Aliyev Ibratjon Xatamovich - All sciences. №4, 2023. International Scientific Journal стр 7.

Книгу можно купить на ЛитРес.
Всего за 5.99 руб. Купить полную версию
Шрифт
Фон

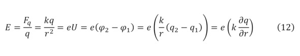
The electric field is subject to its measurement due to such a concept as intensity (12), which is characterized by the effect on the fields of a certain charge at a certain distance on the probe charge due to the Coulomb force (11).




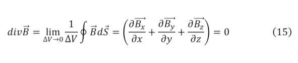
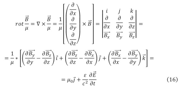
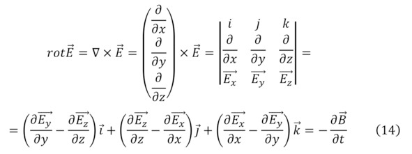
The magnetic field has the same ability to calculate, for it this value is called magnetic induction, measured in units  Tesla, named after the great and most brilliant Serbian scientist of his time Nikola Tesla. Since the cause of the magnetic field was previously explained, its first definition is calculated using Maxwells equations and their consequences (1316), which are discussed in more detail below.






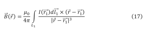
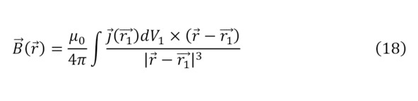
In addition, if certain exceptions are made due to the property of the action of the magnetic field, in particular, and in statics, then the laws for them will be similar to Coulombs laws (1718), and also in a certain field will be a consequence of the field geometry condition, which is initially assumed by the theorem of Mr. Andre Marie Ampere on the circulation of the magnetic field (19).





However, all these parameters were given only for a general view, but if we turn to specific examples, then first of all it is worth giving a definition of the magnetic induction vector of a straight wire with a known current and a known distance from it is determined by (20).



It is important to note that in order to determine the magnetic induction vector, it is necessary to determine the magnetic permeability of the medium this is the parameter demonstrating the ability of a material to conduct a magnetic field. Practically the same can be said about such an object as a solenoid a real electromagnet consisting of a spiral wire and a core, as mentioned above at the very beginning of the description.

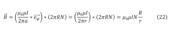
And here, it is worth taking a closer look, because the pattern for determining magnetic induction for a solenoid looks like this (21).



In this case, the number of turns plays a big role, and on the one hand, it would be possible to make a conversion to (20) by approving the diameter for the spiral and taking into account all past indicators for magnetic permeability and flowing current (22), but this pattern will not be true, because in this case, a non-linear, namely, a rotational electric field, which creates a direct magnetic field directly inside the solenoid, leading to the correct formula (21).



Before continuing, it is worth noting an important point if the field being created is variable by definition, it creates an alternating electric field, which in turn again creates a parasitic magnetic field, but already opposite to the first and relatively smaller in magnitude. Such an additional magnetic field reduces the effectiveness of the original magnetic field, therefore it is called a parasitic field, however, it also creates a parasitic field for itself, and then in turn for itself, etc. In sum, any alternating magnetic field consists of a large number of small moles, represented by its parent rows.

And since the magnetic field, unlike the electric one, always simply has to be closed, it closes around the solenoid, continuing further. It is in this way that a magnetic field is created, which has, in addition to the magnetic induction index, also an indicator of the magnetic field strength (23).



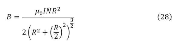
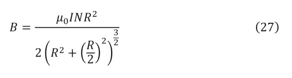
But since there is such a tension and the process of creating a magnetic field with the help of charges is explained, it is interesting to consider the reverse moment of the effect of the created magnetic field on the charges. It is worth pointing out here that for the formation of a magnetic field, you can also use natural magnets, with an initially high concentration of internal charges and their movements, due to the nature of the alloy itself, or by using other methods of changing the shape of the electromagnet, for example, using Hermann Helmholtz coils for various transformations, namely for the total modulus of magnetic field induction from the Bio-Savard-Laplace law (24) or (25) for a single turn or for n turns (26), for the case that the distance along the axis from the coil to the center is equal to half the radius (27), for two coils (2829), or a round solenoid, the so  called type of electromagnet  toroid (30), provided that there is no magnetic field inside it, but it is only inside the rounded conductor on which the wire is wound.









Thus, if a free charge enters a magnetic field, then it falls under the influence of the magnetic induction force under the action of a certain Lorentz force (31), under the action of which, taking into account the created centrifugal force (32), the charge begins its rotation with a radius (33).





Moreover, there is also a relativistic form of recording the same pattern (3435).

Ваша оценка очень важна

0

Дальше читают

Шрифт
Фон

Помогите Вашим друзьям узнать о библиотеке

Скачать книгу

Если нет возможности читать онлайн, скачайте книгу файлом для электронной книжки и читайте офлайн.

fb2.zip txt txt.zip rtf.zip a4.pdf a6.pdf mobi.prc epub ios.epub fb3