Aliyev Ibratjon Xatamovich - All sciences. №1, 2023. International Scientific Journal стр 8.

Книгу можно купить на ЛитРес.
Всего за 5.99 руб. Купить полную версию
Шрифт
Фон

To maximize the output of optical radiation, the TO-18 housing with a parabolic reflector is used, which allows collimating radiation at an angle of 1011o. Figure 3 shows the design of the IR LED:


Fig. 3. LED with a parabolic reflector: a) design, b) radiation spectra, c) VAC (where: 1  LED chip (1.94 microns), 2  thermal cooler, 3  LED chip (2.2 microns), 4  parabolic reflector)


LEDs based on the GaAlAsSb/GaInAsSb/ GaAlAsSb double heterostructure had a quantum yield of 5.8%, a radiation wavelength of 1.94 microns for measuring the moisture content of raw cotton, its main parameters are shown in Table 2.

The proposed design provides equal conditions for two LED crystals, thus eliminating the time and temperature instabilities of their main parameters.



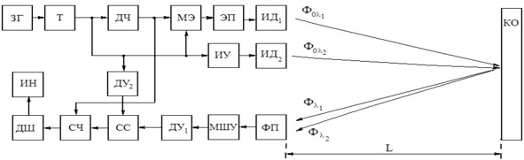
Fig. 3 shows a block diagram of a digital humidity meter, which consists of the following elements: a master generator  ZG; trigger  T; frequency divider  DC; differentiating devices  DU1, DU2; exponent modulator  ME; emitter repeater  EP; pulse amplifier  IU; radiation receiver  AF; low  noise amplifier  MSU; matching circuit  SS; counter  SCH; decoder  DS; indicator  IN; reference LED  ID1; measuring LED  ID2.


Fig.4. Block diagram of a humidity meter on semiconductor emitters


The characteristic features of the humidity meter on semiconductor emitters are high selectivity, sensitivity, accuracy and reproducibility of measurements, as well as the possibility of continuous non-destructive testing, contactless and rapid analysis.

Conclusion

To create a humidity meter on semiconductor emitters, the optimal absorption band free from the absorption band of interfering components l1 = 1.94 microns has been determined.

The optoelectronic device uses LEDs based on GaAlAsSb/GaInAsSb/GaAlAsSb (2.2 microns) as the emitting diode at the reference wavelength, and LEDs based on GaAlAsSb/GaInAsSb/GaAlAsSb (1.94 microns) as the emitting diode at the measuring wavelength.

The absolute error of the moisture content measurement results was 0.5%.

Literature

1. Bashkatov A. S., Mescherova D. N. «The main trends in the development of optoelectronic technology until 2030,» Abstracts of the Russian Conference and School of Young scientists on current problems of semiconductor photoelectronics «Photonics-2019», 2019, doi: 10.34077/rcsp201925. pp.2526.

2. Bogdanovich M. V. «Water content meter in oil and petroleum products based on infrared optoelectronic LED-photodiode pairs,» Journal of Technical Physics, 2017, doi:10.21883/jtf.2017.02.44146.1791.

3. Masharipov Sh. M. Analysis of modern methods and technical means of measuring humidity of cotton materials. // Devices, 2016, No. 4., pp. 3137.

4. Demyanchenko M. A. Absorption of infrared radiation in a multilayer bolometric structure with a thin metal absorber // Optical Journal.  2017. Volume 84  pp. 4856.

5. Rakovics V., Imenkov A. N., Sherstnev V. V., Serebrennikova O. Yu., Ilyinskaya N. D., Yakovlev Yu. P. «Powerful LEDs based on InGaAsP/InP heterostructures,» fiz. i tekhnika poluprovodn., 2014.t.48.s.16931697.

6. Artemov V. G., Volkov A. A., Sysoev N. N. «The absorption spectrum of water as a reflection of charge diffusion // Izvestia of the Russian Academy of Sciences. Physical series, Proceedings of the Russian Academy of Sciences. The series is physical.  2018.  vol.82.  pp. 6771. doi: 10.7868/s0367676518010143.

DEVICES FOR REMOTE TEMPERATURE CONTROL BASED ON LEDS (λ=2.0 microns)

UDC 621.38

Qoldashov Obbozjon Xakimovich


Doctor of Technical Sciences, Professor of the Scientific Research Institute "Physics of Semiconductors and Microelectronics" at the National University of Uzbekistan

Ergashev Doniyor Jamoliddin ugli

2nd year Master of the Department of "Physics of Semiconductors and Polymers" of the Faculty of Physics of the Mirzo Ulugbek National University of Uzbekistan


Scientific Research Institute "Physics of Semiconductors and Microelectronics" at the National University of Uzbekistan

Annotation. An optoelectronic device for remote temperature control of small-sized objects is proposed, which can be successfully used in the study of temperature characteristics of solar installations.

Keywords: temperature, optoelectronics, sensor, control, LED, photodiode, block diagram, design.

Аннотация. Предложено оптоэлектронное устройство для дистанционного контроля температуры малоразмерных объектов, которое может быть успешно использовано при исследовании температурных характеристик гелиотехнических установок.

Ключевые слова: температура, оптоэлектроника, датчик, контроль, светодиод, фотодиод, блок схема, конструкция.


The device for remote temperature control contains a monitoring object 1, which through a modulator 2 is optically connected to the first radiation receiver 3, whose output is through the first amplifier 4, the first amplitude detector 5 and the first integrator 6, connected to the first input of the signal ratio receiving device 13, the second radiation receiver 7, whose output is through the second amplifier 8, the second amplitude detector 9 and the second integrator 10 are connected to the second input of the signal ratio receiving device 13 whose output is connected to the input of the recording device 14, the control device of the source of the collimated radiation 12, the input of which is connected to the output of the first amplifier 4, and the output is connected to the input of the source of the collimated radiation 11, which, through reflection from the surface of the controlled object 1, is optically connected to the second radiation receiver 7, an electric motor 15, the rotor of which is mechanically connected to the axis of rotation of the modulator 2. In Fig.4.13. the design of the modulator is shown. Here: 16 is the axis of rotation of the modulator; 17 is the modulating holes; 18 is a metal disk. Figure 4.14 shows time diagrams explaining the principle of operation of the proposed device. Figure 1 shows a block diagram, and Figure 2 shows the sensor design.

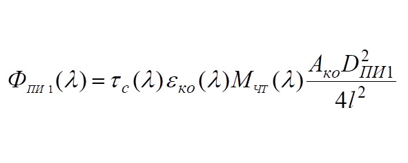
The optoelectronic device works as follows. The thermal radiation flux FPI1 (λ) of the control object 1, which is proportional to its temperature, passes the distance l, is modulated by the modulator 2 and enters the sensitive area of the first radiation receiver. The flux reaching the sensitive area of the first radiation receiver, according to the theory of optoelectronic devices, is defined as:



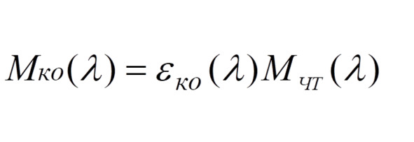
where: tc (λ) is the spectral transmittance of the atmosphere; Mco (λ) is the spectral density of the energy luminosity radiating from the surface of the controlled object; Ako is the area of the radiating surface of the controlled object; DP1 is the diameter of the entrance pupil of the first radiation receiver; l is the distance between the controlled object and the first photodetector.

Table 1 shows the main characteristics of photodiodes

Considering that



expressions (1) will take the form:



where: eko (λ) is the spectral coefficient of thermal radiation of the controlled object; MCHT (λ) is the spectral density of the energy luminosity of the black body. Considering that the radiation receiver operates in a limited spectral range, expression (2) for wavelengths λ1m, which corresponds to the maximum sensitivity of the first radiation receiver, can be written as:



where: ελ1mk0 is the spectral coefficient of thermal radiation of the controlled object at wavelengths λ1m; Mλ1mcht is the spectral density of the energy luminosity of the black body at wavelengths λ1m; τλ1mc is the transmittance of the atmosphere at wavelengths λ1m.

Ваша оценка очень важна

0
Шрифт
Фон

Помогите Вашим друзьям узнать о библиотеке

Скачать книгу

Если нет возможности читать онлайн, скачайте книгу файлом для электронной книжки и читайте офлайн.

fb2.zip txt txt.zip rtf.zip a4.pdf a6.pdf mobi.prc epub ios.epub fb3