Владимир Александрович Барабанщиков - Когнитивные механизмы невербальной коммуникации стр 25.

Шрифт
Фон

Сопоставление различий отдельно по каждой экспрессии и каждому времени экспозиции дает следующие результаты. Для экспрессий гнева и печали все различия между сериями значимы (p<0,021), для «страха» и «отвращения» различия значимы (p<0,008) за исключением серий с кажущимся движением и маскировкой, предъявленных на 200 мс (для «страха» p = 0,877; для «отвращения» p = 0,068). Для экспрессии удивления отсутствуют различия между всеми условиями при экспозиции на 200 мс (p>0,115) и между кажущимся движением и изолированным лицом, экспонируемым на 100 мс (p = 0,897). Для «радости» значимы все различия при 50 мс (p<0,028) и между кажущимся движением и изолированным лицом  при 100 мс (p = 0,017). Нейтральное лицо, экспонируемое на 50 и 100 мс в качестве тест-объекта, распознается наименее эффективно в условиях маскировки (p<0,002).

Таблица 2.1. Точность распознавания в зависимости от содержания контекста, времени экспозиции и модальности экспрессий


Таблица 2.2. Точность распознавания экспрессии в каждом из экспериментальных условий


Сопоставление различий отдельно по каждой экспрессии и каждому времени экспозиции дает следующие результаты. Для экспрессий гнева и печали все различия между сериями значимы (p<0,021), для «страха» и «отвращения» различия значимы (p<0,008) за исключением серий с кажущимся движением и маскировкой, предъявленных на 200 мс (для «страха» p = 0,877; для «отвращения» p = 0,068). Для экспрессии удивления отсутствуют различия между всеми условиями при экспозиции на 200 мс (p>0,115) и между кажущимся движением и изолированным лицом, экспонируемым на 100 мс (p = 0,897). Для «радости» значимы все различия при 50 мс (p<0,028) и между кажущимся движением и изолированным лицом  при 100 мс (p = 0,017). Нейтральное лицо, экспонируемое на 50 и 100 мс в качестве тест-объекта, распознается наименее эффективно в условиях маскировки (p<0,002).

Профили оценок. Влияние независимых переменных распространяется не только на адекватные, но и на неадекватные оценки, ошибочность которых весьма условна (Барабанщиков, 2009, 2012). Выполненные оценки разделяются на три группы: 1) «верные» ответы, совпадающие с демонстрируемой эмоцией; 2) редкие (случайные) ответы, не совпадающие с демонстрируемой эмоцией; 3) «ошибочные» ответы выше случайного уровня (рисунок 2.4). Последние могут быть как регулярными, т. е. присутствовать при всех условиях эксперимента (восприятие «гнева» при экспозиции «отвращения», «печали»  при экспозиции «гнева»), так и врéменными  наблюдаться в условиях маскировки и кажущегося движения (восприятие «удивления» при экспозиции «страха» на 50 и 100 мс; спокойного состояния  при экспозиции «гнева» или «печали» на 50 мс). За исключением экспрессии гнева (50 мс, ситуация кажущегося движения) «верные» оценки преобладают над «ошибочными». В ситуациях кажущегося движения и маскировки «ошибки» восприятия зависят от времени экспозиции для всех экспрессий (p<0,001) кроме нейтрального лица при кажущемся движении (p = 0,6932). В ситуации изолированного лица различия значимы так же только для нейтрального лица (p = 0,0102). При 50 и 100 мс все различия между условиями значимы (p<0,034), при 200 мс  значимы только для экспрессий страха, отвращения, гнева и печали (p<0,001). Существует тенденция реципрокности в отношении «верных» и «ошибочных» ответов: снижение долей «верных» оценок ведет к избирательному повышению долей неверных распознаваний этих же экспрессий, особенно на самых коротких экспозициях.


Рис. 2.4. Профили оценок экспрессий в зависимости от их модальности, времени экспозиции и содержания контекста. По оси абсцисс  время экспозиции (50, 100, 200 мс) и содержание контекста (1  кажущееся движение; 2  маскировка; 3  изолированное лицо). Горизонтальной пунктирной линией отмечен случайный уровень

Динамика распознавания микроэкспрессий лица в условиях кажущегося движения и зрительной маскировки

Анализ показывает, что все три экспериментальных условия и их сочетания значимо влияют на оценку экспрессий лица. Организация стимульной информации, модальность экспрессии и продолжительность ее экспозиции действительно определяют распознавание мимических выражений; влияние каждой из детерминант носит сложный, взаимоопосредованный характер.

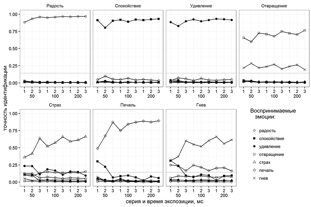
Базовый уровень эффективности распознавания экспрессий в микроинтервалах времени зафиксирован при экспозиции изолированного лица и зависит от модальности эмоции. Точнее всего распознается экспрессия радости (0,97), а также спокойное (0,92) и удивленное (0,91) лицо, менее точно  печаль (0,88), сравнительно плохо  экспрессии отвращения (0,75), страха (0,65) и гнева (0,61). Разная степень аттрактивности базовых экспрессий согласуется с ранее полученными данными в условиях затрудненного восприятия эмоциональных выражений: при их зашумлении, повороте относительно наблюдателя или ограничении времени экспозиции (Барабанщиков, 2012). С введением содержательного контекста перцептогенез растягивается во времени, требуя более продолжительных экспозиций в 100 мс («радость», «удивление», «отвращение») и 200 мс («печаль», «страх», «гнев»); экспозиции в 50 мс соответствуют лишь начальные стадии перцептогенеза. Влияние стробоскопической экспозиции на точность распознавания эмоций носит избирательный характер, охватывая преимущественно экспрессии, имеющие низкую аттрактивность («гнев», «страх», «печаль»).

Ваша оценка очень важна

0
Шрифт
Фон

Помогите Вашим друзьям узнать о библиотеке

Скачать книгу

Если нет возможности читать онлайн, скачайте книгу файлом для электронной книжки и читайте офлайн.

fb2.zip txt txt.zip rtf.zip a4.pdf a6.pdf mobi.prc epub ios.epub fb3