Auziņš Edgars - Ātrā matemātika verbālās skaitīšanas noslēpumi стр 8.

Книгу можно купить на ЛитРес.
Всего за 439 руб. Купить полную версию
Шрифт
Фон

Ja mēs reizinātu ar 9,6 un 9,7, atbilde būtu 93,12. Šis fakts var palīdzēt mums atrast veidus, kā vēl vairāk vienkāršot aprēķinus, kas citādi nebūtu tik acīmredzami. Drīzumā aplūkosim šīs iespējas. Tagad mēģiniet pats atrisināt šādus piemērus:

a) 1,3 x 1,3 = __; b) 1,4 x 1,4 = __; c) 14 x 0,14 = __; d) 96 x 0,97 = __; e) 0,96 x 9,6 = __; e) 13 x 1,5 = __

Atbildes:

a) 1,69; b) 1,96; c) 1,96; d) 93,12; e) 9,216; e) 19.5

Pieņemsim, ka jums bija jāatrisina šāds piemērs:

0,13 x 0,14 =

Atcerēsimies to:

13 x 14 = 182

Kur jāliek komats? Cik zīmju aiz komata ir abiem faktoriem? Četri: skaitļi 1 un 3 pirmajā faktorā un skaitļi 1 un 4 otrajā. Tāpēc atbildē ir jāskaita četri cipari, sākot no beigām. Mums būs jāpievieno viens cipars, jo mums ir trīsciparu atbilde (182). Tāpēc mēs saskaitām trīs ciparus un pievienojam 0.

Mūsu atbilde tagad izskatās šādi:

0,0182 ATBILDE

Pirms komata ir jāievieto arī 0, jo pirms tā vienmēr ir jābūt vismaz vienam ciparam. Mūsu gadījumā mēs pievienojam 0 kā ceturto ciparu pēc komata un arī ievietojam 0 pirms komata.

Apskatīsim vēl vienu piemēru, lai nostiprinātu to, ko esam iemācījušies:

0,014 x 1,4 =

14 x 14 = 196

Kur jābūt komatam? Reizinātājiem kopumā ir četri cipari aiz komata, proti: 0, 1 un 4 pirmajam reizinātājam un 4 otrajam. Tāpēc atbildē ir jābūt četriem cipariem aiz komata. Tā kā atbildē ir tikai trīs cipari, mēs pievienojam 0 kā ceturto zīmi aiz komata.

Atbilde ir:

0,0196 ATBILDE

Atrisiniet šādus piemērus pats:

a) 23 x 2,4 = __; b) 0,48 x 4,8 = __; c) 0,048 x 0,48 = __; d) 0,0023 x 0,23 = __

Viegli, vai ne?

Šeit ir atbildes uz kontroli:

a) 55.2; b) 2,304; c) 0,02304; d) 0,000529

Zinot šo vienkāršo principu, mēs varēsim atrisināt dažas problēmas, kas var šķist sarežģītas, ja tām pielietosim apgūto metodi. Pēc dažām problēmas nosacījumu izmaiņām risinājumu var ievērojami vienkāršot. Apskatīsim piemēru:

8 x 68 =

Kāds atsauces numurs ir jāizmanto šajā gadījumā? Varētu izmantot 10 kā atsauci koeficientam 8, bet 68 labāk izmantot 100, jo skaitļi ir tuvāk viens otram. Varbūt pamēģini 50? Tomēr mūsu metode darbojas labāk, ja skaitļi ir tuvu viens otram. Kā šajā gadījumā atrisināt problēmu? Kāpēc nerakstīt 8.0, nevis 8?

Nav atšķirības starp 8 un 8.0. Pirmais cipars (8) nozīmē, ka mums ir 8 vienības, bet otrais (8,0) nozīmē, ka mums ir 8 vienības līdz vienai zīmei aiz komata. Taču šī zīme, būdama nulle, neko ne pieskaita, ne neatņem no visas daļas (8).

Tātad mēs saņēmām:

Tagad problēmu var viegli atrisināt. Atņemt šķērsām:

6820 = 48

Mēs reizinām 48 ar atsauces numuru 100 un iegūstam 4800. Reiziniet skaitļus apļos.

20 x 32 = 640

(Lai reizinātu ar 20, vispirms reiziniet ar 2 un pēc tam ar 10, jo 2 x 10 = 20.)

4800 +640 = 5440

Tādējādi:

Tagad jums ir pareizi jāievieto decimālzīme. Cik ciparu aiz komata ir uzdevuma formulējuma faktoros? Viens, nulle, ko paši pievienojām. Tādējādi atbildē mēs saskaitām vienu ciparu no labās puses.

544.0 ATBILDE

Mēs parasti rakstām līdzīgu skaitli bez nulles aiz komata, tas ir, 544.

Mēģiniet pats atrisināt šādus piemērus:

a) 9 x 83 = __; b) 9 x 67 = __; c) 9 x 77 = __; d) 8 x 86 = __; e) 7 x 89 = __

Šeit ir atbildes uz kontroli:

a) 747; b) 603; c) 693; d) 688; e) 623

Piemēru risināšana nebija grūta, vai ne?

Ar nelielu iztēli jūs varat izmantot šīs pieejas, lai atrisinātu jebkuru reizināšanas problēmu.


7. nodaļa Reizināšana ar diviem atsauces skaitļiem

Mūsu reizināšanas metode lieliski darbojās skaitļiem, kuru lielums ļoti neatšķiras. Pretējā gadījumā metode arī darbojas, taču aprēķini būs apgrūtinošāki. Piemēram, ko darīt, ja mēs vēlētos aprēķināt, cik daudz ir 13 x 64? Kuru atsauces numuru mums vajadzētu izvēlēties? Šajā nodaļā apskatīsim vienkāršu metodi, kas ļauj ievērot vienu un to pašu stratēģiju, bet izmantojot divus atsauces numurus.

Varat reizināt divus skaitļus, kuru lielums ir ļoti atšķirīgs, izmantojot divus atsauces numurus. Vispirms iedziļināsimies lietas būtībā, un tad es jums parādīšu, kā šī metode darbojas. Kā piemēru ņemsim produktu 8 x 27. 8 ir tuvāk 10, tāpēc mēs izmantojam 10 kā pirmo atsauces numuru. 27 ir tuvāk 30, tāpēc

30 būs mūsu otrais atsauces numurs. No šiem skaitļiem izvēlieties to, ar kuru ir visvieglāk reizināt. Tā kā to ir ļoti viegli reizināt ar 10, mēs to izvēlēsimies. Tas būs mūsu galvenais atsauces numurs. Otrajam atsauces numuram ir jābūt galvenā numura reizinājumam. Mūsu izvēlētais skaitlis ir bāzes daudzkārtnis, kas ir trīs reizes lielāks par skaitli (30: 10 = 3). Tā vietā, lai zīmētu apli, es ierakstu divus atsauces numurus iekavās pa kreisi no piemēra nosacījuma.

Primārais atsauces numurs ir 10. Otrais atsauces numurs ir 30 jeb 3 x 10. Atsauces numurus rakstām iekavās kā otro skaitli, kas izteikts kā pirmais, tas ir:

(10 x 3) 8 x 27 =

Abi piemērā minētie faktori ir mazāki par to atsauces skaitļiem, tāpēc zem faktoriem apzīmējam apļus. Zem skaitļa 8, kura atsauces numurs ir 10, novelciet vēl vienu apli.

Par cik 8 un 27 ir mazāki par to atsauces skaitļiem (atcerieties, ka 3 apzīmē 30)? Par 2 un 3. Ierakstiet 2 un 3 apļos.

Tagad reiziniet 2, kas atrodas zem koeficienta 8, ar koeficientu 3 iekavās.

2 x 3 = 6

Zem 2 zemākajā aplī ierakstīsim 6. Tagad no 27 atņemiet skaitli, kas atrodas šķērsām zemākajā aplī:

27 6 = 21

Reiziniet 21 ar bāzes atsauces numuru 10:

21 x 10 = 210

210 ir mūsu starpposma atbilde. Lai iegūtu atlikušo daļu, mēs reizinām augšējos apļos esošos skaitļus (2 un 3), kas mums iegūst 6. Pievienojiet 6 ar 210 un iegūstiet galīgo atbildi: 216.

Atrisināsim citu piemēru:

9 x 48 =

Kādus atsauces numurus mums vajadzētu izvēlēties? 10 un 50. Rakstīsim piemēru jaunā veidā:

(10 x 5) 9 x 48 =

Abi faktori ir mazāki par to atsauces skaitļiem, tāpēc mēs novietojam apļus apakšā. Cik tie ir mazāki par to atsauces numuriem? 1 un 2. Ievadiet 1 un 2 apļos:

Tagad reizināsim 1 zem 9 ar koeficientu 5, kas ir iekavās.

1 x 5 = 5

Mēs rakstām 5 zemākajā aplī zem 1. Mūsu piemēra risinājums tagad izskatās šādi:

Atņemiet 5 no 48:

48 5 = 43

Aiz vienādības zīmes rakstīsim 43. Sareizināsim 43 ar atsauces skaitli 10 (lai to izdarītu, mēs vienkārši pievienojam 0 labajā pusē ar 43), kas dos atbildi.

43 x 10 = 430

Kā pēdējo soli reiziniet skaitļus divos augšējos apļos:

1 x 2 = 2

Pievienosim 2 starpatbildei 430:

430 +2 = 432

Pilnībā atrisinātais piemērs tagad izskatās šādi:

Vienkārši, vai ne? Vienīgā grūtība, kas jums var rasties, ir atcerēties, kam vajadzētu būt nākamajam solim.

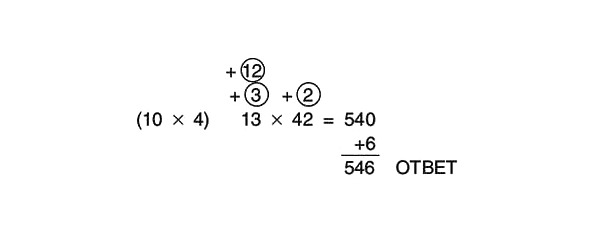
Ja reizinātāji ir lielāki par atsauces skaitļiem, mēs rīkojamies šādi. Kā piemēru ņemsim produktu 13 x 42:

Galvenais atsauces numurs ir 10. Otrais, ko mēs paņēmām, ir 40 jeb 10 x 4. Mēs cenšamies atlasīt atsauces skaitļus tā, lai tie būtu mazāki vai lielāki par skaitļiem, kas tiek reizināti. Abi faktori šajā piemērā ir lielāki par attiecīgajiem atsauces skaitļiem, tāpēc augšpusē mēs uzzīmējām apļus. Koeficients 13 atbilst bāzes atsauces skaitlim 10, tāpēc virs šī faktora mēs novelkam divus apļus. Cik daudz vairāk nekā jūsu atsauces numuri 13 un 42? Uz 3 un 2. Mēs ievadām 3 un 2 apakšējos apļos. Reiziniet 3 aplī virs koeficienta 13 ar 4 iekavās.

3 x 4 = 12

Mēs rakstām 12 augšējā aplī virs 13. Tagad salieciet to šķērsām.

42 +12 = 54

54 un atsauces numura 10 reizinājums dod 540. Šī ir mūsu starpposma atbilde. Tagad reizināsim skaitļus apakšējos apļos.

3 x 2 = 6

Pievienojiet 6 pret 540, lai iegūtu galīgo atbildi: 546. Šādi izskatās pilnībā atrisināts piemērs:

Primārajam atsauces numuram nav jābūt 10. Lai atrastu reizinājumu 23 x 87, ir lietderīgāk izmantot 20 kā primāro atsauces numuru un 80 (20 x 4) kā otro atsauces numuru.

Pastiprināsim to, ko esam iemācījušies, izmantojot piemēru:

(20 x 4) 23 x 87 =

Abi piemērā minētie faktori ir lielāki par to atsauces skaitļiem (20 un 80), tāpēc augšpusē zīmējam apļus. Cik vēl? Uz 3 un 7. Mēs ievadām 3 un 7 atbilstošajos apļos.

Ваша оценка очень важна

0
Шрифт
Фон

Помогите Вашим друзьям узнать о библиотеке

Скачать книгу

Если нет возможности читать онлайн, скачайте книгу файлом для электронной книжки и читайте офлайн.

fb2.zip txt txt.zip rtf.zip a4.pdf a6.pdf mobi.prc epub ios.epub fb3

Популярные книги автора