Компьютерра Журнал 658 - Журнал «Компьютерра» 33 от 11 сентября 2007 года стр 16.

Книгу можно купить на ЛитРес.
Всего за 9.95 руб. Купить полную версию
Шрифт
Фон

Нестандартный анализ основан на системе "гипердействительных чисел", содержащей бесконечно малые и бесконечно большие величины и допускающей использование необходимых в анализе функций и эффективное решение уравнений. Построение гипердействительных чисел основано на сложной классификации бесконечных последовательностей обычных действительных чисел. При помощи этого аппарата были решены несколько серьезных задач функционального анализа, его использовали для описания «мгновенных» перестроек структуры решений дифференциальных уравнений. Сейчас "нестандартные методы" проникли в комплексный анализ, теорию чисел, алгебраическую геометрию, даже в некоммутативную геометрию, самый модный и стремительно развивающийся раздел современной математики. Впрочем, создатель некоммутативной геометрии Ален Конн (Alain Connes) высказывался о нестандартном анализе довольно резко. Причина (которую не отрицают, похоже, и энтузиасты нестандартной математики) практически все, что удалось сделать с помощью этого аппарата, можно сделать и без него. Судя по обзору И. Фесенко (www.maths.nott.ac.uk/personal/ibf/rem.pdf), нестандартные методы сегодня рассматриваются скорее как "путеводная звезда" при поиске новых подходов к задачам.

Ниже мы расскажем об одном из первых приложений "бесконечных чисел" Сергеева вычислении с их помощью геометрических характеристик фракталов, как классических, так и более общих, мерцающих (blinking fractals). Но прежде давайте разберемся в конструкции новой числовой системы.

Поясняя мотивы для разработки своей системы, Сергеев приводит пример арифметики, используемой одним из живущих в дельте Амазонки племен. Индейцы племени Пираха (Pirahг) считают так: один, два, много. Для них и 1 + 2 = много, и 2 + 2 = много. Что такое 3 или 4, они не представляют. Сергеев уверен, что этот примитивный способ счета очень важен для нас, потому что дает отличную аналогию с современным понятием бесконечности. Действительно, в системе счета Пираха операции много + 1 и много + 2 дают один и тот же результат: много. Нечто похожее мы имеем и в современной математике: + 1 = и + 2 = . Это сравнение наводит на следующую простую мысль: как индейцы Пираха не могут различить числа 3, 4, 5 и т. д. из-за неразвитости их системы записи конечных чисел, так и мы не можем различить бесконечные числа из-за неразвитости наших способов представления бесконечности. Именно поэтому возникают проблемы при вычислениях, связанных с бесконечно большими и бесконечно малыми величинами: невозможность их представления в памяти компьютера, необходимость введения понятия предела, неопределенные формы типа и т. д., заключает Сергеев.

В основе конструкции Сергеева, призванной исправить дело, лежит гросс-единица (grossone), обозначаемая

Гросс-единица это бесконечное число, равное по определению количеству элементов в множестве N натуральных (то есть целых положительных) чисел. Это определение надо понимать в дословном, буквальном смысле, то есть предполагать, что N имеет вид: {1, 2, 3, ,

 1,

}. Другими словами,

 это "самое большое натуральное число". Оно и выбирается в качестве основания новой системы исчисления. Ну а дальше точно так же, как мы записываем числа в десятичной системе, а компьютер в двоичной, произвольные бесконечно малые и бесконечно большие числа представляют собой «записи» (records) вида:

(1)

В этой записи p «гросстепени», а c «гроссцифры». Отличие от десятичной или двоичной систем в том, что «гроссцифры» не фиксированные заранее, а произвольные «обыкновенные» числа, записываемые с помощью конечного числа знаков. «Гросстепени», в свою очередь, это либо записи вида (1), либо снова «обыкновенные» конечные числа. Таким образом, числа в форме (1) всегда представляются конечным числом символов. Конечность записи принципиальна для этой конструкции, подчеркивает Сергеев,  она призвана учесть тот факт, что и человек, и компьютер способны выполнить лишь конечное число операций. В этом, кстати, существенное отличие от нестандартного анализа, который дополняет бесконечностями обычное множество вещественных чисел, построенное с помощью бесконечных десятичных дробей (или эквивалентных конструкций).

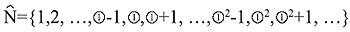
Сергеев с самого начала оставляет за скобками своих построений понятия счетного и несчетного множеств, взаимно однозначные соответствия и тому подобные базовые концепции привычной канторовской теории множеств. В его числовой системе, опять-таки в прямом и буквальном смысле слова, соблюдается древний постулат "часть всегда меньше целого". Например, число

+ 1 строго больше числа

, а множество натуральных чисел можно расширить так:

Записи вида (1) позволяют очень аккуратно сравнивать "маленькие бесконечности". Например, в обычной теории множеств совокупность всех натуральных чисел и совокупность четных положительных чисел неразличимы по так называемой мощности, и то и другое счетные множества. Здесь же постулируется, что второе из этих множеств содержит ровно

/2 элементов, то есть вдвое меньше, чем первое. Аналогично, множество всех положительных чисел вида, например, (6К+3) будет состоять из (

Ваша оценка очень важна

0
Шрифт
Фон

Помогите Вашим друзьям узнать о библиотеке

Скачать книгу

Если нет возможности читать онлайн, скачайте книгу файлом для электронной книжки и читайте офлайн.

fb2.zip txt txt.zip rtf.zip a4.pdf a6.pdf mobi.prc epub