Отажонов Салим Мадрахимович - Компоненты неметаллических материалов и их свойства. Монография стр 7.

Шрифт
Фон

Поли-пара-фенилентерефталамид, ароматический найлон (арамил), является продуктом поликонденсации пара-фенилендиамина и терефталевой кислоты:



Он выпускается компанией «Дюпон» под названием «кевлар». Этот кристаллический термопласт с исключительно высокой T

пл

Полиэфиры

получают из органических кислот и спиртов, обычно полифункциональных мономеров; линейные полиэфиры  из двухосновных кислот и гликолей. Наиболее важный линейный полиэфир  полиэтилентерефталат (или полиэтиленгликольтерефталат) с высокой СП  получается по реакции терефталевой кислоты с этиленгликолем в присутствии катализатора при повышенной температуре в вакууме:



Продукт представляет собой белый высококристалличный материал, плавящийся ок. 260° С, очень устойчивый по отношению ко всем обычным органическим растворителям даже при нагревании. Из него производятся прочные волокна (терилен, дакрон) и жесткие, прозрачные пленки (майлар) экструзией расплава с последующей ориентацией вытягиванием. Очень тонкий, прочный майлар с магнитным покрытием применяют для изготовления пленки для аудио- и видеомагнитофонов.

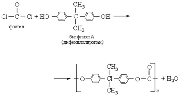
Поликарбонаты

 еще одна группа линейных полиэфиров, получаемых в промышленных масштабах. Их производят реакцией фосгена COCl

2



Это белый, в основном аморфный, очень прочный и жесткий материал с хорошей термостойкостью до 150° С. Путем литьевого формования из него делают пластины, стержни, шестерни и другие предметы сложной конфигурации, которые успешно заменяют литые металлические детали.

Полисилоксаны

Растет спрос на термопластические материалы с достаточно высокой жесткостью (более 14 000 МПа) и высокой температурой размягчения (выше 500° С), чтобы заменить металлы в производстве двигателей, а также космических кораблей, самолетов, автомобилей, железнодорожных вагонов и судов. От новых материалов требуется легкость (низкая плотность), относительная простота обработки и повышенная коррозионная стойкость. Этим требованиям лучше всего удовлетворяют линейные макромолекулы со многими ароматическими звеньями в цепи. Примерами могут служить:



К таким конструкционным пластикам относятся также линейные ароматические полиэфиры и полиимиды.

1.5. Реактопластические материалы

Феноло-формальдегидные смолы  одни из первых термореактивных смол, которые все еще находят широкое применение. Они представляют собой пластмассы, образующиеся при реакции фенола с формальдегидом и другими альдегидами, как описано выше при общем обсуждении реактопластов, получаемых поликонденсацией. Эти первые полностью синтетические пластмассы предложил под названием «бакелит» Л. Бакеланд (1909). Поликонденсация, проводимая в воде, сначала ведет к водорастворимому или диспергированному в воде промежуточному веществу, используемому для пропитки дерева, бумаги, картона или ткани. На следующей стадии получают смолообразную массу, которую можно превратить в тонкий сухой порошок и затем придать ему окончательную конфигурацию с помощью сшивок, что достигается прямым прессованием при нагревании под давлением.

Ваша оценка очень важна

0
Шрифт
Фон

Помогите Вашим друзьям узнать о библиотеке

Скачать книгу

Если нет возможности читать онлайн, скачайте книгу файлом для электронной книжки и читайте офлайн.

fb2.zip txt txt.zip rtf.zip a4.pdf a6.pdf mobi.prc epub ios.epub fb3