Бессолицына Е. А. - Структурная биохимия стр 3.

Шрифт
Фон

Рисунок 10. Дегидратация


Перегруппировка в щелочной среде. В холодном разбавленном щелочном растворе глюкоза образует маннозу и фруктозу. Механизм реакции, возможно, включает енолизацию, которая сопровождается диссоциацией водорода от атома углерода, примыкающего к карбонильной группе. Так образуются эпимеры – глюкоза и манноза.

Окисление моносахаридов. Окисление моносахаридов, возможно, многими способами.

Мягкое окисление до альдоновых кислот. В горячих щелочных растворах моносахариды реагируют с некоторыми окисляющими агентами, такими, как Cu

2+

+

-


Рисунок 11. Мягкое окисление моносахаридов до альдоновых кислот


Более жесткое окисление до альдуроновых кислот, реакция происходит при участии «средних» окислителей, например небольшие концентрации азотной кислоты (Рисунок 12). Данная реакция происходит и в природе, но при других условиях. В результате окисляется гидроксильная группа при последнем атоме углерода.


Рисунок 12. Окисление до альдуроновых кислот


Жесткое окисление до альдаровых кислот, реакция происходит в жестких условиях, например при больших концентрациях сильных кислот, например, азотной. В результате происходит окисление обеих групп – альдегидной и последней спиртовой, в результате образуется дикарбоновая кислота, или альдаровая (Рисунок 13).


Рисунок 13. Окисление до альдаровых кислот


Восстановление моносахаридов. Восстановлению могут подвергаться как альдегидная, так и спиртовые группы

Восстановление альдегидной группы. D-Глюкоза и L-сорбоза восстанавливаются газообразным водородом в присутствии подходящего металлического катализатора, образуя сорбит (Рисунок 14).


Рисунок 14. Восстановление альдегидной группы


Восстановление спиртовой группы. В клетке происходит переход рибозы в дезоксирибозу (Рисунок 15). Эта реакция происходит в природе, но при несколько иных условиях. Это один из основных способов синтеза дезоксисахаров.


Рисунок 15. Восстановление спиртовой групы


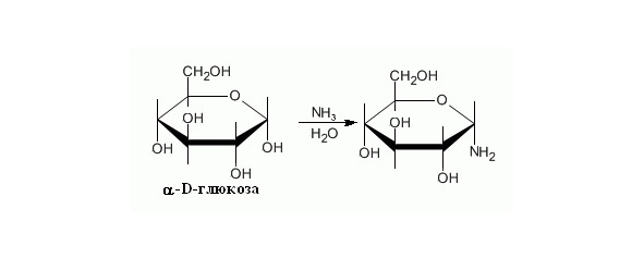
Образование аминосахаров. В природе также происходит синтез аминосахаров, но механизм и атакуемые группы отличаются, в искуственной системе в реакцию вступает полуацетальная группировка как наиболее реакционно способная (Рисунок 16).


Рисунок 16. Образование аминосахаров


Укорочение цепи. Этот процесс связан с окислением в средних условиях. Карбоксильная группа в последнем положении нестабильна и легко отщепляется от молекулы, в результате углевод становится на один атом короче (Рисунок 17).


Рисунок 17. Укорочение цепи


Удлинение цепи. Это результат реакции с цианидом, затем происходит реакция с водой, в результате образуется кислота. Восстановление карбоксильной группы приводит к образованию моносахарида, но на один атом углерода длиннее (Рисунок 18).


Рисунок 18. Удлинение цепи


Гидролиз поли- и олигосахаридов. Реакция гидролиза это реакция расщепления полимера с участием молекулы воды. В случае гидролиза поли- и олигосахаридов атаке подвергается гликозидная связь. В результате реакции отщепляются мономерные остатки (моносахариды). Реакции гидролиза поли- и олигосахаридов с последующим анализом продуктов гидролиза используются для качественного и количественного определения состава полисахаридов.

Определение моносахаридов

Некоторые качественные реакции, которые используются для идентификации моносахаридов.


Альдозы, кетозы

Реактив: α-нафтол (реакция Молиша), триптофан аминогуанин.

Более чувствительна для кетоз.


Кетогексозы

Реактив: резорцин (реакция Селиванова).


Кетогексозы, Кетопентозы, метилпентозы, диоксиацетон

Реактив: цистеин/карбазол.


Все углеводы, включая уроновые кислоты и дезоксипентозы

Реактив: карбазол.

Характерное окрашивание со всеми углеводами.


Многие углеводы, включая полисахариды, чаще используется для гексоз.

Реактив: цистеин/H2SO

4

Неодинаковое окрашивание с различными углеводами.


Пентозы, гептулозы, уроновые кислоты

Реактив: орцин.

Окрашивание, обусловленное присутствием других углеводов, может быть ликвидировано независимыми методами, уроновые кислоты декарбоксилируются до пентоз и вступают в реакцию.


Уроновые кислоты

Реактив: нафтилрезорцин.


гексозамины

Реактив: Ацетилацетон-n-диметил-аминобензальдегид.


гексозамины

Реактив: нитрит/индол.

Аминосахара не дают окрашивания без предварительного дезаминирования нитритом.


Моно и дидезоксипентозы

Реактив: дифениламин.


дезоксипентозы

Реактив: триптофан/HClO

4


Сиаловые кислоты

Реактив: тиобарбитуровая кислота.

Функции моносахаридов

Функции моносахаридов очень разнообразны и зависят от того сколько атомов углерода содержит моносахарид.

Триозы – промежуточные продукты обмена углеводов и липидов.

Тетрозы – промежуточные продукты обмена углеводов могут входить в состав полисахаридов.

Пентозы – промежуточные продукты обмена углеводов могут входить в состав полисахаридов, и нуклеотидов.

Гексозы – глюкоза и фруктоза основные сахара энергетического обмена углеводов, входят в состав полисахаридов.

Гептозы – промежуточные продукты обмена углеводов.

Физиологически важные моносахариды

D-рибоза

В какие молекулы или вещества входит: нуклеотиды, коферменты, РНК.

Биологическое значение: компонент нуклеиновых кислот коферментов (NAD, NADP, FAD), нуклеотидов, промежуточное соединение пентозофосфатного пути.


D-рибулоза

В какие молекулы или вещества входит: образуется в ходе метаболизма.

Биологическое значение: промежуточное соединение пентозофосфатного пути.


D-Арабиноза

В какие молекулы или вещества входит: гуммиарабик, сливовая и вишневая мякоть.

Биологическое значение: компонент гликопротеинов.


D-Ксилоза

В какие молекулы или вещества входит: древесная смола, протеогликаны, гликозаминогликаны.

Биологическое значение: компонент гликопротеинов.


D-Ликсоза

В какие молекулы или вещества входит: ликсофлавин.

Биологическое значение: компонент ликсофлавина, выделяемого сердечной мышцей.


L-Ксилулоза

В какие молекулы или вещества входит: промежуточный продукт метаболизма уроновых кислот.

Биологическое значение: промежуточный продукт метаболизма уроновых кислот.


D-глюкоза

В какие молекулы или вещества входит: фруктовые соки, крахмал, сахароза, лактоза, мальтоза

Биологическое значение: сахар организма, участвует в энергетическом обмене, является предшественником других соединений.


D-фруктоза

В какие молекулы или вещества входит: мед, сахароза, лактоза, инулин.

Биологическое значение: превращается в глюкозу, и может использоваться в тех же метаболических путях.


D-галактоза

В какие молекулы или вещества входит: лактоза, гликопротеины, гликолипиды.

Биологическое значение: превращается в глюкозу, и может использоваться в тех же метаболических путях.

Производные моносахаридов

Производные моносахаридов: эфиры моносахаридов, альдуроновые кислоты, аминосахара, дезоксисахара, гликозиды.

Все производные моносахаридов входят в состав полисахаридов. По мимо этой основной функции производные моносахаридов могут выполнять свои специфические функции.

Альдуроновые кислоты участвуют в образовании витамина С и в процессах детоксикации.

Дезоксисахара входят в состав нуклеотидов (мономеры ДНК).

Аминосахара входят в состав антибиотиков.


Гликозиды


Рисунок 19. Структура некоторых гликозидов. А-стрептомицин, Б-уабаин


Гликозиды – это соединения, образующиеся путем конденсации моносахарида (или моносахаридного остатка в составе более сложного сахара) с гидроксильной группой другого соединения, которым может быть другой моносахарид или вещество неуглеводной природы (тогда его называют агликоном). Гликозидная связь образуется в результате реакции полуацетальной (полукетальной) группы моносахарида и спиртовой группой другого соединения, такая связь называется О-гликозидная. Также полуацетальная (полукетальная) гидроксильная группа может вступать в реакцию с аминогруппой другого соединения тогда образуется N-гликозидная связь. Если полуацетальная группа принадлежит глюкозе, образующееся соединение называют глюкозидом, если галактозе – галактозидом и т. д. Гликозиды найдены в составе многих лекарств и пряностей, они являются также компонентами животных тканей. Агликонами могут быть метанол, глицерол, какой-либо стерол или фенол. Гликозиды, имеющие важное медицинское значение, например, влияющие на работу сердца (сердечные гликозиды), содержат в качестве агликонового компонента стероиды; так, из наперстянки и строфанта выделен гликозид уабаин – ингибитор Na/K-ATP-aзы клеточных мембран. К числу гликозидов относится ряд антибиотиков, в частности стрептомицин (Рисунок 19). N-гликозидами являются нуклеотиды и нуклеозиды. Но простейшими гликозидами являются дисахариды. В случае дисахаридов агликоном является молекула другого моносахарида.

Ваша оценка очень важна

0
Шрифт
Фон

Помогите Вашим друзьям узнать о библиотеке

Скачать книгу

Если нет возможности читать онлайн, скачайте книгу файлом для электронной книжки и читайте офлайн.

fb2.zip txt txt.zip rtf.zip a4.pdf a6.pdf mobi.prc epub ios.epub fb3

Популярные книги автора