Abduraxmonov Sultonali Mukaramovich - All sciences. №3, 2023. International Scientific Journal стр 2.

Книгу можно купить на ЛитРес.
Всего за 100 руб. Купить полную версию
Шрифт
Фон


That is, in this case, the question arises to what degree it is necessary to raise the Euler number so that it gives an exponential unit. The answer is quite simple  it is a negative logarithm of zero (2) from this it follows that the logarithm of the exponential number is (3).



It is also interesting to solve the Euler equation with a tangential unit, and then with a general form of an exponential number, which was described further, taking the expressions as unknowns. And for this, we can initially proceed from Taylor expansions (46).





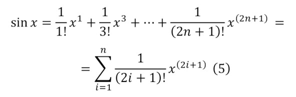
Which is easily proved, since when the unknown is zeroed, the sine in (5) is also zeroed, and the cosine in (6) is equal to one. And it already follows from this (7).



And the unknown in (7) can be all kinds of numbers, both complex, when substituting which the remarkable Euler equality follows, and exponential. And to begin with, lets consider a special case with an exponential unit and perform the following transformations (8).



Based on this relation, we perform transformations in (9), leading to equation (10), while taking into account that this expression is identical, it is possible to differentiate both parts of the equation in (11) by performing the corresponding transformations.





Since the final equality (11) can be represented as in (12), further carrying out additional differentiation, also introducing the condition that this is an identity, and in (13) the differentiation process for the right side of equality is described in detail. And for the left part there is no need for a detailed painting.




When the differentiation is made, it is enough to make elementary transformations, we get the trigonometric form of the special case (14).



Now, when the general form for the doubly differentiated case is obtained, it is necessary to return to the primordial ones, because this is the identity, resulting in the following equalities (1516).




And indeed, this value is close to the most potential value, so this expression can be considered the second kind of writing of the exponential unit. Now, it is possible to proceed to the solution of the Euler equation for the general form of the intentional numbers, having carried out the first substitution and the usual replacement operations at stage (17) and (18) at the beginning.




When the necessary transformations come to an end, and other actions no longer take place, it is also sufficient to differentiate both parts of equality as a valid identity (19).



Differentiating the first part of the equality, we can come to the result in (20), and for the second part, the calculations will continue throughout (21).




Then, applying (2225), one can come to the form (26).







As a result, it is enough to equalize both results in (20) and (26), since these are two parts of the identity, and then get (27) with the necessary simplification, and already in (28) with additional simplification and differentiation as an identity.




At the same time, the differentiation of the first part of equality is obvious in (29), as well as the second in (30), after which equality and the resulting transformations can be introduced into (31).





As a result, equalities are formed that need to be integrated twice, because their derivatives were taken earlier, getting (32).



Integrating the first part, a separate result is obtained in (33) and integrating the second part in (34).




Thus, it is possible to arrive at equality (35), from where it is possible to arrive at another equality in the same equation.



The result is really quite surprising, but this is equality (35), which came out after substituting the general form of an ingential number into Eulers formula and the solution for this case is the ingential number (36). Thus, this is the first full-fledged equation, the solution of which was an intentional number.



Although the complex numbers themselves are located on the axis of numbers, this interval can also be expressed on the tangential plane. This coordinate system has an axis starting from infinity as the ordinate, and the abscissa has all real numbers. Thus, all exponential numbers can be represented on such a rectangular coordinate system, in the case of adding complex numbers  already in space.

Used literature

1. I. V. Bargatin, B. A. Grishanin, V. N. Zadkov. Entangled quantum states of atomic systems. Editorial office named after Lomonosov. 2001.

2. G. Kane. Modern elementary particle physics. Publishing house Mir. 1990.

3. S. Hawking. The theory of everything. From singularity to infinity: the origin and fate of the universe. Publishing house AST. 2006.

4. S. Hawking, L. Mlodinov. The supreme plan. A physicist's view of the creation of the world. Publishing house AST. 2010.

5. T. D'amour. The world according to Einstein. From relativity theory to string theory. Moscow Publishing House. 2016.

6. S. Hawking, L. Mlodinov. The shortest history of time. Amphora Publishing House. 2011.

ABOUT RESEARCH ON THE COLLATZ HYPOTHESIS IN THE FACE OF A MATHEMATICAL PHENOMENON

Aliev Ibratjon Khatamovich


2nd year student of the Faculty of Mathematics and Computer Science of Fergana State University


Ferghana State University, Ferghana, Uzbekistan

Аннотация. Когда об этой задаче рассказывают молодым математикам  их сразу предупреждают, что не стоит браться за её решение, ибо это кажется невозможным. Простую на вид гипотезу не смогли доказать лучшие умы человечества. Для сравнения, знаменитый математик Пол Эрдеш сказал: «Математика ещё не созрела для таких вопросов». Однако, стоит подробнее изучить данную гипотезу, что и исследуется в настоящей работе.

Ключевые слова: гипотеза Коллатца, числа-градины, ряды, алгоритм, последовательности, доказательства.

Annotation. When young mathematicians are told about this problem, they are immediately warned that it is not worth taking up its solution, because it seems impossible. A simple-looking hypothesis could not be proved by the best minds of mankind. For comparison, the famous mathematician Paul Erdos said: «Mathematics is not yet ripe for such questions.» However, it is worth studying this hypothesis in more detail, which is investigated in this paper.

Keywords: Collatz hypothesis, hailstone numbers, series, algorithm, sequences, proofs.

In short, its essence is as follows. A certain number is selected and if it is not even, it is multiplied by 3 and 1 is added, if it is even, then divided by 2.

We can give an algorithm of this series for the number 7:

7 22 11 34 17 52 26 13 40 20 10 5 16 8 4 2 1

Next, a cycle is obtained:

1 4 2 1 etc.

This leads to the hypothesis that if you take any positive integer, if you follow the algorithm, it necessarily falls into the cycle 4, 2, 1. The hypothesis is named after Lothar Collatz, who is believed to have come to this hypothesis in the 30s of the last century, but this problem has many names, it is also known as the Ulam hypothesis, Kakutani's theorem, Toitz's hypothesis, Hass's algorithm, the Sikazuz sequence, or simply as "3n+1".

How did this hypothesis gain such fame? It is worth noting that in the professional environment, the fame of such a hypothesis is very bad, so the very fact that someone is working on this hypothesis may lead to the fact that this researcher will be called crazy or ignorant.

The numbers themselves that are obtained during this transformation are called hailstones, because, like hail in the clouds, the numbers then fall, then rise, but sooner or later, all fall to one, at least so it is believed. For convenience, we can make an analogy that the values entered into this algorithm are altitude above sea level. So, if you take the number 26, then it first sharply decreases, then rises to 40, after which it drops to 1 in 10 steps. Here you can give a series for 26:

Ваша оценка очень важна

0
Шрифт
Фон

Помогите Вашим друзьям узнать о библиотеке

Скачать книгу

Если нет возможности читать онлайн, скачайте книгу файлом для электронной книжки и читайте офлайн.

fb2.zip txt txt.zip rtf.zip a4.pdf a6.pdf mobi.prc epub ios.epub fb3

Популярные книги автора