Александр Бакулин - Гравитация и эфир стр 82.

Шрифт
Фон

Но искривления ПРОСТРАНСТВА, занятого под объёмы этих кубиков, не может быть нигде и никогда, ни в какой нормальной (классической) физике. Оно, это идиотическое искривление пространства, может иногда случаться в теориях физиков, философия которых (философия и этих теорий, и этих физиков) не соответствует здравому смыслу и пудрит мозги простому школьнику.

Трагедия же физиков состоит именно в том, чего никак нельзя предположить в отношении их мыслей и действий: будто бы физики «наблюдают» сферическое искривление плоскости расположения объёмов эфира. Именно этого они пока (вместе с ОТО) не наблюдают до сих пор, потому что вообще никак не «наблюдают» эфир. Вот в чём их беда.

Итак, настоящая кластеризация начинается только с объёмов «звёздных» кубиков эфира, плотностью эфира в них и объёмом кубика =. Если взять объём кубометра эфира с его плотностью и «распушить» этот эфир в «кубике» со стороной куба м и объёмом куба , то плотность распределения эфира в таком кубике упадёт до ρ = (потому что М = = . В нашем примере гравитируют 2 куба объёмами по но массами по , разнесённых по центрам масс этих «звёздных» кубов на м. Но, тем не менее, в формуле закона всемирного тяготения стоят «килограммы» (= = ). При этом закон можно читать так: мы гравитируем не два гигантских куба на расстояниях м (с малой плотностью эфира), но два маленьких «кубометра», отнесённые на те же м, но с сосредоточенным в них эфиром плотностью в каждом.

То есть весь наш «резиновый» Жгут длиной 3,14 м мы разбиваем сосредотачиваем в кубометры, в которых находится всё тот же эфир Жгута, но в кубиках, разнесённых на м друг от друга. И гравитируем эти кубики всё по тому же закону всемирного тяготения. И при этом получаем Останов Вселенной.

Этот пример даёт нам фактически модель действительной кластеризации. Но только в этой действительной кластеризации мы увеличиваем масштабы: кубометр эфира превращается в кубик , а полное сечение Жгута эфира Вселенной возрастает с до . Действительная же кластеризация начинается теперь не с кубометра, но со «звёздного» объёма и далее по всему объёму куба Метагалактики .

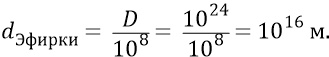
Итак, теперь мы будем почти одновременно: и расширять Вселенную, и кластеризовывать в ней эфир. Начинаем с объёма первичной гравитационной Эфирки. Оценим объём её первичного эфира. Если (грубо) считать её пропорциональные размеры такими же, как у Большой Эфирки Большой Вселенной (Жгута) /= , то при её диаметре D = м, диаметр её сечения будет:



Тогда объём её эфирного тела:

Тогда объём её эфирного тела:



Повторим вычисление объёмного эфирного тела Вселенной:



Отношение объёмов Вселенной и Эфирки:



При этом оценим примерные объёмы эфиров разных уровней их кластеризации:






Здесь мы учли ту кластеризацию, которая стягивает эфир из «окраинных холодных» областей Жгута Вселенной полного её диаметра сечения в эфирное тело Жгут диаметром сечения , в котором обитают Метагалактики. Эти окраинные области состоят только из «лёгкого» низкочастотного эфира.

Далее (без подробных пояснений) найдём массы («вес») эфиров этих областей:







То есть здесь мы нашли пока ту массу Вселенной, которую она имела, если бы была сплошь заполнена только окраинным низкочастотным эфиром с его ранее рассчитанной нами плотностью тонких жгутиков ().

Массой всех звёзд в галактике пренебрегаем по отношению к массе эфира галактики :



При этом эфирами между галактиками, между Скоплениями и между Метагалактиками мы пренебрегаем по отношению к эфирам самих галактик, Скоплений и Метагалактик, по причине заведомой разрежённости этих промежуточных эфиров по отношению к эфирам названных единиц.

Итого вес всей Большой Вселенной:



Сделаем теперь важное замечание. Вся эта масса эфира была когда-то сосредоточена в «малой» первичной Эфирке объёмом:



С тех пор абсолютно точно: сколько частиц электромагнитного эфира было тогда рождено, столько же их сейчас и осталось. Они никуда не могли из Вселенной исчезнуть и ниоткуда не могли появиться. Поэтому мы можем определить плотность эфира в первичной Эфирке, того эфира, который расширялся, кластеризовывался и дал найденную нами его массу:



Такая плотность первичного эфира почти на 21 порядок больше той плотности ), которую мы вычисляли для обеспечения жизни нуклонов внутри галактик, и которая давала линейную плотность частиц на метре , а в объёме кубометра частиц. Следовательно, та необходимая линейная плотность частиц в Эфирке возрастёт на 7 порядков и составит частиц на метре, а в объёме кубометра Эфирки = частиц в кубометре. При этом расстояния между центрами масс частиц будут равны м, что на 3 порядка будет меньше преона м).

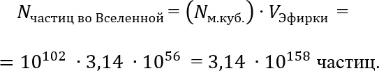
Итак, количество частиц в Большой Вселенной:



При этом количество элементарных частиц типа электронов, позитронов, нейтрино (и даже, включая сюда составные нуклоны) потеряется где-нибудь в 100-ом знаке после запятой, а то и того их будет меньше.

Проверяем соотношение массы (веса эфира) Большой Вселенной, количества частиц и массы одной частицы (9,10953 кг):



И наконец, последнее замечание. Нам абсолютно ясно, что эфир расширяющейся Вселенной «въезжает» в последний, восьмой период своего замедленного радиального движения, с его «гравитационным» весом на 6 порядков превышающим «объёмный» вес кубометра эфира  (для кластерных звёздных объёмов), то есть с весом для этих объёмов. Это связно с тем, что (мы упоминали об этом ранее) все частицы эфира на пороге 8-го периода остаются ещё релятивистскими, с их энергиями массами превышающими на 6 порядков нынешнюю их массу

Ваша оценка очень важна

0
Шрифт
Фон

Помогите Вашим друзьям узнать о библиотеке

Скачать книгу

Если нет возможности читать онлайн, скачайте книгу файлом для электронной книжки и читайте офлайн.

fb2.zip txt txt.zip rtf.zip a4.pdf a6.pdf mobi.prc epub ios.epub fb3