Александр Владимирович Трухачев - Туризм. Введение в туризм стр 18.

Шрифт
Фон

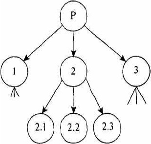
Линейный тип организационной структуры характерен для небольших (малых и средних) предприятий сервиса: парикмахерских, ателье, мастерских по ремонту бытовых приборов, кафе или небольших столовых и др.


Рис. 1. Линейный тип организационной структуры:

Р высший уровень руководства; 1, 3 вспомогательные подразделения; 2 основное подразделение и его подструктуры (2.1, 2.2 и 2.3)  вспомогательные подразделения; 2.1 группа приема заказов; 2.2 обслуживающие группы (бухгалтерия, отдел кадров, техническое обслуживание и др.); 2.3 группы заготовителей (заготовка сырья, материалов, товаров и др.)


2. Функциональный тип организационной структуры

(рис. 2) приобретает более сложный характер в силу пересечения множества функциональных связей и отношений между отделами и группами сервисного предприятия.

При наличии функциональной структуры второй уровень организации принимает более разветвленный характер, в зону действия которого попадают подразделения, осуществляющие обслуживание потребителей.

КОНЕЦ ОЗНАКОМИТЕЛЬНОГО ОТРЫВКА

При наличии функциональной структуры второй уровень организации принимает более разветвленный характер, в зону действия которого попадают подразделения, осуществляющие обслуживание потребителей.


Рис. 2. Функциональный тип организационной структуры:

Р высший уровень руководства; А планово-экономический отдел, финансовый отдел; Б технический отдел; В информационно-рекламный отдел; 1, 2, 3 основные подразделения, оказывающие услуги


Такая структура характерна для более крупных предприятий сервиса, которые располагают целым рядом подразделений сервисного производства, а также создают отделы, берущие на себя функции их внутреннего обслуживания: отдел приема заказов, рекламы и информации, планово-производственный отдел, отдел технического обслуживания, финансовый отдел и др. В рамках данной структуры обычно организована работа районных поликлиник, средних отелей, магазинов.

3. Линейно-функциональный тип организационной струк туры (рис. 3) оказывается уместным в тех случаях, когда сервисное производство носит масштабный характер и состоит из крупных организационных единиц-подразделений. Будучи по целям деятельности подчиненным центральному руководству, каждое из таких подразделений снабжено совокупностью вспомогательных групп и обслуживающих отделов. Примерами такого организационного типа могут быть структуры крупных отелей (более 500 номеров), банков, больниц, вузов. К этому же можно добавить пример сервисной организации, имеющей свои филиалы на данной территории или на других территориях.


Рис. 3. Линейно-функциональный тип организационной структуры:

Р высший уровень руководства; 1, 2, 3 административно-руководящие и вспомогательные подразделения; А, Б, В крупные сервисные единицы-подразделения


Разновидностью линейно-функционального типа структуры является бригадная организация.

В этом случае предприятие обладает рядом участков или цехов сервисного производства, разнотипным набором услуг и трудовых операций. В рамках этих участков или цехов трудятся бригады (312 человек), осуществляющие оперативное обслуживание потребителей.

Примером бригадного типа структуры (рис. 4) выступает организация районных жилищно-эксплуатационных контор в крупных городах. Работники конкретной конторы осуществляют на подведомственной территории и в жилом фонде разного рода сервисные работы: убирают улицы и лестничные пролеты, осуществляют ремонт сантехнического оборудования в квартирах, поддерживают в надлежащем виде электроосветительные сети, осуществляют расчет и сбор коммунальных платежей и др. Значительная часть указанных видов работ осуществляется участниками подобных специализированных бригад. Вместе с тем их общее обслуживание осуществляют вспомогательные отделы и группы.

В практике сервисного обслуживания разные типы организационных структур, рассмотренные выше, могут пересекаться, дополнять друг друга. Одни из составных единиц организации сервисного предприятия остаются стабильными; другие могут создаваться или упраздняться по мере необходимости.


Рис. 4. Бригадный тип организационной структуры

Р высший уровень руководства; I, II, III административно-руководящие и вспомогательные подразделения, А, Б, В крупные единицы-подразделения; 1, 2, 3 специализированные бригады


Высокоэффективная организация сервисного производства во многом способна обеспечить качественный сервис. Все это заставляет практиков сервисной деятельности обращать особое внимание на совершенствование организационных аспектов обслуживания. Современная научная теория предоставляет множество подходов к обеспечению эффективного организационного конструирования. Представим их классификацию.

1. Классический подход акцентирует внимание на целях предприятия, предлагает формальную структуру отношений, типичную для иерархизированной формы управления. При этом обосновывается важность технических и технологических требований и общих организационных принципов.

2. Подход в системе человеческих отношений основное внимание уделяется социальным факторам: условиям труда, формальным и неформальным группам, лидерству, поведению работников в целом.

Ваша оценка очень важна

0
Шрифт
Фон

Помогите Вашим друзьям узнать о библиотеке

Скачать книгу

Если нет возможности читать онлайн, скачайте книгу файлом для электронной книжки и читайте офлайн.

fb2.zip txt txt.zip rtf.zip a4.pdf a6.pdf mobi.prc epub ios.epub fb3

Популярные книги автора