Батыгин Кирилл Вадимович - Доклад о старении населения и профессиональном развитии пожилых людей в Китае стр 2.

Книгу можно купить на ЛитРес.
Всего за 399 руб. Купить полную версию
Шрифт
Фон

Табл. 1.3. Период, необходимый для достижения определенной доли пожилых людей в общем населении девяти стран

Источник: доклад ООН «О мировой демографической ситуации и перспективах ее развития – 2015». Данные по отдельным показателям в Германии отсутствуют. – Примеч. авт.


Темпы увеличения численности пожилого населения в различных возрастных группах за пятнадцать лет – с 2000 по 2015 год – отражены в табл. 1.4. В этот период резко увеличилось количество людей 60 лет и старше. Среди выбранных девяти стран по темпам роста этого показателя Китай (63,01 %) уступает только Бразилии (70,71 %) и Республике Корея (77,42 %). Аналогичная тенденция наблюдается и в возрастной группе 65 лет и старше. Китай здесь занимает четвертое место. Пожилое население КНР за пятнадцать лет заметно возросло, однако темпы этого роста не ускоренные.

Что касается темпов роста населения 80 лет и старше, показатели Китая ниже, чем в Республике Корея, Бразилии, Японии и Франции, но выше, чем в остальных странах (см. табл. 1.4).

Таким образом, КНР занимает средние позиции в рейтинге. За последние пятнадцать лет пожилое население старшего возраста в Китае росло значительно быстрее, чем пожилое население среднего и младшего возраста. На фоне этой тенденции следует уделять внимание проблемам со здоровьем у людей старшего поколения и уходу за ними.


Табл. 1.4. Темпы роста пожилого населения в девяти странах, в том числе в Китае, за 2000–2015 гг.

Источник: доклад ООН «О мировой демографической ситуации и перспективах ее развития – 2015».


Сравнение данных показывает, что темпы роста пожилого населения в КНР выше, чем в Европе, Америке и в Индии. Однако старение населения в Китае происходит медленнее, чем в Республике Корея и Бразилии.

По данным переписей населения, доля людей 60 лет и старше в общем населении Китая увеличилась с 6,1 % в 1964 году до 13,3 % в 2010 году. По результатам шестой переписи населения 2010 года, в материковом Китае (за исключением Гонконга, Макао и Тайваня) насчитывалось 177,65 млн чел. 60 лет и старше – 13,3 % от общей численности, а 65 лет и старше (8,9 %) – 118,83 млн чел. Общая численность населения материкового Китая в 2010 году – 1,34 млрд чел. Показатели представленных возрастных групп увеличились на 3 и 1,9 процентного пункта соответственно по сравнению с 2000 годом и на 6 и 4,5 – по сравнению с результатами первой переписи 1953 года. Примерно за последние шестьдесят лет как число, так и доля пожилых людей в общем населении Китая увеличивались ускоренными темпами. В особенности это касается периода с 2000 по 2010 год. Это значительно выше разницы значений, зафиксированных в ранних переписях. Тенденции старения населения Китая в это десятилетие развивались стремительно (табл. 1.5).


Табл. 1.5. Изменение долей пожилого населения различных возрастных групп в Китае по данным переписей населения

Источник: доклад «О старении населения и решении проблем пожилых людей в Китае – 2014» / под ред. Цзян Сянцюня и Ду Пэна. Пекин: China Renmin University Press Co, 2015

Ожидаемая продолжительность жизни населения Китая растет: она выше, чем в развивающихся странах, но ниже, чем в развитых

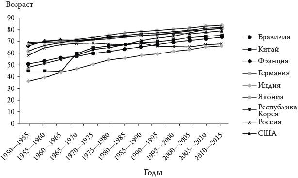
По мере социально-экономического развития в мире ожидаемая продолжительность жизни в отобранных девяти странах заметно возросла с 1950 по 2015 год. В 2015 году этот показатель в Китае достиг 75,25 года, то есть увеличился на 14,66 года (24,19 %). Самая высокая ожидаемая продолжительность жизни зафиксирована в Японии (83,51 года), а самая низкая – в Индии (66,28 года). Китай занимает средние позиции в рейтинге, опережая по этому параметру Бразилию (73,80 года), Индию и Россию (67,46 года) (рис. 1.1). КНР лидирует среди отобранных развивающихся стран, но уступает развитым государствам. Ожидаемая продолжительность жизни населения тесно связана с уровнем социально-экономического развития.


Рис. 1.1. График изменения ожидаемой продолжительности жизни в девяти странах, в том числе в Китае


Темпы роста ожидаемой продолжительности жизни максимальные в Индии (83,14 %), а минимальные – в США (14,97 %). Китай превосходит в этом отношении страны, представленные на графике, за исключением Индии и Республики Корея. Это связано со стремительным социально-экономическим развитием КНР.

Содержание пожилого населения в Китае сравнительно нетяжелое, однако далее бремя увеличится

Содержание пожилого населения – это количество трудоспособных людей в возрасте 15–64 лет, которые содержат одного человека 65 лет и старше. Этот показатель отражает бремя, которое ложится на трудоспособное население, обеспечивающее пожилых людей. По данным ООН за 2013 год, минимальное значение демонстрировала Япония (2,5 %), а максимальное – Индия (12,4 %). Китай среди девяти отобранных для сравнения стран занимает седьмую позицию. На этот период 8,2 % трудоспособного населения КНР поддерживали одного пожилого человека. Ожидается, что этот показатель к 2030 году сократится до 4,2 %, а к 2050 году – до 2,6 %, что сопоставимо с Японией в настоящее время. В ближайшие тридцать лет бремя содержания пожилого населения в Китае будет постоянно увеличиваться (табл. 1.6).


Табл. 1.6. Изменения показателей содержания пожилого населения в девяти странах, в том числе Китае, за 1980–2050 гг.


В 2013 году были показатели содержания пожилого населения были высокими в Японии (1:2,5 %), Германии (1:3,1 %), Франции (1:3,6 %), США (1:4,8 %) и Республике Корея (1:6,0 %). Высокое значение и в России (1:5,5 %). К середине XXI века бремя содержания пожилого населения в этих и многих других странах мира заметно возрастет.

Вовлеченность пожилого населения Китая в трудовую деятельность держится на среднем уровне. Этот показатель выше, чем во многих развитых странах, но ниже, чем в развивающихся

Степень вовлеченности пожилых людей в трудовую деятельность в развивающихся странах высокая. Исключение составляет Россия. В развитых странах, кроме Японии и Республики Корея, этот показатель низок. Такие тенденции зависят от экономического развития и социального обеспечения. В 2013 году вовлеченность в трудовую деятельность в Китае среди людей 65 лет и старше составила 19,4 %. Это значит, что примерно 20 из 100 пожилых людей либо работали неофициально, либо были трудоустроены на основе трудового договора[3]. По показателю вовлеченности пожилых людей Китай среди выбранных девяти стран занимает пятую позицию, среди развивающихся – вторую (табл. 1.7).


Табл. 1.7. Изменение вовлеченности в трудовую деятельность пожилых людей в девяти странах, в том числе Китае, за 1980–2050 гг.

Источник: рассчитано по докладу ООН «Данные о старении – 2013».


По прогнозам ООН, в 2020 году вовлеченность людей 65 лет и старше в трудовую деятельность повысится в разной степени в зависимости от страны. (Предполагается, что в Китае этот показатель останется прежним – Примеч. авт.) Это указывает на еще более активное участие пожилых людей в социально-экономическом развитии и на их крепкое здоровье.

Пожилые женщины Китая лидируют по показателям пребывания в браке по сравнению с другими странами. Разница между мужчинами и женщинами здесь относительно небольшая

В силу физиологических особенностей, образа жизни и других факторов средняя ожидаемая продолжительность жизни у женщин больше, чем у мужчин. Это явление влияет на долю состоящих в браке пожилых людей. У мужчин ожидаемая продолжительность жизни меньше, чем у женщин, поэтому у последних большая вероятность остаться в пожилом возрасте в одиночестве.

На пребывание в браке пожилых людей также влияют сформировавшиеся в молодости личные обстоятельства и социально-семейное положение. В Китае разница между долями состоящих в браке пожилых мужчин и женщин минимальна (17,8 %). Это связано с тем, что женщины данной возрастной группы в Китае заметно чаще состоят в браке, чем пожилые женщины в других странах (64,1 %). Самая большая разница по этому показателю между мужчинами и женщинами – в Республике Корея (43 %) (табл. 1.8).

Ваша оценка очень важна

0
Шрифт
Фон

Помогите Вашим друзьям узнать о библиотеке

Скачать книгу

Если нет возможности читать онлайн, скачайте книгу файлом для электронной книжки и читайте офлайн.

fb2.zip txt txt.zip rtf.zip a4.pdf a6.pdf mobi.prc epub ios.epub fb3