Аркадий Спартакович Медведев - Методологические основы системы оздоровления детей стр 2.

Книгу можно купить на ЛитРес.
Всего за 232 руб. Купить полную версию
Шрифт
Фон

Предназначена для специалистов, работающих над проблемами минимизации медицинских последствий катастрофы на Чернобыльской АЭС, для руководителей органов всех уровней управления, учреждений здравоохранения, санаторно-курортных организаций реабилитационно-профилактического и лечебно-диагностического профиля различной ведомственной принадлежности, работающих в области детского оздоровления; монография может быть полезна практическим врачам-педиатрам, врачам санаторно-курортных, лечебно-оздоровительных организаций, а также научным сотрудникам при решении научно-практических задач, направленных на сохранение и приумножение здоровья детей. Автор выражает благодарность за оказанную помощь сотрудникам Министерства здравоохранения Республики Беларусь, Республиканского центра по оздоровлению и санаторно-курортному лечению, сотрудникам ГУ «Республиканский научно-практический центр радиационной медицины и экологии человека», а также сотрудникам Департамента по ликвидации последствий катастрофы на чернобыльской АЭС Министерства по чрезвычайным ситуациям Республики Беларусь.

1. Обоснование необходимости разработки системы оздоровления

1.1. Описание методики проектирования системы

Разработка научно обоснованной методологии системы оздоровления невозможна без специальной методики, которая выступает в качестве предписания предполагаемого построения. Методика в системе сложной комплексной деятельности позволяет выделить основную функцию проектирования, выступает в качестве средства построения, как предписание или его программа. Основной методический подход, положенный в основу методики разработки данной методологии, базируется на постулате, что в мировом опыте нет удовлетворяющих во всем образцов исследуемой деятельности (системы оздоровления детей). Поэтому главной методической задачей является создание модели деятельности, соответствующей целому ряду заранее выбранных принципов, например, принципу реабилитационно-профилактической направленности, и заранее определенному месту в общей системе медицинской помощи. При таком подходе методика проектирования является проектом будущей деятельности [52].

Для проектирования методологии системы оздоровления детей был использован метод программно-целевого планирования, в основе которого лежит методика с парадигмой: цель – результат – программа. Основа программно-целевого планирования – управление от целей системы с определением четких критериев оценки промежуточных и конечных результатов. Проект разрабатывался поэтапно и процесс разработки начинался с выявления проблемы на основе системного анализа, доказательной оценки ее приоритетности, разработки системы прогнозов и генеральной цели. Далее проводилась ее декомпозиция, формировалось «дерево целей». Затем разрабатывались мероприятия по реализации и контролю за выполнением проектных мероприятий.

1.1.1. Принципы проектирования

При проектировании методологии для последовательного и гармоничного ее формирования руководствовались рядом научно обоснованных принципов:

1. Определение стратегической цели является первым и главным принципиальным условием проектирования. Стратегическая цель определялась с позиций стратегического планирования, которое является разновидностью программно-целевого и подчиняется его основным закономерностям: цель – результат – программа, но с учетом изменяющихся условий внешней среды. Практика стратегического планирования исходит прежде всего не от «достигнутого», а от «будущего», т. е. ориентируется на то состояние, которое необходимо достигнуть за плановый период. Важной особенностью стратегического планирования является многомерность, многоаспектность процесса и комплексный подход к решению определенной приоритетной проблемы. Так, при создании данной методологии главным направлением решения сформулированной проблемы являлось определение принципов, механизмов и условий реализации стратегии охраны и укрепления здоровья ребенка в процессе его жизни. Главным результатом этой стратегии должно быть улучшение демографической ситуации, снижение заболеваемости, инвалидизации и преждевременной смертности, увеличение средней продолжительности и качества жизни населения страны.

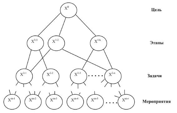
2. Последовательность и преемственность задач, определяемая стратегией реализации программы, предусматривает последовательность действий для достижения стратегической цели. Чтобы четко определить последовательность и преемственность задач, являющихся важным звеном в системе достижения целей, необходимо было сформировать «дерево взаимосвязей» (ДВ) с определением структурных уровней, соответствующих цепочке: цель – направления – задачи – мероприятия. Так, например, в предлагаемой системе научно обоснованных принципов организации медико-социальной реабилитации и профилактики заболеваний определялись три основных направления для достижения генеральной цели (восстановление, сохранение и укрепление здоровья детей):

1) выявление исходного уровня здоровья детей (скрининг);

2) коррекция здоровья;

3) увеличение резервного потенциала здоровья.

3. Этапность реализации задач является логическим продолжением предыдущего принципа и предполагает, что лишь после последовательного решения всех задач данного направления (этапа) возможен переход к решению задач последующего направления (этапа). Так, без решения в полном объеме всех задач первого направления (этапа) невозможна, например, разработка комплекса реабилитационных и профилактических мероприятий (с целью восстановления и увеличения резервов здоровья).


Рис. 1. Общий вид дерева взаимосвязей


Проектирование системы включало в себя следующие основные этапы.

I. постановка проблемы. В качестве основного подхода использовались три основных шага:

а) формулировка проблемы включает в себя описание характеристики разрыва между современным состоянием анализируемой проблемы и нормативом (предпочтительное будущее состояние); фиксацию противоречия, породившего проблему; выделение объекта исследования и его эмпирической области; четкое выделение известного и неизвестного относительно объекта исследования; выделение и упорядочение вопросов, раскрывающих проблему;

б) оценка проблемы включает в себя выделение условий и средств решения проблемы; анализ предпосылок и возможностей решения проблемы; соотношение известного и неизвестного в предпосылках и условиях решения проблемы; определение типа проблемы;

в) обоснование проблемы включает в себя установление связей данной проблемы с другими; формулирование доводов о необходимости и возможности ее решения, а также доводов против ее постановки и решения.

II. Выбор цели (процедура целеполагания). Генеральная цель обозначает направление решения сформулированной проблемы. В генеральной цели сформулированы конкретные и реальные результаты, которые предполагается достичь (социальные, экономические и т. д.). Генеральная цель сформирована в виде целей развития. Под целью развития понимается желательное состояние здоровья детей в будущем как указание на тенденцию в изменении его состояния. В целом достижение цели развития состоит в реализации упорядоченных во времени совокупности подцелей.

Ваша оценка очень важна

0
Шрифт
Фон

Помогите Вашим друзьям узнать о библиотеке

Скачать книгу

Если нет возможности читать онлайн, скачайте книгу файлом для электронной книжки и читайте офлайн.

fb2.zip txt txt.zip rtf.zip a4.pdf a6.pdf mobi.prc epub ios.epub fb3