Константинов Александр Сергеевич - Методы тестирования радиооборудования сети LTE. Подробный анализ стр 2.

Книгу можно купить на ЛитРес.
Всего за 480 руб. Купить полную версию
Шрифт
Фон

В таблице 1.1 представлены параметры радиоинтерфейса LTE-Advanced.


Таблица 1.1. Параметры радиоинтерфейса LTE-Advanced


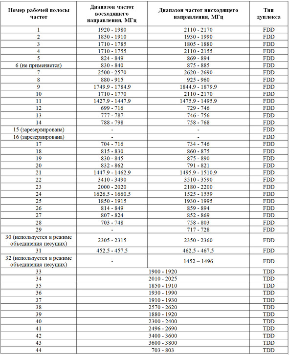
В таблице 1.2 представлены рабочие полосы частот и соответствующие им частотные диапазоны стандарта LTE двенадцатой редакции (подпункт 5.5 спецификации ETSI TS 136.141). По данным, приведенным в этой таблице, можно сделать вывод о высокой степени гибкости стандарта в этом аспекте.


Таблица 1.2. Поддерживаемые диапазоны частот LTE двенадцатой редакции


Технические спецификации вышеуказанных редакций описывают стандарт LTE/LTE-Advanced и публикуются независимо шестью партнерами (Organizational Partners) консорциума 3GPP: ARIB (The Association of Radio Industries and Businesses, Japan), ATIS (The Alliance for Telecommunications Industry Solutions, USA), CCSA (China Communications Standards Association), ETSI (The European Telecommunications Standards Institute), TSDSI (Telecommunications Standards Development Society, India), TTA (Telecommunications Technology Association, Korea) и TTC (Telecommunication Technology Committee, Japan). Опубликованные таким образом документы являются теми же спецификациями 3GPP, но выпущенными в различных форматах. На официальном сайте 3GPP доступной для скачивания является версия спецификаций в формате ETSI. В России стандарт LTE описан в приказах Минкомсвязи №128, №129 и №130 от 06.06.2011 г. на основе вышеуказанных спецификаций 3GPP.

1.2. Анализ нормативной документации

В соответствии с классификацией 3GPP, приведенной в таблице 1.3, технологии радиодоступа LTE-Advanced двенадцатой редакции описаны спецификациями 36-й серии.


Таблица 1.3. Классификация спецификаций 3GPP


Спецификации любой из серий являются либо техническими спецификациями TS (Technical Specifications), либо техническими отчетами TR (Technical Reports). Технические спецификации определяют стандарт и являются конечным продуктом деятельности 3GPP, в то время как технические отчеты представляют собой рабочие документы на промежуточной стадии разработки. На настоящее время в 36 серию входит более 200 спецификаций, но только 69 из них являются техническими спецификациями. В аспекте тестирования радиооборудования (РО) сети LTE особый интерес представляют следующие технические спецификации: ETSI TS 136.101 (описывает предельно допустимые параметры абонентских станций), ETSI TS 136.508 (описывает исходные условия и тестовые модели, применяемые по умолчанию для тестирования абонентских станций, если в методике не указано другое), ETSI TS 136.521—1 (описывает методы тестирования абонентских станций, является основной спецификацией), ETSI TS 136.104 (описывает предельно допустимые параметры eNB) и ETSI TS 136.141 (описывает исходные условия, тестовые конфигурации, тестовые модели и методы тестирования eNB, является основной спецификацией). Следует отметить, что именно eNB образуют усовершенствованную универсальную наземную подсистему радиодоступа (E-UTRAN, Evolved Universal Terrestrial Radio Access Network) сети LTE. Проанализируем поочередно спецификации, относящиеся к eNB, и спецификации, относящиеся к абонентским станциям.

Согласно ETSI TS 136.141 при аттестационных испытаниях eNB следует проверять три типа параметров: радиочастотные характеристики передатчиков, приемников и параметры производительности uplink-каналов (UL-каналов) физического уровня (Physical Layer) радиоинтерфейса PUSCH (Physical Uplink Shared Channel), PUCCH (Physical Uplink Control Channel) и PRACH (Physical Random Access Channel). К параметрам радиооборудования относятся первые два типа, третий тип относится к сетевым аспектам.

К тестируемым параметрам передатчиков относятся: выходная мощность, динамический диапазон полной мощности, уровень мощности передатчика в выключенном состоянии, время перехода передатчика между состояниями ON/OFF, погрешность частоты, величина вектора ошибки (EVM, Error Vector Magnitude), ошибка выравнивания радиочастотных сигналов по времени, мощность ресурсного элемента опорного символа в нисходящем канале, используемая ширина полосы частот, коэффициент утечки мощности в соседний канал, величина нежелательных излучений в рабочей полосе частот (band), величина побочных излучений и уровень интермодуляций. Тестируемые параметры, их номинальные значения и величины максимальных погрешностей для каждого вида теста передатчиков указаны в таблице 1.4.


Таблица 1.4. Тестируемые параметры передатчиков eNB


Продолжение таблицы 1.4. Тестируемые параметры передатчиков eNB


К тестируемым параметрам приемников относятся: эталонная чувствительность, динамический диапазон, внутриканальная избирательность, избирательность по соседнему каналу (ACS, Adjacent Channel Selectivity), уровень блокирования, уровень паразитных излучений и уровень интермодуляций нелинейных элементов приемника. Тестируемые параметры, их номинальные значения и величины максимальных погрешностей для каждого вида теста приемников указаны в таблице 1.5.


Таблица 1.5. Тестируемые параметры приемников eNB


Продолжение таблицы 1.5. Тестируемые параметры приемников eNB


Cогласно ETSI TS 136.521—1 при аттестационных испытаниях абонентских станций следует проверять следующие параметры: радиочастотные характеристики передатчиков, приемников, параметры производительности downlink-каналов физического уровня радиоинтерфейса Uu PDSCH (Physical Downlink Shared Channel), PCFICH (Physical Control Format Indicator Channel), PDCCH (Physical Downlink Control Channel), PHICH (Physical Hybrid ARQ Indicator Channel), PBCH (Physical Broadcast Channel), EPDCCH (Evolved PDCCH), индикаторы состояния канала CQI (Channel Quality Indicator), индикаторы выбора прекодирующей матрицы PMI (Precoding Matrix Indicator), индикаторы приоритетности (ранга) RI (Rank Indicator) и параметры производительности мультимедийных сервисов MBMS. Необходимо отметить, что описанию тестирования радиооборудования отведен значительно меньший объем документа. Большая часть описывает сетевые процедуры, связанные с необходимостью осуществления полномасштабной обратной связи относительно eNB посредством сигнализации абонентских станций, значение которой трудно переоценить, однако далее будут рассмотрены только первые два проверяемых пункта, относящиеся к передатчикам и приемникам, как имеющие непосредственное отношение к тестированию радиооборудования.

К тестируемым параметрам передатчиков абонентских станций относятся: выходная мощность, предел снижения мощности (MPR, Maximum Power Reduction; снижение максимальной выходной мощности происходит при переходе на более высокий порядок модуляции и/или при увеличении числа ресурсных блоков), точность настройки выходной мощности (учитывается параметр MPR), минимальная выходная мощность, уровень мощности передатчика в состоянии OFF, уровни мощности временной маски, точность управления выходной мощностью, погрешность частоты, величина вектора ошибки, утечка мощности несущей, внутриполосные излучения нераспределенных ресурсных блоков, EVM-коррекция плоскостности спектра (определяется при помощи корректировочных коэффициентов, полученных в ходе измерения EVM), используемая ширина полосы частот, спектральная маска, коэффициент утечки мощности в соседний канал, величина побочных излучений, уровень интермодуляций и ошибка времени выравнивания (TAE, Time Alignment Error).

Ваша оценка очень важна

0
Шрифт
Фон

Помогите Вашим друзьям узнать о библиотеке

Скачать книгу

Если нет возможности читать онлайн, скачайте книгу файлом для электронной книжки и читайте офлайн.

fb2.zip txt txt.zip rtf.zip a4.pdf a6.pdf mobi.prc epub ios.epub fb3