Татьяна Александровна Лобаева - Биохимия для студентов-медиков. Учебно-методический комплект заданий стр 6.

Книгу можно купить на ЛитРес.
Всего за 490 руб. Купить полную версию
Шрифт
Фон


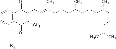
Филлохинон (витамин К, антигеморрагический) производное нафтохинона, кофактор фермента глутамилкарбоксилазы, участвующего в синтезе остатков γ-карбоксиглутаминовой кислоты в кальцийсвязывающих белках; при недостатке витамина К возникают самопроизвольные кровотечения.



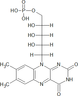
Флавинадениндинуклеотид (ФАД) производное рибофлавина (витамина В

2



Флавинмононуклеотид (ФМН) производное рибофлавина (витамин В

2



Фолиевая кислота (птероилглутаминовая кислота, витамин В9, витамин Вс) водорастворимый витамин, содержащий птеридин, остаток парааминобензойной кислоты (ПАБК) и L-глутаминовой кислоты (Глу); при восстановлении образует гидрированную форму кофермент тетрагидрофолиевую кислоту (ТГФК); участвует переносе одноуглеродных фрагментов, при недостаточном поступлении фолиевой кислоты с пищей развивается мегалобластная анемия, поражение слизистых оболочек, глосситы, нарушение заживления ран.



Холекальциферол (витамин D3) жирорастворимый витамин группы D, производное 7-дегидрохолестерола



Цистеин заменимая серосодержащая аминокислота входит в состав белков, пептидов (глутатиона) и др.



Цитидинтрифосфат (ЦТФ) нуклеотид, содержащий цитидин и три остатка фосфорной кислоты.



Эстрадиол производное холестерина, стероидный гормон из группы женских половых гормонов эстрогенов, секретируемый фолликулами яичников.


1.3. Вопросы для самоконтроля по теме раздела

Перечислите функции белков.

Перечислите методы выделения и очистки белков из биообъектов.

Дайте определение понятиям: высаливание, хроматография, электрофорез, кристаллизация.

Перечислите физико-химические свойства аминокислот.

Составьте формулы аминокислот, образующихся в результате постсинтетической химической модификации (оксилизин, селеноцистеин, ɣ-карбоксиглутаминовая кислота, 3,5-дийодтирозин).

Перечислите химические реакции для открытия и определения аминокислот в гидролизатах белков.

Перечислите физико-химические свойства белков.

Дайте определение понятиям: денатурация, иозоэлектрическая точка, изоионная точка, лактамная (кетонная) форма, лактимная (енольная) форма.

Перечислите методы определения первичной структуры белков.

  Опишите вторичную структуру белка.

  Дать определение понятиям: протомер (мономер, субъединица), олигомер (мультимер), изофермент, комплементарность.

  Назовите примеры простых белков

  Приведите примеры природных пептидов.

  Опишите гемопротеины.

  Опишите флавопротеины.

  Опишите нуклеопротеины.

  Опишите липопротеины.

  Перечислите фосфопротеины.

  Дать определение понятиям: гликоконьюгаты, гликобиология, гликопатология, гликотерапия.

Опишите интерфероны и иммуноглобулины

Опишите трансферрин и гемосидерин.

Перечислите методы выделения нуклеиновых кислот из биообъектов.

Составьте формулы минорных нуклеотидов пуринового ряда (инозин, ксантин, гипоксантин, 7-метилгуанозин).

Перечислите минорные пиримидиновые основания.

Каковая первичная структура нуклеиновых кислот?

Какова вторичная структура нуклеиновых кислот?

Дайте определение понятию «Фермент» (энзим).

Назовите области применения ферментов.

Дать определение понятиям: холофермент, простетическая группа, апофермент, кофермент, активный центр фермента, аллостерический центр, синзимы.

Приведите примеры изоферментов.

  Опишите механизм действия ферментов.

Что такое энергия активации, константа диссоциации фермент-субстратного комплекса, явление насыщения, константа Михаэлиса, уравнение Лайнуивера-Бэрка.

  Перечислите основные свойства ферментов.

Что такое относительная и абсолютная специфичность ферментов?

Приведите примеры стереохимической специфичности.

Каковы типы ингибирования ферментов?

Дайте определение понятиям: индуцированный синтез ферментов, конститутивные ферменты, летальный синтез, проферменты (зимогены), ингибирование по принципу обратной связи, ретроингибирование, активация предшественником, компартментализация.

Как рассчитать удельную активность фермента, молекулярную активность фермента?

Какова международная классификация ферментов?

Перечислите основные направления медицинской энзимологии.

Дайте определение понятию «Липиды».

Какова классификация липидов?

Перечислите функции липидов.

Дайте определение понятиям: «Жирная кислота», «Высшая жирная кислота».

Приведите примеры диеновых и и триеновых жирных кислот.

Составьте формулу тетраеновой жирной кислоты.

Составьте формулу триацилглицерола (ТАГ) с остатком олеиновой, линолевой и пальмитиновой кислот.

Напишите пример формулы липида из класса «Воски».

Составьте общий план строения фосфолипидов.

Составьте общий план строения сфинголипидов.

Перечислите биологические функции глицерофосфолипидов.

Перечислите биологические функции сфингофосфолипидов.

Составьте формулу липида с остатком N-ацетилнейраминовой кислоты, дайте ему название.

Перечислите стероидные соединения. Что является признаком стероидных соединений?

Составьте формулу холестерина и дайте характеристику этому соединению.

Составьте формулу желчной кислоты и её коньюгата, объясните биологическую роль желчных кислот.

Дайте определение понятию «Витамины». Какова классификация витаминов?

Перечислите методы определения витаминов в биожидкостях.

Дайте характеристику витамину «Аскорбиновая кислота». Какими методами можно обнаружит этот витамин в биологических объектах?

Дайте характеристику витамину «Тиамин» (строение витамина а кофермента, биологические функции, признаки авитаминозов, особенности применения в медицине).

  Опишите особенности химической структуры и биологические свойства рибофлавина.

Опишите особенности химической структуры и биологические свойства цианокобаламина.

  Составьте описание особенностей структуры, биологической активности и признаков гипо- и авитаминоза для ретинола.

Составьте описание особенностей структуры, биологической активности и признаков гипо- и авитаминоза для кальциферола.

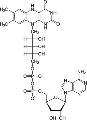
Составьте формулу НАД и покажите его переход из окисленной формы в восстановленную.

Составьте формулу ФАД и покажите его переход из окисленной формы в восстановленную.

Перечислите витаминоподобные соединения.

Назовите известные вам антивитамины.

Какова биологическая роль нижеперечисленных соединений: ПАБК, пангамовая кислота, инозитол, убихинон, S-метилметионин, липоевая кислот, холин

Какова классификация гормонов?

Дайте характеристику гормонов гипоталамуса.

Дайте характеристику гормонов гипофиза.

Дайте характеристику гормонов паращитовидных желез.

Дайте характеристику гормонов щитовидной железы.

Дайте характеристику гормонов поджелудочной железы.

Дайте характеристику гормонов надпочечников.

Дайте характеристику женских половых гормонов.

Дайте характеристику мужских половых гормонов.

  Опишите структуру и биологические свойства простагландинов.

Опишите аденилатциклазную мессенджерную систему.

Опишите гуанилатциклазную мессенджерную систему.

Опишите Ca

2+

Опишите механизм действия на клетку адреналина.

Опишите механизм действия на клетку инсулина.

Опишите механизм действия на клетку тестостерона.

Опишите типичное проявление авитаминоза (по выбору).

Опишите типичное проявление гипофункции железы (по выбору).

Опишите типичное проявление гиперфункции железы (по выбору).

Ваша оценка очень важна

0
Шрифт
Фон

Помогите Вашим друзьям узнать о библиотеке

Скачать книгу

Если нет возможности читать онлайн, скачайте книгу файлом для электронной книжки и читайте офлайн.

fb2.zip txt txt.zip rtf.zip a4.pdf a6.pdf mobi.prc epub ios.epub fb3