Валентин Юльевич Арьков - Анализ рядов динамики в электронных таблицах стр 10.

Шрифт
Фон

начальное значение =5,5

шаг = 1

конечное значение = 44,5


Рис. 8.15. Первое сглаженное значение


В конце ряда пропадает 6 значений (рис. 8.16). Дальше просто недостаточно данных для нахождения среднего.


Рис. 8.16. Последнее сглаженное значение


Задание. Проведите сглаживание с периодом 12. Сформируйте вспомогательный столбец времени.


Сравним результаты сглаживания встроенными средствами графика и с помощью надстройки. Нанесём сглаженный ряд на график (рис. 8.17). Можно видеть, что сдвиг встроенной скользящей средней достаточно заметный. А вот наша линия, построенная «вручную», проходит «посередине».


Рис. 8.17. Сравнение результатов сглаживания


Задание. Постройте графики и сравните результаты сглаживания с периодом усреднения 12.


Фильтрация с периодом сглаживания 12 должна оставить только тренд. Сравним результаты сглаживания с исходной линией тренда. Нанесём на график линию тренда, исходный ряд динамики и сглаженный ряд (рис. 8.18). Результаты близки. Конечно, сезонные колебания и случайность даже после фильтрации немного исказили прямую линию. Но в целом всё очень хорошо.


Рис. 8.18. Отфильтрованный тренд


Задание. Постройте график исходного ряда, тренда и скользящей средней. Сравните результаты фильтрации с линией тренда.

КОНЕЦ ОЗНАКОМИТЕЛЬНОГО ОТРЫВКА

При сглаживании можно использовать скользящую медиану  вместо скользящей средней. В Excel имеется готовая функция

MEDIAN (range)

МЕДИАНА (диапазон)

Результаты фильтрации с помощью скользящей медианы очень похожи на сглаживание с помощью скользящей средней. Небольшой интервал сглаживания устраняет случайную составляющую (рис. 8.19).


Рис. 8.19. Фильтрация случайности


Задание. Отфильтруйте случайную составляющую с помощью скользящей медианы. Постройте график и сравните со скользящей средней и исходными рядами T+S+E и T+S.


Чтобы выделить тренд и удалить случайность и колебания, используем интервал сглаживания, равный периоду колебаний. То есть 12 моментов времени. Наносим результаты на график. Снова используем вспомогательный столбец времени, чтоб отнести сглаженный ряд к точной середине интервала. Результаты достаточно близки к сглаживанию с помощью скользящей средней (рис. 8.20). Конечно, скользящая медиана не такая гладкая, но можно попробовать кратно увеличить интервал сглаживания.


Рис. 8.20. Отфильтрованный тренд


Задание. Выделите тренд с помощью скользящей медианы. Постройте график и сравните со скользящей средней и исходными рядами T+S+E и T.

Задание. Выполните предыдущее задание, используя период сглаживания 24 значения.

8.4. Формулы

Сглаживание можно провести с помощью формул, где все действия детально прописываются «вручную».

8.4.1. SMA

Для начала возьмём скользящую среднюю. Для вычисления каждого значения нужно сложить несколько чисел и поделить сумму на количество слагаемых. Это формула средней арифметической простой. Построим скользящую среднюю по трём точкам (рис. 8.21).


Рис. 8.21. Скользящая средняя по формуле


Озаглавим столбец SMA 3. Это означает 3 point Simple Moving Average. То есть простая скользящая средняя, построенная по трём отсчётам. Как и ранее, первое и последнее значения пропадают из-за нехватки данных для расчётов.

Задание. Постройте скользящие средние с помощью формул. Нанесите линии на график и сравните с предыдущими результатами.

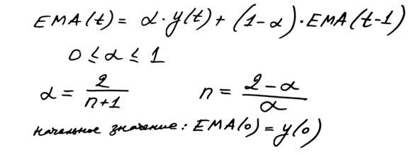
8.4.2. EMA

Ещё один вид сглаживания  это экспоненциально взвешенная скользящая средняя. Обозначение: EMA. Расшифровывается как Exponential Moving Average. Расчёты проводятся по следующим формулам (рис. 8.22). В названии говорится что-то про экспоненту. Внутри расчётов действительно скрывается экспонента. Подробнее внутреннее устройство EMA обсуждается в курсе эконометрики. Пока просто примем к сведению  есть такое название у методики сглаживания. И эта самая EMA очень популярна в биржевой торговле. Нас будет интересовать, как она работает и что она даёт после сглаживания.

В качестве начального значения принимается первое значение уровня исходного ряда динамики. Далее на каждом шаге учитывается текущее значение уровня исходного ряда с коэффициентом альфа. Этот коэффициент определяет степень сглаживания.

Эквивалентный период сглаживания n можно оценить, зная величину коэффициента альфа.


Рис. 8.22. Формулы экспоненциального сглаживания


Задание. Запишите формулы расчёта EMA и вставьте в отчёт.


Экспоненциальное скользящее среднее всегда отстаёт от исходного ряда. Это соответствует привязке к концу интервала сглаживания. Такой подход используют в биржевой торговле. Сглаженная линия при растущем тренде выступает в роли ЛИНИИ ПОДДЕРЖКИ (рис. 8.23). Английское название SUPPORT. Цена опускается до линии поддержки и отскакивает от неё вверх. Таким образом, линия поддержки как бы «поддерживает» цену и не даёт ей упасть. Всё это делается очень приблизительно. Цена может иногда слегка заходить за линию поддержки. Главное, чтобы она отскакивала.


Рис. 8.23. Линия поддержки


Задание. Дайте определение выражению ЛИНИЯ ПОДДЕРЖКИ.


Аналогично, при падающем тренде EMA отстаёт от цены. Но теперь она отстаёт так, цена оказывается ниже этой сглаженной линии. Теперь это линия сопротивления. Английское название RESISTANCE. Цена поднимается до линии сопротивления и отскакивает от неё вниз (рис. 8.24). Линия сопротивления как будто сопротивляется дальнейшему росту цены и не пускает её вверх.

Ваша оценка очень важна

0
Шрифт
Фон

Помогите Вашим друзьям узнать о библиотеке

Скачать книгу

Если нет возможности читать онлайн, скачайте книгу файлом для электронной книжки и читайте офлайн.

fb2.zip txt txt.zip rtf.zip a4.pdf a6.pdf mobi.prc epub ios.epub fb3