Александр Бакулин - Гравитация и эфир стр 52.

Шрифт
Фон


Теперь ещё раз повторим параметры первичного Вихря и сравним их с состоянием Жгута-Эфирки «сейчас»:

1. Диаметр Тора-Вихря:



2. Ребро куба сечения Тора:



3. Сечение эфирного тела Тора:



4. Длина кольца Тора:



5. Объём эфирного тела Вихря-Тора:



6. Первичная плотность эфира:



7. Современная плотность эфира расширившейся Скорлупы-Жгута Вселенной:



8. Сечение Тора-Скорлупы Вселенной:



9. Длина окружности Тора-Жгута:



10. Радиус Тора-Жгута:



11. Объём электромагнитного Тора-Жгута сейчас:



Итак, мы рассматриваем две конкурирующие силы (силу инерции и центростремительную силу) в разные времена расширения Большой Вселенной. Поскольку расширение Вселенной равномерно-замедленное (в первом приближении), то, следовательно, оно в разные времена движения электромагнитного эфира не зависит от скорости этого движения в эти времена, но зависит только от ускорения, которое для этих разных времён всегда одно и то же (почти одно и то же). Значит, сила инерции будет зависеть только от массы какого-нибудь «кубика» вещества. Эта масса (как плотность расширяющейся Скорлупы) всё время уменьшается обратно пропорционально, надо полагать, третьей степени возрастания радиуса расширения Скорлупы (в первом приближении).

8. Сечение Тора-Скорлупы Вселенной:



9. Длина окружности Тора-Жгута:



10. Радиус Тора-Жгута:



11. Объём электромагнитного Тора-Жгута сейчас:



Итак, мы рассматриваем две конкурирующие силы (силу инерции и центростремительную силу) в разные времена расширения Большой Вселенной. Поскольку расширение Вселенной равномерно-замедленное (в первом приближении), то, следовательно, оно в разные времена движения электромагнитного эфира не зависит от скорости этого движения в эти времена, но зависит только от ускорения, которое для этих разных времён всегда одно и то же (почти одно и то же). Значит, сила инерции будет зависеть только от массы какого-нибудь «кубика» вещества. Эта масса (как плотность расширяющейся Скорлупы) всё время уменьшается обратно пропорционально, надо полагать, третьей степени возрастания радиуса расширения Скорлупы (в первом приближении).

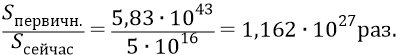
Сравнивая параметры первичного Вихря и параметры современной скорлупы, мы видим, что объём тела эфира в Вихре возрос от величины первичного до сегодняшнего , то есть на 27 порядков величины. Отношение объёмов эфира сейчас и первичного Тора-Вихря:



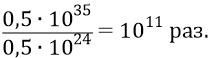
За это же время радиус Тора-Вихря возрос от величины до , то есть ровно на 11 порядков:



То есть объём Тора вырос более чем на третью степень роста радиуса. Соответственно, отношение плотностей эфира первичного Тора и современного Тора-Жгута:



Теперь вернемся к обозначенному ранее противоречию. Почему предварительные расчёты дают такую гигантскую центростремительную силу и что надо делать для того, чтобы эту силу уменьшить? (потому что, с другой стороны, увеличить силу инерции разлетающегося эфира, то есть правую часть неравенства, нам, пожалуй, никак не удастся).

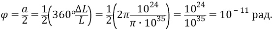
В формуле для центростремительной силы,



для любого данного «кубика» эфира угол чётко геометрически задан, и его никак нельзя изменить. Поэтому ответственной за величину является только сила :



По этой формуле никак не получается уменьшить, допустим, массы гравитирующих «кубиков» эфира, не уменьшая при этом (причём точно во столько же раз) радиус-расстояние между центрами масс кубиков эфира. Для школьника поясним, что фактически нет никакой разницы в том, какие объёмы «сегодняшнего» вещества мы гравитируем с помощью закона всемирного тяготения. Ведь с уменьшением объёмов гравитирующих «кубиков» уменьшаются и массы вещества этих кубиков, причём уменьшаются «в квадрате» (числитель закона Ньютона). Но одновременно с этим, и в этом же «квадрате величин», уменьшаются и расстояния между этими массами (знаменатель закона). То есть само соотношение «числитель-знаменатель» нам не удастся изменить. Но изменяя (уменьшая) это соотношение по его величинам, мы уменьшаем его абсолютное значение. А это для всей формулы важно, потому что в ней стоит ещё один независимый множитель G. Кроме того (и это, пожалуй, самое главное), в исследуемом нами неравенстве изменение объёма рассматриваемого кубика эфира приводит к неодинаковым результатам для левой и правой частей неравенства. Так, при уменьшении объёмов гравитирующих кубиков эфира, правая часть уменьшается линейно, так как эта сила линейно зависит от массы кубика:



где ускорение «» остаётся (для равномерно замедленного расширения Эфирки) постоянным. Но в левой части неравенства, при уменьшении массы (объёма) кубиков, помимо уменьшения относительно величины соотношения «числитель-знаменатель» уменьшается ещё и угол , так как на окружности Большой Эфирки Вселенной теперь будет укладываться большее количество меньших по объёму кубиков. Короче, рассмотрим несколько следующих конкретных примеров.

Пример 1. Уменьшим размеры гравитирующих кубиков на 3 порядка (от размера ребра куба м до м). Найдём массу такого куба эфира:



Тогда формула закона всемирного тяготения для таких кубиков даст следующее значение силы их притяжения:

Угол в формуле центростремительной силы будет следующим:



Тогда

С другой стороны,

Ваша оценка очень важна

0
Шрифт
Фон

Помогите Вашим друзьям узнать о библиотеке

Скачать книгу

Если нет возможности читать онлайн, скачайте книгу файлом для электронной книжки и читайте офлайн.

fb2.zip txt txt.zip rtf.zip a4.pdf a6.pdf mobi.prc epub ios.epub fb3