Aliyev Ibratjon Xatamovich - All sciences. №6, 2022. International Scientific Journal стр 7.

Книгу можно купить на ЛитРес.
Всего за 340 руб. Купить полную версию
Шрифт
Фон

It is shown that the optical activity of the α-HgS crystal has a stronger effect on the angular distribution of the photovoltaic current measured in linearly polarized light.

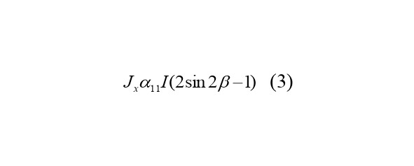
Fig. 3. shows the orientation dependence of the photovoltaic current Jx (β) in α-HgS. In accordance with (1) and the symmetry of the point group 32, the expression for Jx (β) when illuminated in the direction of the y axis has the form



where is the angle between the plane of polarization of light and the xaxis.

Comparison of the experimental angular dependence of J

x

K

11

9

x

x

x

x

x

x

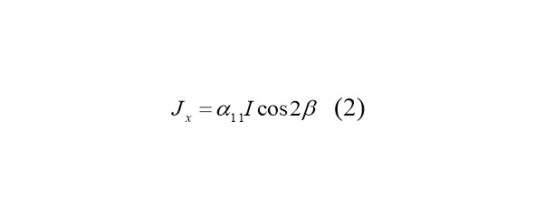
In accordance with (1), the angular dependence of J

x



where β is the angle between the plane of light polarization and the y axis.

Figure 2 indicates a good correspondence between the experimental dependence of J

x


Fig.3. Orientation dependence of the photovoltaic current Jx (β) in a-HgS (T=133

0


Figure 4 shows the spectral-angular diagram of the photovoltaic current Jx. Obviously, its shape is determined by its optical activity in the z-direction, its spectral dispersion, as well as the spectral distribution of the photovoltaic effect in α-HgS.

The optical dependence in the z  direction thus leads to the formation of the structure of the spatial oscillating photovoltaic current Jx. The photovoltaic current oscillates in the z-direction with a period of



Where χ is the optical activity coefficient.

The angular dependence of J

x



where α* is the light absorption coefficient.


Fig. 4. Spectral  angular diagram of photovoltaic current in a-HgS (T=133

0


Note: The Board of Authors thanks V. A. Kuznetsov for providing the crystals and V. M. Fridkin for the discussion.

Literature

1. Glass A.M.Van der Liebe D. Herren T.J. High- voltage Bulk Photovoltaic effect and the Photorefractive process in Limbo. //J. Appl. Phys. Lett. 1974. N4 (25) p.233-236.

2.Fridkin V.M., Photosegnetoelectrics. M., Nauka, 1979, pp.186-216.

3.Belinicher V. I. Studies of photovoltaic effects in crystals. Diss. for the job application. Doctor of Physical and Mathematical Sciences. Novosibirsk. 1982. 350 P.

4. Sturman B. I., Fridkin V. M. Photovoltaic effects in media without an inversion center. -M., Nauka.1992. -p-208.

5. Efremova E. P., Kuznetsov V. A., Kotelnikov A. R. Crystallization of cinnabar in hydrosulfide solutions. // J. Crystallography. 1976. vol.21. v.3. pp.583586.

6. Donetskikh V. I., Sobolev V. V. Reflection spectra of trigonal HgS. // J. Optics and spectroscopy. 1977. vol.42. v.2. pp.401403.

7.Fridkin V. M. Volumetric photovoltaic effect in crystals without a center of symmetry. // Crystallography. 2001. Vol. 46, N 4. pp. 722726.

РОЛЬ РЕЗОНАНСНЫХ ЯДЕРНЫХ РЕАКЦИЙ В СОВРЕМЕННОЙ ЭНЕРГЕТИКЕ. THE ROLE OF RESONANT NUCLEAR REACTIONS IN MODERN ENERGY

Жалолов Ботирали Рустамович


Генеральный директор «Clipper Energy» LLC и «Clipper Associates» Corp

«Clipper Energy» LLC, «Clipper Associates» Corp., Malaysia

Каримов Боходир Хошимович

Кандидат физико-математических наук, доцент физико-технического факультета Ферганского государственного университета

Алиев Ибратжон Хатамович

Студент 2-курса факультета математики-информатики Ферганского государственного университета

Ферганский государственный университет, Фергана, Республика Узбекистан

Zhalolov Botirali Rustamovich

General Director of «Clipper Energy» LLC and «Clipper Associates» Corp

«Clipper Energy» LLC, «Clipper Associates» Corp., Malaysia

Karimov Bahodir Khoshimov

Candidate of Physical and Mathematical Sciences, Associate Professor of the Faculty of Physics and Technology of Fergana State University

Aliev Ibratjon Khatamovich

2nd year student of the Faculty of Mathematics and Computer Science of Fergana State University


Ferghana State University, Ferghana, Republic of Uzbekistan

Аннотация. Современную энергетику просто невозможно представить без составляющей в лице атомных электростанций, в основе которых лежат явления распада урана-238 и урана-235, в том числе с использованием саморазмножающихся методов деления. Но как известно источники не вечны, по этой причине важно нахождение нового способа по выделению максимально большого количества электрической энергии и, если верить результатам современных исследований, явным кандидатом на подобный титул могут стать резонансные ядерные реакции, которые изучаются на основе совершенно новой науки  физики резонансных ядерных реакций (ФРЯР).

Ключевые слова: физика резонансных ядерных реакций, энергетическая составляющая, кулоновский барьер, ядерные реакций, физика атомного ядра и элементарных частиц, ядерное эффективное сечение, длина волны.

Annotation. It is simply impossible to imagine modern energy without a component in the face of nuclear power plants, which are based on the decay phenomena of uranium-238 and uranium-235, including using self-multiplying fission methods. But as you know, the sources are not eternal, for this reason it is important to find a new way to release as much electrical energy as possible and, if you believe the results of modern research, resonant nuclear reactions, which are studied on the basis of a completely new science  physics of resonant nuclear reactions (PRNR), can become a clear candidate for such a title.

Keywords: physics of resonant nuclear reactions, energy component, Coulomb barrier, nuclear reactions, physics of atomic nucleus and elementary particles, nuclear effective cross section, wavelength.

А. Русская версия


1. Общие понятия ядерных реакций

Сама по себе ядерная реакция, это процесс взаимодействия атомного ядра с другим ядром или элементарной частицей, которая может сопровождаться изменением структуры, строения, состава ядра, образованием новых ядер или элементарных частиц и введением дальнейших изменений. Также последствием ядерной реакции может стать его деление, спускание как элементарных частиц, так и безмассовых протонов. Вместе с этим, из-за действия несколько иных законов, при которых масса активно может превращаться в энергию и обратно, кинетическая энергия результирующих частиц вполне, может быть, не равна сумме изначальных.

Подобные ядерные реакции являются экзо-энергетическими или выделяющими энергию. Первая ядерная реакция была проведена Эрнестом Резерфордом в 1917 году, при бомбардировке альфа-частицами ядра атомов азота. Она была полностью зафиксирована благодаря появлению вторичных ионизирующих частиц, пробег коих в газе был больший чем пробег альфа-частиц, после чего и были идентифицированы как протоны. Процесс же позже был сфотографирован.

К слову, об этом, важно сказать, что для фотографирования ядерных реакций используется камера Вильсона. Говоря же о механизмах взаимодействия, то можно выделить два вида такого взаимодействия, а именно:

1. Реакция с образованием составного ядра, этот процесс состоит из двух стадий, при этом налетающая частица соединяется с самим бомбардируемым ядром, составляя общее ядро, которое позже распадается. Такая ядерная реакция протекает на небольших энергиях, до 10 МэВ;

2. Прямые ядерные реакции, проходящие уже сразу, за ядерное время, которое составляет мельчайшие доли секунды и рассчитываются исходя из иных факторов, одним из которых является время пересечения ядра частицей. Главным образом такой вид реакции выражается лишь на очень больших энергиях бомбардирующих частиц.

В случае сохранения первоначальных ядер после самой ядерной реакции, также не рождаются новые частицы, то реакция считается упругим рассеянием в поле ядерных сил, без какого-либо внутреннего взаимодействия. Такая реакция сопровождается лишь передачей кинетической энергии и импульса одной налетающей частицы ядру-мишени, называясь потенциальным рассеянием и полноценно подчиняясь законам сохранения импульса в этом случае.

Ваша оценка очень важна

0
Шрифт
Фон

Помогите Вашим друзьям узнать о библиотеке

Скачать книгу

Если нет возможности читать онлайн, скачайте книгу файлом для электронной книжки и читайте офлайн.

fb2.zip txt txt.zip rtf.zip a4.pdf a6.pdf mobi.prc epub ios.epub fb3