Екатерина Александровна Вавилова - Все науки. 6, 2022. Международный научный журнал стр 18.

Книгу можно купить на ЛитРес.
Всего за 360 руб. Купить полную версию
Шрифт
Фон

Определим количество ядер в этом отрезке двух координат  x и x+dx, если толщина между ними dx. Для этого введём значение плотности ядер, которое определяет количество ядер вещества в единице объёма, она определяется как отношение плотности вещества на его атомную массу в кг и изменяется в ядро/м3 (2).



Чтобы определить сколько ядер в указанной точке, достаточно эту величину (2) умножить на объём в этой части пластины, для этого её площадь умножается на толщину и на (2), что указано в (3).



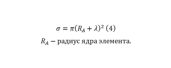
Но чему равна площадь, попав в которую ядро попадёт во взаимодействие? Для одного ядра введём понятие ядерного эффективного сечения, той самой области, а поскольку действия происходят в круге относительно ядра атома, то эта величина определяется по (4).



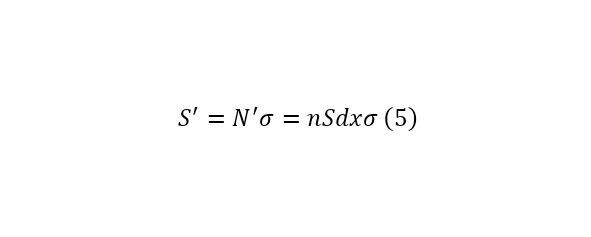
Таким образом, площадь доступная для взаимодействия составляет (5).



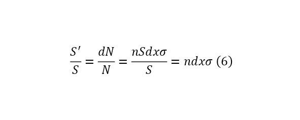
Но отношение этой площади ко всей площади плиты ведь равняется отношению количества всех оставшихся без взаимодействия частиц на общее количество частиц, то есть верно (6).



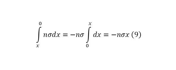
Теперь, введём численное определение для (6), а для этого проинтегрируем обе части (7) отдельно в (8) и (9), а затем получим общий результат (10).






Отсюда можно получить значение про-взаимодействовавших частиц (11).



А выходящую мощность можно вычислить и благодаря (12).



Откуда и получается скачок в мощности, то есть резонанс при приближении к энергии кулоновского взаимодействия в ядерной реакции. Именно этот процесс и является основной в этом направлении, которая позволяет при калибровке энергии получать резкие скачки в мощностях, а чтобы их осуществить необходимо создание и разработка специальных моноэнергетических ускорителей заряженных частиц с первым линейным ускорением, далее циклотронным.

Сегодня ведётся разработка единственного во всём мире моноэнергетического ускорителя ООО «Electron Laboratory» совместно с Объединённым Институтом Ядерных Исследований и Федеральным Государственным Унитарным Предприятием «Научно-исследовательский Институт Электрофизической Аппаратуры имени Дмитрия Васильевича Ефремова» и других организаций.

Для описания самого ускорителя достаточно привести небольшое цитирование из монографии Алиева И. Х. «Новые параметры по ядерным реакциям для осуществления на ускорителе заряженных частиц ЛЦУ-ЭПД-300»:

«Когда же актуальность проблемы энергетического голода в планетарном масштабе не раз была доказана и продемонстрирована проблема необходимости создания устройства и метода генерации электрической энергии с высокой эффективностью в крайне больших масштабах, что позволяло бы разрешить эту проблему и открыть путь для целого спектра многочисленных проектов и научных работ, нуждающиеся в подобном источнике электрической энергии, становится следующим этапом на пути развития этого большого проекта.

И поскольку проводились необходимые исследования в области поиска подобного источника и метода генерации энергии, то наконец решением были признаны ядерные реакции, которые бы увеличивали собственное сечение, следовательно, как вероятность прохождения самой реакции, так и количество действовавших реакций, что конечно же напрямую связано с общей эффективностью всей ядерной реакции. Что вытекает при учёте, что энергия вылетающих частиц из ядерной реакции, во всём картеже частиц, это общее напряжение, а количество вылетающих частиц, благодаря их заряду создаёт параметр силы тока системы.

Благодаря тому, что энергии подбираются с таким расчётом, что после прохождения кулоновского барьера, частица обладает энергией равной энергии её теплового аналога и уже этот факт увеличивает эффективное сечение всей ядерной реакции, в которое вступает частица, то такие ядерные реакции можно назвать резонансными, благодаря тому, что они вызывают резонанс в системе и только этим увеличивают общую эффективность всего осуществляемого процесса.

Резонансные ядерные реакции, впервые были открыты в сентябре 2021 года, после чего проводились активные исследования, которые привели к ряду публикаций, самым значительным среди которых было произведено в декабре 2021 года, коим является монография Алиева И. Х. и Шарофутдинова Ф. М. «Использование ускорителей и явлений столкновения элементарных частиц с энергией высокого порядка для генерации электрической энергии. Проект Электрон», к которой привело исследование в области поиска данного метода на протяжении 12 лет, при том учёте, что поиск в области физики атомного ядра и элементарных частиц, а также квантовой физике проходило на протяжении значительных 5 лет. Наименование резонансных ядерных реакций было придано данным системам в январе 2022 года со стороны Каримова Боходира Хошимовича и впервые фигурирует в данном исследований.

Ваша оценка очень важна

0
Шрифт
Фон

Помогите Вашим друзьям узнать о библиотеке

Скачать книгу

Если нет возможности читать онлайн, скачайте книгу файлом для электронной книжки и читайте офлайн.

fb2.zip txt txt.zip rtf.zip a4.pdf a6.pdf mobi.prc epub ios.epub fb3