Александр Бакулин - Гравитация и эфир стр 50.

Шрифт
Фон


Мы получили результат, который не только противоречит опыту физиков, говорящему о том, что в состоянии «сейчас» Вселенная продолжает расширяться (и мы полностью согласны с этим выводом), но получили слишком большую разницу в целых 28 порядков величины сил, которая никак не вяжется со здравым смыслом, хотя эти цифры получены из довольно реалистичных оценок в соотношениях «видимой» физикам Вселенной. Цифры же говорят о том, что гигантское превышение центростремительной силы над силой инерции обязано было бы не только уже давно остановить расширение Вселенной, но должно было тянуть Вселенную вспять со страшной силой.

С этим противоречием мы будем долго разбираться. Но сейчас сделаем несколько уточняющих замечаний.

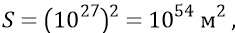
Оценим силу эфирного Жгута Большой Вселенной «на разрыв». Для этого найдём силу гравитационного притяжения двух «тонких-претонких» плоскостей эфира, прижатых друг к другу по плоскости сечения эфирного тела Вселенной, толщиной этих «плоскостей» в 1 метр каждая. То есть при площади сечения Тора Вселенной, равной минимальной грани куба Метагалактики



и толщине этой площади в 1 метр, её объём будет равен:



Масса этих кубометров эфира при будет:



Тогда два этих квадрата сечения, сложенных из «кубометров» эфира, будут притягиваться друг к другу с силой:



С другой стороны, если мы будем гравитировать не тонкие квадраты площадей сечения, но два куба двух Метагалактик, прижатых друг к другу, имеющих грань, равную нашим площадям сечений, то объём таких кубов будет:



Массы Метагалактик


Сила их притяжения по центрам масс:



Мы видим, что два куба эфира Метагалактик гравитируют между собой по центрам их масс абсолютно так же, как гравитируют две тонкие площадки грани этих кубов, толщиной в 1 метр каждая. И такое же соотношение в порядках гравитации сохранится для кубов с гранями любых размеров, вплоть до двух объёмов эфира, величиной в кубометр каждый. То есть львиную долю в силу гравитации любых объёмов эфира вносит тонкий слой эфира между гравитирующими объёмами.

Ещё из данного примера мы видим и то, что центростремительная сила, действующая на куб эфира Метагалактики , намного, на целых 8 порядков, уступает силе сцепки двух соседних кубов эфира, равных объёмам Метагалактик . А сила инерции, толкающая Метагалактику от центра Большого Взрыва на очень большое количество порядков (на 37 порядков) уступает силе сцепки кубов эфира. Всё это говорит о том, что во всей физике кинематики расширения Вселенной над всеми процессами, происходящими с эфиром, превалирует сила сцепки эфирного Жгута, зависящая фактически только от плотности электромагнитного эфира и не позволяющая Жгуту разорваться ни при каких обстоятельствах.


Размышляя теперь о противоречиях, возникших из рассмотрения массогабаритной кинематики инерционного взрыва первичной Эфирки Большой Вселенной, отмечаем для себя, что мы почему-то почти не касались пока конкретных характеристик только что родившегося эфира первичного Тора, собранного гравитацией Снежинки в малой области, какую следует, наверное, называть «областью Сингулярности Вселенной».

И действительно, сейчас, в данном месте вычислений, мы пока не знаем, с каких объёмов и с каких плотностей нового, только что родившегося электромагнитного вакуума, Вселенная начала расширяться. Перед нами довольно серьёзная неопределённость. Но уже сейчас почему-то ясно, что реальная Большая Вселенная никаким образом не могла расширяться не только от позорных объёмов, о которых мечтают (именно «мечтают») нынешние физики, то есть не с объёмов каких-то «десять в минус громадной степени метра», но она даже не могла расширяться с объёма, допустим, меньшего «кубометра» нового электромагнитного вещества. И поскольку мы в последнем абсолютно уверены, то займёмся сейчас определением параметров первичной Эфирки Вселенной.

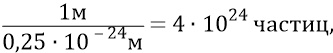
Гигантское поле первичной гравитационной Эфирки вполне может сжать гравитационные частицы настолько плотно, что расстояния между центрами масс соседних частиц в гигантском Вихре частиц будет лежать в диапазоне от 0,1 диаметра частицы до единицы этого диаметра. Но при слишком малом расстоянии (0,1 d) накручивающиеся преонные кольца электромагнитных орбит частиц могут конкурировать между собой. Поэтому, пусть максимальная плотность сжатия частиц (гравитационных ядер будущих электромагнитных) будет такой, что центры масс частиц будут отстоять друг от друга на половину диаметра частицы:



Тогда на одном метре разместится плотная линейка из



а в одном кубометре их будет:



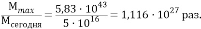
Тогда максимальная масса только что родившихся электромагнитных частиц в объёме одного первичного кубометра будет:



что больше современной плотности электромагнитного вакуума в



Найдём теперь минимальный объём первичного электромагнитного вещества в первичной Эфирке Вселенной:



Теперь приведём этот объём к объёму конструкции гравитационной Эфирки по её типу с электромагнитной Эфиркой Большой Вселенной. В последней дуг, в каждой из которых по 314 равных кубиков. Тогда в первичном гравитационном Торе будет последовательных кубиков с объёмом каждого



Ребро такого кубика будет определять толщину («диаметр») сечения первичного Тора, как и единичное звено окружности Тора:

Ваша оценка очень важна

0
Шрифт
Фон

Помогите Вашим друзьям узнать о библиотеке

Скачать книгу

Если нет возможности читать онлайн, скачайте книгу файлом для электронной книжки и читайте офлайн.

fb2.zip txt txt.zip rtf.zip a4.pdf a6.pdf mobi.prc epub ios.epub fb3