Боходир Хошимович Каримов - Электроника асослари. Ўқув қўлланма стр 5.

Книгу можно купить на ЛитРес.
Всего за 132 руб. Купить полную версию
Шрифт
Фон

«3 0 Д I 0 I А»  арсенид галлий ярим ўтказгичли материалидан тайёрланган оптрон жуфтли диод, биринчи ишлаб чиқарилиши, параметрик группаси «А» (ўтказиш коэффициенти I%, кириш кучланиши  1,5В) ва х.з.

ТЎҒРИЛАГИЧ ДИОДЛАРИ ВА УСТУНЧАЛАР

Турли тўғрилагич схемаларида ясси юзали диодлар ишлатилади. Бунинг учун қотишма ёки диффузион технология усули билан олинган ясси юзали кремний диодлари, тўғрилагич устунчалари кенг ишлатилади. Диодлар хаммаси катта юзали «р  n» ўтишга эга бўлиб, тўғри йўналишда катта (50А гача бўлган) токларни ўтказиш хусусиятига эга. Тўғрилагич устунчалари кетма  кет уланган бир хил турли диодлардан иборат бўлиб, пластмасса корпусга жойлаштирилади. Устунчалар катта (15000B гача) тескари кучланишга мўлжалланган бўлиб, электрон асбобларнинг юқори кучланишли блокларида кенг қўлланилади. 2.11-расмда кремний асосли ясси юзали тўғрилагич диодлари ва устунчаларининг (В) тузилиши, вольт  ампер тавсифномаси (ВАТ) оиласининг хароратга боғликлиги кўрсатилган. Бундай диодларнинг асосий параметрлари бўлиб қуйидагилар хисобланади:

1. Максимал рухсат этилган тўғри ток. I 

мах

2. Тўғри кучланиш U 

туг

3. Берилган тескари кучланишдаги тескари ток. I

 тек

4. Рухсат этилган максимал тескари кучланиш. U 

текс

5. Ишчи диапазон харорати Т, (

0

Стабилитронлар  диодларга электр бузилишларининг қайтар бўлиши катта амалий ахамиятга эга. Чунки бунда тескари токнинг бирор кичик қийматдан бошлаб диоддаги потенциал тушувчи токка боғлиқ бўлмай қолади. Ярим ўтказгичли диоднинг бу хусусиятидан кучланишни стабилизацияловчи элемент сифатида ишлатиш имконини беради. Бундай ярим ўтказгичли диодлар стабилитронлар деб аталади.


2.11 расм. Тўғрилагич диодлар ва устунчалар: а  кавшарланган кам қувватли кремнийли диод: 1  чиқиқ, 2  шиша изолятор, 3  корпус, 4  кристалл тутқич, 5  алюминий сим, 6- кристалл, 7- кавшар; б  қувватли тўғрилагич диоди: 1  чиқиқлар, 5  ковшар, 6  кристалл тутқич; в  тўғрилагич. устунча, г-кремний ясси тўғрилагич диодларининг иш харароти бўйича ВАТси.


Стабилитрон кучсимон ёриб ўтиш ходисасига асосланиб ишлайди. Стабилитрон қўйилган тескари йўналишдаги кучланиш орттириб борилса, диоддан ўтадиган тескари ток миқдори жуда кичик бўлганлигидан, схеманинг чиқишида кучланиш хам ортиб боради. Кучланиш миқдори кучсимон ёриб ўтиш миқдрорига ётганда диоддан ўтаётган ток кескин ортиб кетади. Чиқиш кучланиши эса бир оз камаяди.

Кириш кучланишнинг бундан кейинги ортиши стабилитрон орқали ўтувчи токни оширишга сарфланади ва чиқиш кучланиши деярли ўзгармайди. Бу оралиққа тўғри келган чиқиш кучланиши, стабилитроннинг стабилизациялаш кучланиш деб аталади.

Стабилитронлар стабилизациялаштириш ва импульсларни амплитуда қиймати бўйича чеклаш учун мўлжалланган. Булардан ташқари, уларни берилган кучланишнинг таянч манбалари сифатида хам ишлатиш мумкин.

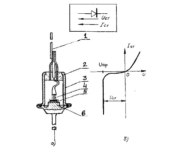
Стабилитроннинг тузилиши ва унинг ВАТ лари 2.12  расмда кўрсатилган. Стабилитрон диод учун асосий материал сифатида акцептор аралашмали алюминий эритиб киритилган «n»  турли кремний пластинкаси олинади. «р-n»  ўтишли кристаллни герметик берк металл экран ичига жойлаштирилади. ВАТ-нинг тескари токлар сохасига тўғри келган қисми токлар ўқига параллел бўлган тик тўғри чизиқ, кўринишида бўлади. Демак, ток кенг чегараларда ўзгарганда хам, стабилитрон кучланиши деярли, ўзгармайди. Стабилитронлар кетма  кет уланганда, умумий кучланиш айрим стабилитронлар кучланишларининг алгебраик йиғиндисига тенг.



Стабилитроннинг параметрлари қуйидагилар:

1. Стабилизация кучланиши 

2.Кучланишнинг стабилизация коэффициенти:



3. Дифференциал қаршилиги  R

диф.

4.Стабилитронниинг максимал (I мох) ва минимал (I мин) токлари

5. Максмисал сочилиш куввати  Р

мах

Rю  юклама каршилиги стаблитронга параллел улангани учун стабилизация режимида стабилитрон ва юкламада кучланиш бир хилда булади.

Айрим холда стабилитрон хосил булган кучланишдан кичикрок булган стабилизицияланган кучланиш олиш керак булади. Бунинг учун юкламага кушимча кетма-кет резистор уланади. У Ом конунига асосан топилади.

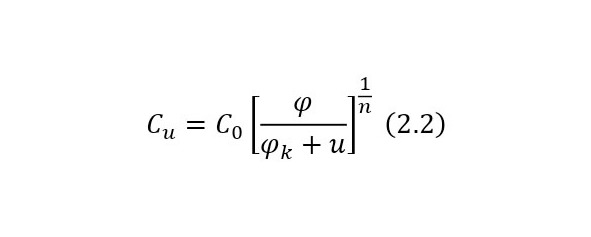
Варикаплар  ярим ўтказгичли диод бўлиб, сиғими тескари йўналишидаги кучланишга боғлиқ бўлади. Тескари кучланишнинг ортиши билан р-n ўтиш сиғимининг камайиши қуйидагича:



Бу ерда j

k

Со



2.12  расм. Кремнийли стбилитроннинг конструкцияси (а) ва ВАТи (б); 1,8  ташқи чиқиқ, 2 трубка, 3  изолятор, 4  корпус, 5  ички чиқиқ, 6  кристалл, 7  кристалл тутқич.


Стабилитроннинн кўллашнилиш схемаси 2.13-расм келтирилган.


2.13-расм. Стабилитронни уланиш схемаси.


Бундан тескари кучланишнинг ортиши билан р-n ўтишнинг кенглиги ортади ва сиғим кичраяди. Бу боғланиш варикапнинг волpтфара тавсифномаси (ВФТ) дейилади (2.14 б-расм).

Ваша оценка очень важна

0

Дальше читают

Шрифт
Фон

Помогите Вашим друзьям узнать о библиотеке

Скачать книгу

Если нет возможности читать онлайн, скачайте книгу файлом для электронной книжки и читайте офлайн.

fb2.zip txt txt.zip rtf.zip a4.pdf a6.pdf mobi.prc epub ios.epub fb3