Aliyev Ibratjon Xatamovich - All sciences. №8, 2023. International Scientific Journal стр 3.

Книгу можно купить на ЛитРес.
Всего за 280 руб. Купить полную версию
Шрифт
Фон

5. Alpatova, N. B. Algebra and number theory: Collection of problems for mathematical schools / N. Alfutova B., And A. V. Ustinov.  M.: mtsnmo, 2009.  336 c.

6. Arnold, V. I. the Theory of numbers by I. V. Arnold.  M.: Lenand, 2019.  288 c.

7. Borevich, Z. I. number Theory / zi Borevich, I. R. Shafarevich.  M.: Lenand, 2019.  504 c.

8. Boss, W. Lectures on mathematics: Theory of numbers / V. Boss.  M.: Lenand, 2014.  224 p.

9. Boss, V. Lectures on Mathematics vol.14: Theory of numbers / V. Boss.  M.: CD Librocom, 2010.  216 p.

10. Boss, V. Lectures on mathematics: Theory of numbers / V. Boss.  M.: Lenand, 2017.  224 p.

11. Boss, V. Lectures on mathematics: Theory of numbers / V. Boss.  M.: Lenand, 2019.  224 p.

12. Bukhstab, A. A. Number theory: A textbook / A. A. Bukhstab.  St. Petersburg: Lan, 2015.  384 p.

13. Weil, G. Algebraic theory of numbers / G. Weil.  M.: URSS, 2011.  224 p.

14. Gankel, G. The theory of complex numerical systems, mainly ordinary imaginary numbers and Hamilton quaternions together with their geometric interpretation. Trans. from German / G. Gankel.  M.: Lenand, 2015.  264 p.

15. Gankel, G. The theory of complex numerical systems, mainly ordinary imaginary numbers and Hamilton quaternions together with their geometric interpretation / G. Gankel.  M.: Lenand, 2015.  264 p.

16. Egorov, V. V. Theory of numbers: A textbook / V. V. Egorov.  St. Petersburg: Lan, 2015.  384 p.

17. Zolotarev, E. I. Theory of integral complex numbers with an application to integral calculus / E. I. Zolotarev.  M.: Lenand, 2016.  216 p.

18. Ivanets, H. Analytical theory of numbers / H. Ivanets.  M.: ICNMO, 2014.  712 p.

19. Krasnov, M. L. All higher mathematics: Discrete mathematics (number theory, general algebra, combinatorics, Poya theory, graph theory, pairs, matroids) / M. L. Krasnov, A. I. Kiselev, G. I. Makarenko.  M.: KomKniga, 2014.  208 p.

20. Ozhigova, E. P. What is the theory of numbers / E. P. Ozhigova.  M.: Editorial URSS, 2010.  176 p.

21. Ostrik, V. V. Algebraic geometry and number theory. Rational and elliptic curves / V. V. Ostrik.  M.: ICNMO, 2011.  48 p.

22. Ostrik, V. V. Algebraic geometry and number theory: rational and elliptic curves / V. V. Ostrik, M.A. Tsfasman.  M.: ICNMO, 2005.  48 p.

23. Petrov, N. N. Mathematical games: Joke games. Symmetry. Games Him. The game Jianshizi. Games with polynomials. Games and number theory. Analysis from the end. Winning strategies / N. N. Petrov.  M.: Lenand, 2017.  208 p.

24. Rybnikov, K. A. History of mathematics: Interdisciplinary presentation: Geometry. Algebra and number theory. Mathematical analysis. Probability theory and mathematical statistics. Discrete Mathematics / K. A. Rybnikov.  M.: Lenand, 2018.  536 p.

25. Serovaisky, S. Ya. History of Mathematics: Evolution of mathematical ideas: Number Theory. Geometry. Topology / S. Ya. Serovaisky.  M.: Lenand, 2019.  224 p.

26. Sushkevich, A. K. Theory of numbers / A. K. Sushkevich.  M.: University book, 2016.  240 p.

27. Sushkevich, A. K. Number theory. Elementary course / A. K. Sushkevich.  M.: University book, 2007.  240 p.

ABOUT MODERN RESEARCH IN THE FIELD OF IMPROVING THE TECHNOLOGY OF ELECTRONIC TUNNELING

Aliyev Ibratjon Xatamovich


3rd year student of the Faculty of Mathematics and Computer Science of Fergana State University


Ferghana State University, Ferghana, Uzbekistan

Annotation. This article discusses the theoretical foundations and mathematical apparatus of a new method of transmitting information at high speeds, in contrast to the classical electromagnetic method, the method of using quantum entanglement and other similar recognized methods. The technological improvement of information transmission methods today really deserves attention, since they become a sufficient reason for a new revision of new achievements in this field. One of such technologies, currently developing mainly in a theoretical way, is the method of using the electronic tunnel effect. Now becoming more and more relevant.

Keywords: quantum tunneling effect, electrons, information transfer, theoretical foundations, physical and mathematical apparatus.

Аннотация. В настоящей статьи рассматриваются теоретические основы и математический аппарат нового метода передачи информации на больших скоростях, в отличие от классического электромагнитного метода, метода использования квантовой запутанности и прочих подобных признанных методом. Технологическое совершенствования методов передачи информации сегодня действительно заслуживает внимания, поскольку становятся достаточной причиной для нового пересмотра новых достижений в настоящей области. Одной из таких технологий, ныне развивающаяся в основном в теоретическом ключе является метод использования электронного туннельного эффекта. Ныне становящийся всё более актуальным.

Ключевые слова: квантовый туннельный эффект, электроны, передача информации, теоретические основы, физико-математический аппарат.


The phenomenon of the quantum tunneling effect is quite well-known and popular today. This effect itself is based on the fact that microparticles can overcome a certain potential barrier if its total energy, which remains unchanged and is not spent on overcoming the barrier, is less than the height of the barrier itself. Of course, such a phenomenon by definition could not occur on the scale of classical physics, at least because of its vivid contradiction, however, this effect itself is proven by numerous empirical results, since it underlies the most diverse phenomena of atomic, molecular physics, physics of the atomic nucleus and elementary particles, solid state and others.

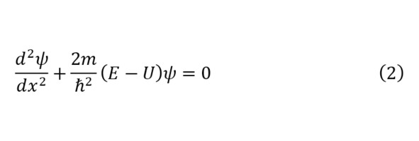
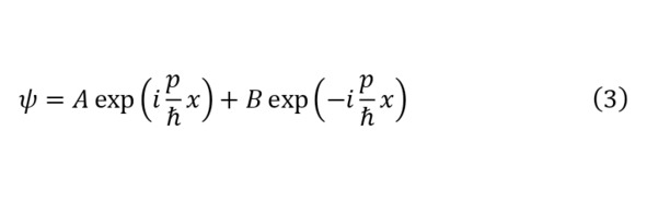
For a better understanding of the present effect, we point out that let the definition of the kinetic energy of a particle be set initially according to (1), from which it can be seen that if the conditions of the quantum tunneling effect are met, it turns out that the momentum of such a particle satisfying the conditions set should become an imaginary quantity and it would seem that this could not be in reality, but together with this, the solution of the famous Schrodinger equation (2), where the potential energy of the particle is a constant, has a solution (3), from which the value for the momentum is derived as (4).






And although in this case the momentum becomes imaginary when the value of the potential barrier begins to exceed the total energy of the particle, as it was indicated. To understand the nature and causes of this phenomenon, you can resort to presenting a separate model with three potential barriers, for each of which your wave equations will be defined, after which the final expression will be derived, or you can use a more visual Heisenberg uncertainty relation. As can be seen from the first relation for inaccuracies of coordinates and momentum, with a more accurate determination of the coordinates of a particle, the accuracy of its momentum decreases, due to which we can talk about finding the magnitude of the momentum of particles in any suitable set of quantities at this time, which allows the particle to have a complex momentum value, which causes the tunnel effect. However, in this case, there will be a determination of the magnitude determining the probability of a particle passing through this barrier.

So the present transmission coefficient is determined according to the initial model, according to which let there be three potential barriers, the first and third of which have zero height, and the second is high enough to exceed the value of the total energy of the particle. In this case, during the approach of a particle to a potential barrier, the definition of its coordinate increases, due to which, according to the uncertainty ratio, the value of its momentum decreases, after which a certain number of its components can pass through the barrier, and a certain one can be reflected. It is the ratio of these two components that gives a certain definition of the probability current, where the probability current of the wave incident on the barrier acts as the numerator, and the probability current of the part of the wave passing through the barrier acts as the denominator. Also, the inverse value of this value is the reflection current, from where it is appropriate to determine their sum equal to one.

Ваша оценка очень важна

0
Шрифт
Фон

Помогите Вашим друзьям узнать о библиотеке

Скачать книгу

Если нет возможности читать онлайн, скачайте книгу файлом для электронной книжки и читайте офлайн.

fb2.zip txt txt.zip rtf.zip a4.pdf a6.pdf mobi.prc epub ios.epub fb3