Volodymyr Bezverkhniy - Review. Benzene on the basis of the three-electron bond. Theory of three-electron bond in the four works with brief comments (review). 2016. стр 4.

Книгу можно купить на ЛитРес.
Всего за 60 руб. Купить полную версию
Шрифт
Фон

E2 = 3Ecc +3Ecc = 2890.286 kj/mole

The energy of six benzene c-c bonds with a 1.658 multiplicity is equal to:

E3 = 6 · 534.0723 kj/mole = 3204.434 kj/mole

Therefore, the gain energy of benzene compared to cyclohexatriene will amount to:

E = E3  E2 = 3204.434 kj/mole  2890.286 kj/mole = 314.148 kj/mole (75.033 kcal/mole).

2.2. Experimental

Lets show more detailed calculation of ratios for our mathematical relations. Lets consider relation Multiplicity = f (L) and E = f (L) for С-С bonds, where multiplicity is multiplicity of bond, L  length of bond in Å, Е  energy of bond in kj/mole.



As initial points for the given bonds we will use ethane, ethene and acetylene. For the length of bonds let us take the findings [7]:


bond lengths in ethane, ethylene and acetylene


As usual, the С-С bond multiplicity in ethane, ethylene and acetylene is taken for 1, 2, 3. For the energy of bonds let us take the findings [7, p. 116]:


energies of bonds in ethane, ethylene and acetylene


If we have two variants and we received the set of points and we marked them on the plane in the rectangular system of coordinates and if the present points describe the line equation y = ax + b that for choose the coefficients a and b with the least medium-quadratic deflection from the experimental points, it is needed to calculate the coefficients a and b by the formulas:


(4)


(5)


n-the number of given values x or y.

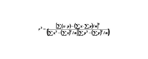
If we want to know how big is the derivative, it is necessary to state the value of agreement between calculated and evaluated values y characterized by the quantity:


(6)


The proximity of r2 to one means that our linear regression coordinates well with experimental points.

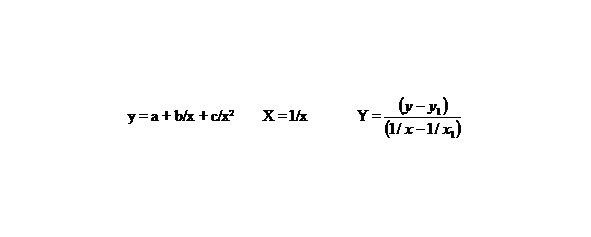
Let us find by the method of selection the function y = a + b/x + c/x2 describing the dependence multiplicity = f (L) and E = f (L) in best way, in general this function describes this dependence for any chemical bonds.

Let us make some transformations for the function y = a + b/x + c/x2, we accept

X = 1/x,



than well receive: Y = b1 + cX, that is the simple line equality, than


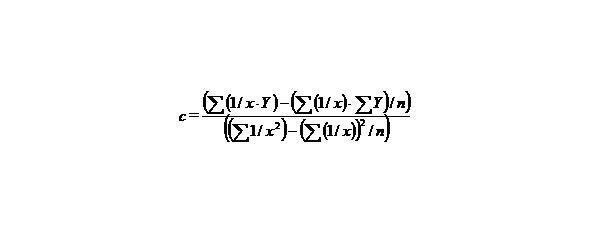
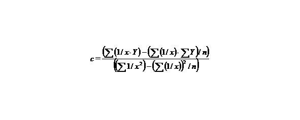
(7)


(8)


nthe number of given value Y.

Let us find a from the equality:

y = na + b (1/x) + c (1/x2), (9)

when n = 3.


Let us find now multiplicity = f (L) for CC, CC, CC.

Table 1. Calculation of ratios for relation Multiplicity = f (L).



1/x1 = 0.64808814, x1 = 1.543, y1 = 1

Σ (1/x2) = 1.66729469, Σ (1/x) = 2.22534781 when n = 3


c = 11.28562201,

b =  5.67787529,

a =  0.06040343



Let us find from the equation:


Multiplicity CC (ethane) = 1.


Multiplicity CC (ethylene) = 2.


Multiplicity CC (acetylene) = 3.


Multiplicity CC (graphite) (L = 1.42 Å) = 1.538  1.54.


Multiplicity CC (benzene) (L = 1.397 Å) = 1.658.


As we can see the multiplicity CC of benzene bond is 1.658 it is near the bond order of 1.667 calculated by the method MO [8, p. 48].

It should be noted that the а, b, с coefficients for this y = a + b/x + c/x² function in case of using three pairs of points (х1, у1), (х2, у2) and (х3, у3) are defined explicitly; actually, they (the coefficients) are assigned to these points. In that way we find these coefficients for working further with the equation. For making certain that this dependence y = a + b/x + c/x² describes well the Multiplicity = f (L) and E = f (L) functions it will take only to perform correlation for four or more points. For example, for the dependence Multiplicity = f (L) for C-C bonds we should add a fourth point (Lcc = 1.397 Å, Multiplicity = 1.667) and obtain an equation with r² = 0.9923 and the coefficients а =  0.55031721, b =  4.31859233, с = 10.35465915.

As it is difficult, due to objective reason, to define four or more points for the Multiplicity = f (L) and E = f (L) equations for a separate bond type, we will find the а, b, с coefficients using three points (as a rule they are the data for single, double and triple bonds). The dependences obtained in such a way give good results as regards the bond multiplicity and energies.

КОНЕЦ ОЗНАКОМИТЕЛЬНОГО ОТРЫВКА

Well find the dependence E = f (L) for the CC bonds



b1 = b + c/x1, Y = b1 + cX

As usual:


(7)


(8)


nthe number of given value Y.

Let us calculate a from the equation

y = na + b (1/x) + c (1/x2), (9)

when n = 3.


Table 2. Calculation of ratios for relation E = f (L).



1/x1 = 0.64808814, x1 = 1.543, y1 = 347.9397

Σ (1/x2) = 1.66729469, Σ (1/x) = 2.22534781 when n = 3


c =  1699.18638789,

b = 5065.62912191,

a =  2221.34518418


(2)


Let us calculate from the equation:


Ecc (ethane) = 347.9397 kj/mole

Ecc (ethylene) = 615.4890 kj/mole

Ecc (acetylene) = 812.2780 kj/mole.

2.3. Conclusion

As we can see, three-electron bond enables to explain aromaticity, find delocalization energy, understand aromatic bonds specificity. Aromatic bond in benzene molecule is simultaneous interaction of three pairs of central electrons with opposite spins through the cycle. But whereas central electrons are the part of three-electron bond, then it is practically interaction of six three-electron bonds between themselves, that is expressed in three interactions through cycle plus six three-electron bonds. We shouldnt forget in this system about important role of six atom nucleuses, around which aromatic system is formed. Properties of nucleuses especially their charge will influence on properties of aromatic system.

Ваша оценка очень важна

0
Шрифт
Фон

Помогите Вашим друзьям узнать о библиотеке

Скачать книгу

Если нет возможности читать онлайн, скачайте книгу файлом для электронной книжки и читайте офлайн.

fb2.zip txt txt.zip rtf.zip a4.pdf a6.pdf mobi.prc epub ios.epub fb3