Aldzhanov Vadim - IT Architecture from A to Z: Theoretical basis. First Edition стр 23.

Шрифт
Фон

Diagram: “Decision Tree Analysis”


When forming a tree, the following four types of graphic symbols are used:

• Squares – decision places.

• Circles – the places where the outcomes appear.

• Dotted lines – possible solutions.

• Triangles or straight lines – possible outcomes.


Expected Monetary Value (EMV) for each alternative should be estimated. It mostly consists of the sums of the winnings estimates to be multiplied by the likelihood of the winnings realization, for all possible options.

SWOT Analysis

Strengths Weakness Opportunities Threats (SWOT) Analysis is a method for evaluating the internal and external factors affecting the development of a company. It will help assess the strengths and weaknesses of your business, find new opportunities and identify possible threats. SWOT analysis divides the influence factors into four categories, identifying company’s strengths, weaknesses, opportunities and threats:

•S-strengths (the sale of goods directly to the buyer, the profit is greater than that of competitors, customer service is the best on the market, etc.);

•W-weaknesses (insufficient partners, ineffective advertising, small target audience);

•O-opportunities (potential customers will find out everything they need about your product from the Internet, purchases are made 24 hours a day, regardless of whether you work or not);

•T-threats (your competitors’ brand is better known in the market, the quality of products offered by competitors is higher).

SWOT analysis is often used in strategic planning. It can start any action of the company, such as the study of new initiatives, new development strategies, and possible changes. Internal factors are strengths and weaknesses relating to internal factors, which can be easily evaluated:

• Financial resources (financing, income opportunities);

• Physical resources (your equipment, buildings, location);

• HR (employees, sometimes volunteers, target audience);

• Access to natural resources, copyrights, patents;

• Current processes (all events taking place in the company, motivational programs, training programs, a system of departmental hierarchy, etc.)

Answer the following questions in order to find the strengths of your business:

• What are the benefits of your business?

• What are you doing better than everyone else is?

• What are your strengths seen by your customers?

• What is your Unique Selling Proposition (USP)?

• How can you increase your profits?


Consider your strengths from your point of view and from your clients’ point of view. Assess your strengths relative to competitors. External factors – the influence of external circumstances on each organization and individual person is very strong. External factors are, as a rule, the circumstances that cannot be controlled by you and your company:

• Market trends (new products, technologies, changes in the needs of the target audience);

• Economic trends (local, national, international financial areas);

•Financing (donations, government influence, taxes, etc.);

• Demographic information (age, gender, race, nationality, cultural values of the target audience);

• Relations with suppliers and partners;

• The political, environmental, economic situation in the country.

Program Evaluation and Review Technique (PERT)

The Program Evaluation Review Technique (PERT) method is often used in project management and production analysis. The PERT method is a tool that calculates the expected duration of the project or an individual process. When managing projects, the PERT method usually used in conjunction with the critical path method Critical Path Method (CPM).

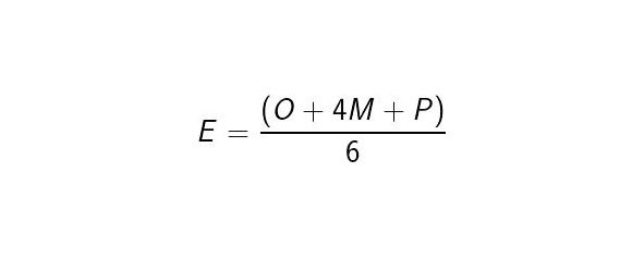
The PERT method and the critical path method are fundamentally different in their application area. The critical path method is used to estimate the completion time of the entire project or groups of interrelated tasks, while the PERT method is used to estimate the duration of individual tasks. The very idea of the method is extremely simple, i.e. in order to estimate the time it takes to complete a task or process, one needs to know the optimistic, pessimistic, and most likely estimate of the duration of this task. The PERT formula is:


Picture of « Critical path method”


O – optimistic estimate of the task duration,

M – the most likely estimate of the duration of the task,

P – pessimistic estimate of the problem duration.


Picture of “PERT Chart”


This equation is nothing more than a weighted average, where the most likely estimate of the duration is 4 times greater than the optimistic and pessimistic estimates. This approach prevents too much bias in one direction.

Gantt Chart

A Gantt Chart is a popular type of bar charts (histograms), used to illustrate the plan, schedule of work on a project. It is one of the project planning methods and used in project management applications. Currently, the Gantt chart is the de facto standard in the theory and practice of project management, at least to display the structure of the list of works on the project.


“Gantt chart” diagram


A Gantt chart is a segment placed on a horizontal time scale. Each segment corresponds to a separate project, task or subtask. Projects, tasks and subtasks that make up the plan are placed vertically.

The beginning, end, and length of a segment on the time scale correspond to the beginning, end, and duration of the task.

Earned Value Analysis (EVA)

Earned Value Analysis (EVA) is the calculation of project performance indicators within the scope of the acquired volume. EVA is based on the same principles as cost trend analysis and is usually used in large projects. The basis is taken from the figures: The earned value, planned and actual costs. Let’s consider the following example:

The task 1 must be completed by one performer (P1) within two days (2 x 8 hours = 16 hours), the cost of work of the performer is $ 10.00 per hour (planned expenditure = $ 10.00 x 16 hours = $ 160.00).

In fact, the performer finished work on the third day, having spent additional two hours. The indicators are the fact of time (2 x 8 hours +2 hours = 18 hours), while actual expenses = $ 10.00 x 18 hours = $ 180.00.

The result is:

On the morning of the third day the result of the task 1 = 16 / (16 +2) * 100% = 89% and the cost of the Task 1 = $ 180.00

Conclusion: Common sense tells us that we spend money faster than we get the result.

Main method indicators:

Planned Value (PV) is an amount of planned work within basic prices. In our example, PV is equal to $ 160, since the basic amount of work to be completed by Wednesday is 16 person-hours, and the base price is $ 10 per hour.

Earned Value (EV) is a completed part of the work of the planned amount. It is percentage of completion of work, multiplied by the base task budget. This indicator used to be called BCWP (base cost of work performed). In our example, EV is equal to $ 142, since the percentage of the task carried out is equal to 89%, and its base budget is $ 160.

Actual Cost (AC) is a real cost of work performed. It is measured by the amount of money that is actually available for the work performed. In our example, AC is equal to $ 160, because in fact, the performer spent 16 hours, and every hour costs $ 10.

Budget at Completion (BAC) is fixed at the start of the project as the amount of the approved budget for the entire project. In our case, it is equal to $ 160.

Cost Variance (CV) is a value deviation (formula: CV = EV-AC). $142.00 – $160.00 = – $18.00. Negative value means that the budget has been exceeded, while a positive implies that the budget has been saved. In our case, the budget has been overspent.

Ваша оценка очень важна

0
Шрифт
Фон

Помогите Вашим друзьям узнать о библиотеке

Скачать книгу

Если нет возможности читать онлайн, скачайте книгу файлом для электронной книжки и читайте офлайн.

fb2.zip txt txt.zip rtf.zip a4.pdf a6.pdf mobi.prc epub ios.epub fb3