Хилл Брайан - Бизнес-ангелы. Как привлечь их деньги и опыт под реализацию своих бизнес-идей стр 9.

Книгу можно купить на ЛитРес.
Всего за 299 руб. Купить полную версию
Шрифт
Фон

В случае ангельского инвестирования контракты обычно на порядок проще, чем те, что используются венчурными фондами, однако многие перечисленные выше моменты содержатся и в них.

Хотя капитал бизнес-ангелов является по своей сути инвестиционным и акционерным, частично он может предоставляться в виде долгосрочного беззалогового кредита. Обычно в форме долга предоставляются не все инвестиции: некоторая их доля в виде обыкновенных или конвертируемых привилегированных акций обеспечивает участие инвесторов в управлении фирмой. В рамках данной практики удобным инструментом выступают convertible notes – долговые обязательства с возможностью конвертации в акции. Обычно процент по долгам convertible notes составляет 6–8%. Конвертация происходит в случае, если стоимость «фактической» доли инвестора в компании превышает величину кредита с учетом накопленных процентов.

Распределение долей сторон в проекте

Очень серьезным вопросом при заключении сделки об инвестировании являются переговоры о доле инвестора в проекте. В мировой практике это делается путем соизмерения предынвестиционной стоимости компании (pre-money) и объема инвестиций. Исходя из соотношения этих цифр, определяются доли сторон. Стоимость компании с учетом полученных инвестиций называется post-money – постинвестиционная стоимость.

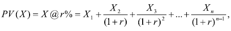
В основу оценки закладывается понятие ожидаемого возврата на инвестиции ROI (в процентах годовых). Самым простым методом проведения расчета доли в компании является метод «Хоккейной клюшки».

1. Берется прогнозное значение S продаж на год k «выхода» инвестора.

2. Берется множитель P/S (капитализация к объему продаж) на основании данных по рынкам (в США и Европе данные коэффициенты публикуются).

3. Вычисляется значение P капитализации компании.

4. На основании заданных объема инвестиций I и величины ROI считается та сумма

P

I

ROI)

k -

которую инвестор хочет получить в год «выхода».

5. Доля инвестора вычисляется по формуле:


тем самым предынвестиционная стоимость оценивается инвестором как


Данный метод очень грубый и отражает только позицию и интересы инвестора. Для более обоснованного определения стоимости венчурного проекта используется метод дисконтированного денежного потока (discounted cash flow, DCF), т. е. оценка предынвестиционной стоимости компании как дисконтированной стоимости ее будущих денежных поступлений. Ниже приводится базовый принцип вычисления дисконтированного денежного потока. Он весьма прост, однако на практике встает вопрос определения значений денежного потока на базе прогнозных данных по продажам компании и корректной ставки дисконтирования. Для этого нужны хорошие знания в сфере корпоративных финансов и теории оценки бизнеса. Хорошее их изложение имеется в книге А. Дамодарана «Инвестиционная оценка».

Если Х – денежный поток компании, значение денежного потока Х в k-й год равно Xk, а сам поток поступает в течении n лет, то дисконтированным денежным потоком X является сумма


где r – корректно выбранная ставка дисконтирования (выбирается на базе стоимости капитала с учетом различных рисков).

В X следует отразить как промежуточные дивиденды, так и выручку на инвестора «выходе».

В случае наличия у компании долгов, или планах привлечения долгового финансирования вычисления существенно осложняются.

Иногда предынвестиционная стоимость компании оценивается затратным подходом, т. е. как рыночная стоимость имеющихся в ней активов. Для компаний ранних стадий в рамках этого подхода возникает задача оценки интеллектуальной собственности и прочих нематериальных активов (например, интернет-сайтов).

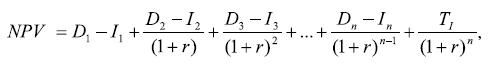
Для принятия решения об инвестировании используются два метода оценки эффективности инвестиций – метода чистой приведенной стоимости (Net Present Value, NPV) и внутренней нормы доходности (Internal Rate of Return, IRR). Оба метода используют дисконтированный денежный поток от компании к инвестору (не путать с денежным потоком компании).

Чистая приведенная стоимость NPV представляет собой дисконтированный денежный поток от проекта к инвестору за прогнозный период от начала инвестиций до выхода.


где Dt – дивиденды инвестора в год i (заданная в бизнес-предложении величина);

I

n

i

T

I

r – ставка, дисконтирования, выбираемая исходя из ожидаемой им нормы доходности ROI.

Если NPV ≥ 0, то решение об инвестициях принимается.

Внутренняя норма доходности (IRR) представляет собой максимальный уровень дохода на инвестиции, при которой проект с заданным потоком средств будет представлять для него коммерческий интерес. А именно, если представить NPV как функцию от ставки дисконтирования, то IRR – это значение, при котором NPV равна 0. Нахождение IRR осуществляется решением уравнения:


Если r – ROI (возврат на инвестиции в процентах годовых), которую инвестор желает получить на момент начала инвестиций, то решение об инвестициях принимается, если IRR > r.

Обычно в российской практике оценку не проводят. Доля инвестора зависит от его желаемого участия в проекте и той степени контроля, на которую он расчитывает. В случае сильной предпринимательской команды и доверия между предпринимателем и инвестором, последний берет долю между блокирующим и контрольным пакетом, оставляя контрольный пакет предпринимателям в качестве мотивационного фактора. В случае же слабой команды инвесторы предпочитают контрольный пакет. Такая ситуация объясняется сложностью обеспечения юридической защиты акционерных соглашений в российских условиях для акционерных обществ, устоявшейся практикой создания ООО с номинальным уставным капиталом и выделения значительной части средств в виде беззалоговых кредитов.

Инфраструктура бизнес-ангельского инвестирования

Синдикаты бизнес-ангелов. В силу присущего бизнес-ангелам стремления к диверсификации рисков они практикуют создание синдикатов через сбор средств в единый финансовый пул, совместное управление им и инвестирование его средств в различные проекты. Синдикаты несколько напоминают венчурные фонды, однако сохраняют большинство преимуществ бизнес-ангельского сектора – гибкость, быстроту принятия решений, отсутствие громоздких и формализованных управленческих процедур. В венчурном фонде существует отдельное юридическое лицо – управляющая компания, тогда как синдикат чаще всего управляется самими его участниками. Часто в синдикате имеется лидирующий инвестор (лид-инвестор), владеющий наибольшей долей капитала и доминирующий при принятии решений.

Компании «посевной» стадии остаются основным объектом инвестирования синдикатов. Другими преимуществами синдикации выступают больший объем доступных инвестиций по сравнению с ангелами-одиночками, кооперация и взаимопомощь участников при отборе проектов, заключении сделок, управлении проинвестированными проектами.

Как указывалось ранее, Аmazon.com получал на определенном этапе инвестиции от бизнес-ангельского синдиката (см. рис. 3). Одним из немногих известных авторов российских синдикатов ангелов является группа e-Trust.

Бизнес-ангельские сети и ассоциации представляют собой организации, основная функция которых – инвестиционное посредничество, т. е. предоставление инвесторам возможности найти качественный проект для инвестирования и объединить капиталы, а потенциальным реципиентам инвестиций – найти себе «подходящего» бизнес-ангела. Сети помогают предпринимателям представить свои проекты сразу большому числу ангелов, а инвесторам – просмотреть достаточно большое число проектов, сохраняя при этом анонимность до тех пор, пока они ни будут готовы к переговорам с конкретными предпринимателями.

Ваша оценка очень важна

0
Шрифт
Фон

Помогите Вашим друзьям узнать о библиотеке

Скачать книгу

Если нет возможности читать онлайн, скачайте книгу файлом для электронной книжки и читайте офлайн.

fb2.zip txt txt.zip rtf.zip a4.pdf a6.pdf mobi.prc epub ios.epub fb3