З. Вечорек-Хелминьская - Питание при заболеваниях пищеварительной системы

Шрифт
Фон

З. Вечорек-Хелминьская

Питание при заболеваниях пищеварительной системы

ПРЕДИСЛОВИЕ

Все достижения в области биохимии, медицины и науки о правильном питании (диетологии) должны быть использованы для изменения пищевых стереотипов, являющихся причиной многих «болезней цивилизации», таких как атеросклероз или патологии пищеварительного тракта.

Около 90 % жителей развитых стран страдают недомоганиями, связанными с пищеварительным трактом, вызванными главным образом неправильным питанием. Мы сами вызываем свои болезни, загрязняя организм токсинами, содержащимися в плохо подобранной, избыточно жирной или нездоровой пище.

В книге представлены методы лечения нарушений работы и заболеваний органов пищеварения. Изменение укоренившихся традиций и навыков в области питания – дело непростое, но необходимое. Иногда следует отказаться от некоторых вкусных, но вредных для здоровья блюд, необходимо придерживаться принципов рационального питания, питаться иначе, чем мы привыкли.

Чтобы жить, необходимо есть. Это изречение точно определяет, сколь необходимо для развития органов, роста и обновления тканей, а также для формирования так называемых резервов организма правильное питание, ибо пища поставляет организму питательные вещества, необходимые для сохранения здоровья.

К сожалению, обычно бывает так, что только болезнь заставляет человека изменить питание. Возникают, например, нарушения со стороны пищеварительного тракта, такие как рвота, понос, запор, потеря аппетита, плохое пищеварение.

Иногда в нашем организме развиваются патологические процессы, которые даже при правильном питании требуют применения соответствующей диеты, способствующей лечению. Диеты назначает врач или по поручению врача квалифицированная диетсестра. Больной должен знать о том, какая пища разрешена, а какая – противопоказана; оценивать количество и качество продуктов и блюд, способ их приготовления, соблюдать режим питания в течение дня. Больной должен уметь составлять для себя меню и строго следовать назначениям диетолога, а обо всех проблемах сообщать врачу.

В первой части книги («Общая часть») представлены сведения об энергетических потребностях человека, приведены характеристики пищевых компонентов и показатели их энергетической ценности, дана лечебная оценка продуктов и приправ, а также описаны важнейшие диеты (обозначенные под номерами от 1 до 5), их применение в профилактике заболеваний и при их развитии; разрешенные и противопоказанные продукты и блюда, способы их приготовления, а также примерные меню.

Вторая часть книги – это рецепты блюд. Количество продуктов приводится в хозяйственных мерах на четырех человек, рассчитана энергетическая ценность и содержание основных пищевых компонентов в 1 порции. Чтобы правильно использовать эти рецепты в лечебных целях при конкретном заболевании, указываются номера диет в соответствии с их номенклатурой, рассматриваемой в первой части.

Пользуясь настоящей книгой, можно при всех диетических ограничениях обеспечить больного не только здоровой, но и вкусной пищей. Диета должна учитывать возраст, стиль жизни больного, его физическую активность.

Книга адресуется широкому кругу читателей, не только тем, кто страдает заболеваниями пищеварительного тракта, но и всем, эпизодически испытывающим нарушения пищеварения. Книга может быть использована диетсестрами в больницах и санаториях, патронажными сестрами, домашними хозяйками.

Надеюсь, что книгой воспользуются не только люди с заболеваниями органов пищеварения, но и все те, кто хочет питаться рационально, обеспечивая здоровье и комфорт своего повседневного бытия.

Автор

ОБЩАЯ ЧАСТЬ

Энергетические потребности

Если количество энергии в пище равно расходу энергии на ежедневную физическую активность, то масса тела остается неизменной. Если организм получает больше энергии, чем того требует наш возраст, пол и образ жизни, этот избыток, обеспеченный главным образом углеводами и жирами, будет накапливаться – и мы начнем прибавлять в весе. Если масса тела нашего организма сохраняется на одном уровне в течение длительного времени, это значит, что количество энергии, получаемой организмом из пищи, равно израсходованной.

Превышение нормативной массы тела на 20 % и более является уже патологическим и весьма нежелательным состоянием. Диетическое лечение основывается на достижении нормальной массы тела, например, ограничивая энергетическую составляющую пищи.

Поддержание равновесия между получаемой с пищей энергией и потребностью организма в ней является основой правильного питания. Энергия выражается в килоджоулях (кДж), мегаджоулях (МДж) или килокалориях (ккал); 1 ккал = 4,186 кДж. Сумму энергетических затрат называют интегральным показателем обмена веществ. Этой величиной определяются энергетические потребности человека.

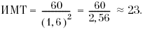
Для определения индекса массы тела (ИМТ) используется показатель Кетле (Quetelet). Он определяет как уровень избыточного, так и недостаточного веса. ИМТ вычисляется по формуле:



Например, для человека ростом 1,6 м и массой тела 60 кг:



ИМТ ниже 18,5 – дефицит массы,

18,5 – 25 – нормальная масса,

25 – 30 – избыточная масса,

свыше 30 – ожирение.


Энергию организм получает главным образом из углеводов и жиров, а также в меньшей степени из белков, содержащихся в пище. Один грамм углеводов поставляет 4 ккал (17 кДж), 1 г жира – 9 ккал (38 кДж), а 1 г белка – 4 ккал (17 кДж) энергии. Жиры должны покрывать 20 – 30 % суточной энергетической потребности, углеводы 50 – 65 %, белки 10 – 15 %. Среднее количество энергии, необходимой человеку, зависит, в частности, от состояния здоровья и составляет 1800 – 2700 ккал (7535 – 11 302 кДж) в дневном рационе. В случае ожирения ограничение энергии должно быть большим. В течение месяца снижение массы должно составлять 2 – 3 кг. Дефицит массы также является нежелательным состоянием. Организм тогда ослабевает и не может эффективно бороться с болезнью.


Энергию и питательные вещества организм получает из употребляемой пищи. Питательные вещества выполняют различные функции:

строительную: состоящую в образовании новых и восстановлении изношенных клеток (белки, минеральные компоненты, такие как кальций, фосфор, сера, фтор, магний, железо);

энергетическую: в результате биохимических преобразований жиров, углеводов и белков высвобождается энергия, необходимая для функционирования организма и поддержания постоянной температуры тела;

регуляторную: эту функцию обеспечивают главным образом витамины и минеральные соли – прежде всего микроэлементы (йод, магний, цинк, медь и др.).


Рекомендации по поддержанию массы тела на постоянном уровне:

проверять и записывать массу тела 1 раз в неделю;

проявлять терпение, так как полнеют быстро, а худеют очень медленно;

питаться регулярно;

избегать приема пищи ночью, а также «под телевизор»;

подавать блюдо на маленьких тарелках – тогда порции выглядят большими;

в случае «волчьего аппетита» – выпить 1 стакан минеральной негазированной воды;

продукты закупать по списку, подготовленному дома;

не употреблять алкоголь;

регулярно выполнять физические упражнения;

устраивать как можно чаще прогулки, стараться ходить быстро.

Пищевые компоненты

В организме человека с нормальной массой тела содержится приблизительно 63 % воды, 22 % белка, 13 % жира, 2 % минеральных солей и витаминов. Организм целиком состоит из элементов, поступающих с пищей. В течение жизни человек съедает около 100 тонн пищи, перевариваемой соками, выделяемыми в пищеварительном тракте в количестве около 10 л в сутки. Как макро– (жиры, белки, углеводы), так и микрокомпоненты (витамины и минеральные соли), содержащиеся в пище, всасываются в пищеварительном тракте, нормальное функционирование которого зависит от рода и вида пищи.

Ваша оценка очень важна

0
Шрифт
Фон

Помогите Вашим друзьям узнать о библиотеке

Скачать книгу

Если нет возможности читать онлайн, скачайте книгу файлом для электронной книжки и читайте офлайн.

fb2.zip txt txt.zip rtf.zip a4.pdf a6.pdf mobi.prc epub ios.epub fb3