Панов А. В. - Программа НАСА «Меркурий» – фальшивые полеты. Признаки фальсификации стр 3.

Книгу можно купить на ЛитРес.
Всего за 51.9 руб. Купить полную версию
Шрифт
Фон

При вычислении температуры, которую достигает воздух на вогнутой стороне парашюта, мы исходим из следующего предположения*. Массе воздуха, которую встречает парашют, сообщается столько тепла и кинетической энергии, сколько кинетической энергии теряет ракета вследствие торможения. При этом необходимо также учесть энергию, излучаемую нагретым воздухом. Если воздушный поток полностью задерживался бы парашютом и не раскалялся бы, то его температуру можно было бы легко вычислить; но нагретый воздух должен излучать много тепла, кроме того, неизвестно, какая часть энергии движения воздуха в действительности теряется. Допустим, что она составляет 99%. Однако это допущение является произвольным.

Таким образом, приведенный расчет не может ни в малейшей степени претендовать на научную точность. Можно также исходить из другого предположения, – что при набегании воздушного потока на тело в точках встречи (остановки) воздух нагревается вследствие превращения энергии его движения в тепловую. Как известно, техническая единица массы весит 9,81 кг. Чтобы нагреть 1 кг воздуха на 1°, необходимо затратить 0,24 ккал; 1 ккал соответствует работе 426 кгм. Таким образом, для того чтобы нагреть техническую единицу массы на 1°, требуется 1000 кгм. Если воздух движется со скоростью v, то каждая единица массы обладает кинетической энергией v²/2 кгм. Таким образом, набегающий воздух, теряя свою скорость перед телом, нагревается на v²/2000 °С“. [3] Следует отметить, хотя это могло быть ошибкой переводчика, что маловероятно, следующее: Метеориты не могут нагреваться до указанных Обертом температур потому, что при температуре порядка 3000 произойдет испарение этого объекта. Указанные Обертом температуры правильнее было назвать температурой плазмы, которая окружает метеорит в момент его попадания в земную атмосферу. Советские ученые, в статье Большой Советской Энциклопедии „Аэродинамический нагрев“ выражаются более правильно: „Аэродинамический нагрев, нагрев тел, движущихся с большой скоростью в воздухе или другом газе. А. н. – результат того, что налетающие на тело молекулы воздуха тормозятся вблизи тела.

Если полет совершается со сверхзвуковой скоростью культур, торможение происходит, прежде всего, в ударной волне, возникающей перед телом. Дальнейшее торможение молекул воздуха происходит непосредственно у самой поверхности тела, в пограничном слое. При торможении молекул воздуха их тепловая энергия возрастает, т. е. температура газа вблизи поверхности движущегося тела повышается максимальная температура, до которой может нагреться газ в окрестности движущегося тела, близка к т. н. температуре торможения:

T

0

н

2

p

где Т

н

p

Судя по тексту публикации бывшего медицинского работника в военном госпитале Оберта Германа, он не понимал о чем идет речь. Автор называл температуру торможения, температуру «газа в окрестности движущегося тела» (БСЭ), температурой тела: «Таким образом, искомая температура значительно превышает для ракет 5000°. Если же необходимо предотвратить такое сильное нагревание поверхности, следует подвести достаточное количество охлаждающего вещества, чтобы оно могло отнять тепло Q»… При скорости 10000 м/сек эта температура, безусловно, превышает 15000°. Вероятно, она даже превышает 20000°». [3] Немецкий гений не мог додуматься до очень простой мысли о том, что при названных температурах тело существовать не сможет. Оно просто исчезнет и превратиться в раскаленный газ. Вероятно, что немецкий инженер просто не знал о температурах кипения и температуре испарения железа, базальтов, других металлов. Хотя, с другой стороны, автор Герман Юлиус Оберт в своей публикации вскользь упоминает о парах металла: «Здесь, конечно, предполагается, что закон Стефана-Больцмана выполняется для паров металлов при θ°». [3]

Но в тексте все равно автор использует термин «температуры тела», «температура поверхности объекта». Герман Оберт в своей публикации поставил задачу определения температуры неохлажденной поверхности космического объекта, в частности космического аппарата. В начале этой главы он сразу указал, что означают условные обозначения: При температуре 20000° никакое тело сохраниться не может.

h – толщина воздушного слоя, необходимого для торможения.

p – параметр траектории полета ракеты для межпланетных полетов.

p – давление воздуха после сжатия.

p0 – давление воздуха до сжатия.

r – радиус Земли.

s – высота над поверхностью Земли.

t – кажущаяся температура воздуха, обусловленная движением.

v – скорость.

H – 7300 – 7400 м

L – сопротивление воздуха.

Q – количество подведенного тепла.

S – количество тепла, отданного излучением.

T – абсолютная температура.

T1 – абсолютная температура после сжатия.

T0 – абсолютная температура до сжатия.

β – барометрическое давление.

βS – давление воздуха на высоте S.

θ – абсолютная температура тела, нагретого вследствие трения в воздухе.

k – отношение между удельными теплоемкостями при постоянном давлении и постоянном объеме.

μ – масса 1 м³ в технических единицах.

ρ – радиус-вектор (проведенный к центру Земли).

α – постоянная излучения в законе Стефана-Больцмана.

τ – истинная температура воздуха.

φ – угол между радиусом-вектором р и избранным неподвижным направлением». [3]

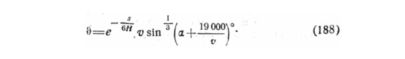
Как видно из списка параметров и обозначений, приведенных автором в начале главы, эту величину θ он упорно называет температурой тела и пытается вывести формулу определения указанной величины, в зависимости от угла вхождения метеорита в атмосферу: «Так как в действительности мы можем сказать лишь кое-что о наблюдаемых излучениях, а об истинной температуре метеоритных тел мы не делали никаких предположений, то следует заключить, что & есть эффективная температура, т.е. та температура, которую должно было бы иметь абсолютно черное тело, светящееся с яркостью; метеорита. Но эта температура и нужна, так как мы хотим лишь знать, какое количества тепла излучается или, вернее, какое количество тепла было-приобретено… Температура неохлажденной поверхности, расположенной под углом α к воздушному потоку, при скоростях 5000 – 15000 м/сек может быть определена по формуле:



Приведенные выше формулы выводились так подробно лишь потому, что они, по нашему мнению, дают результаты, приближающиеся к действительности больше, чем все известные нам формулы». [3] В своей публикации автор довольно подробно описал, как он получил формулу для определения температуры торможения в зависимости от угла входа космического аппарата в атмосферу, от скорости такого объекта, которая была перед торможением в атмосфере земли. Оберт, при этом самом, признавал, что формула является приблизительной: «Это, конечно, лишь очень грубая оценка. Результат может оказаться в 10 раз больше или меньше действительного значения; но он дает, по крайней мере, некоторое представление о порядке величины теплопередач, с которыми нам придется иметь дело». [3] Судя по тексту публикации Оберта, у него не было представления о том, что во время сверхзвукового полета возникает ударная волна: «Ударная волна – это скачок уплотнения, распространяющаяся со сверхзвуковой скоростью тонкая переходная область, в которой происходит резкое увеличение плотности, давления и скорости вещества. Ударные волны возникают при сверхзвуковых движениях тел». [5] Не трудно понять, что в ударной волне, в условиях реального газа, происходит резкое увеличение температуры. Такой факт подтверждают известные публикации Физической Энциклопедии, Большой Советской Энциклопедии.

Ваша оценка очень важна

0
Шрифт
Фон

Помогите Вашим друзьям узнать о библиотеке

Скачать книгу

Если нет возможности читать онлайн, скачайте книгу файлом для электронной книжки и читайте офлайн.

fb2.zip txt txt.zip rtf.zip a4.pdf a6.pdf mobi.prc epub ios.epub fb3