и площадь окружности. С ростом числа углов многоугольников оценка площади окружности становилась все точнее.

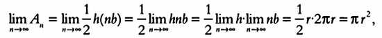
Схема, на которой изображен так называемый переход к пределу, поможет понять, почему площадь круга равняется πr2:

Мы видим, как формируется криволинейный параллелограмм и его стороны постепенно распрямляются. Вспомним, что площадь параллелограмма равна произведению стороны на высоту, проведенную к этой стороне. Высота постепенно приближается к значению радиуса r, а основание к половине длины окружности. Площадь параллелограмма стремится к

r(l/2) = r(2πr/2) = rπr = πr2

Архимед вычислил верхнюю и нижнюю оценку значения π:

223/π = 3,140845 π > Ьn.

Используя алгоритм Архимеда начиная с правильного шестиугольника, в котором а0 =43 и b0 = 6, получим:

3,00000 оо это выражение стремится к нулю. Чтобы упростить расчеты, предположим, что вместо одной обезьяны за печатными машинками сидят k обезьян. Казалось бы, этот предел не изменится, но интуитивно понятно, что он будет достигнут быстрее.

Несколько более сложные рассуждения приводят к ожидаемому выводу: с точки зрения математики нет никаких сомнений в том, что за неограниченное время обезьяны напечатают всего «Гамлета». Любая книга, по сути, лишь конечная последовательность повторяющихся знаков. Бесконечное число обезьян напечатает любую книгу за бесконечное время.

Но с бытовой точки зрения кажется невероятным, что эта задача будет выполнена за конечное время. Какую ценность нам несет знание о том, что обезьяны могут напечатать «Дон Кихота», если для этого им потребуется время, превышающее возраст Вселенной? Чтобы написать хотя бы что-то осмысленное, хотя бы простую фразу, не говоря уже о «Дон Кихоте», обезьянам потребуется невероятно длинный промежуток времени.

Более того, любой физик эксперт по вопросам термодинамики скажет, что эта задача возможна математически, но невозможна с точки зрения физики. Вселенная содержит конечное число частиц, и время в ней также конечно. Даже если Вселенная содержит гугол частиц (это число придумал девятилетний племянник математика Эдварда Казнера, оно равняется 10100), а Большой взрыв произошел 10 миллиардов лет назад, и даже если число обезьян будет равно числу частиц во всей Вселенной, вероятность того, что обезьяны за это время напечатают «Гамлета», будет ничтожно мала.

Аргентинский писатель Хорхе Луис Борхес

описал огромную библиотеку, в каждой книге которой ровно 410 страниц.

Рассказ Борхеса «Всемирная библиотека» намного поэтичнее, и с ним не сравнится никакое описание автора этой книги. Процитируем фрагмент этого произведения, в котором изображена эта удивительная библиотека:

«В ее слепых томах заключено все. Буквально все: скрупулезная история будущего, Египтяне Эсхила, точное число раз, когда воды Ганга отражали полет сокола, хранимое в тайне подлинное имя Рима, энциклопедия, которую мог бы создать Новалис, мои сны и полусны утром четырнадцатого августа 1924 года, разгадка теоремы Пьера Ферма, ненаписанные главы Эдвина Друда, те же главы в переводе на язык племени гарамантов, парадоксы о природе Времени, придуманные и не опубликованные Беркли, железные книги Уризена, отроческие эпифании Стивена Дедала, к смыслу которых подступятся лет через тысячу, гностическое Евангелие Василида, песни сирен, точнейший каталог Библиотеки, справочник неточностей этого каталога. Буквально все, но на одну осмысленную строку или достоверное свидетельство здесь будут приходиться миллионы безумных какофоний, груды словесного мусора и неразберихи. Буквально все, но пройдут поколения людей, прежде чем головокружительные полки полки, затмившие свет и приютившие хаос, подарят им хоть одну связную страницу».

(Хорхе Луис Борхес, «Всемирная библиотека»)

Бесконечные знаки числа π

В библиотеке, описанной Борхесом, могут храниться книги, где вместо литературных шедевров (большая часть из которых представляет собой лишь бессмысленную последовательность знаков) будут напечатаны последовательности цифр, имеющие начало и конец.

Ваша оценка очень важна

0
Шрифт
Фон

Помогите Вашим друзьям узнать о библиотеке